SRFL
You're on your own
2023

The 2023 season has ended! Thank you for playing.
To join the current game click here
The Single Rider Fantasy League challenges you to choose the rider you think is most likely to win a race but is least likely to be picked by other players from r/Peloton.You score points based on how high your pick finishes and the number of users who choose the same rider.
Need an r/Peloton Fantasy ID? Send a message to u/Ser-Seaworth or u/GregLeBlonde on Reddit.
Your ID works for SRFL, WSRFL, and TFTPT. You only need to signup once.
Jump to: Standings 𐄁 Races 𐄁 Rules 𐄁 More Games
Season Standings
Race Results
Latest
Grand Tours
Giro d'Italia
May 6–28, 2023
Tour de France
July 1–23, 2023
Vuelta a España
August 26–September 17, 2023
Monuments
Milano–Sanremo
March 18, 2023
Ronde van Vlaanderen
April 2, 2023
Paris–Roubaix
April 9, 2023
Liège–Bastogne–Liège
April 23, 2023
Il Lombardia
October 7, 2023
Stage Races
Tour Down Under
January 17–22, 2023
UAE Tour
February 20–26, 2023
Paris–Nice
March 5–12, 2023
Tirreno–Adriatico
March 6–12, 2023
Volta a Catalunya
March 20–26, 2023
Itzulia Basque Country
April 3–8, 2023
Tour de Romandie
April 25–30, 2023
Criterium du Dauphiné
June 4–11, 2023
Tour de Suisse
June 11–18, 2023
Tour de Pologne
July 29–August 4, 2023
Renewi Tour
August 23–27, 2023
Tour of Guangxi
October 12–17, 2023
One Day Races
Cadel Evans Road Race
January 29, 2023
Omloop Het Nieuwsblad
February 25, 2023
Strade Bianche
March 4, 2023
Brugge–De Panne
March 22, 2023
E3 Harelbeke
March 24, 2023
Gent–Wevelgem
March 26, 2023
Dwars door Vlaanderen
March 29, 2023
Amstel Gold Race
April 16, 2023
La Flèche Wallonne
April 19, 2023
Eschborn–Frankfurt
May 1, 2023
Donostia San Sebastian
July 29, 2023
Worlds Road Race
August 6, 2023
Worlds ITT
August 11, 2023
BEMER Cyclassics
SRFL competition not held.
Bretagne Classic
September 3, 2023
GP Quebec
September 8, 2023
GP Montreal
September 10, 2023
Rules and Scoring
The top 30 finishers of a race earn points scaled by position and the importance of the race.
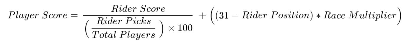
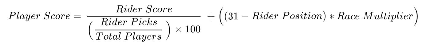
Scores are calculated by dividing the number of points a rider earned by the percentage of the users who picked them. A bonus is awarded for rare picks.
Entries are open until the posted deadline which is based on each event's scheduled start time. Entries sent after that time may appear to be submitted, but will not count.
To update your entry, simply submit a new one!
Details of how scores are calculated are available here.
Past Seasons
2023 2022
More Games
Something Went Wrong
That didn't work. It's probably Avila's fault.
Thank You
Your entry for {{url.rider}} has been submitted. Good luck!
Coming Soon!
Full standings for bonus classifications are coming soon!
scoring
single rider fantasy league
DETAILS
The 2023 season has ended! It was scored according to these rules.
To join the current game click here
SRFL has a simple concept: pick one rider to win a race. The better your rider does, the more points you score. However, there is a twist: points are shared between all the players who choose a rider. So, the more players who pick the same rider, the fewer points you keep!Points are awarded for selected WorldTour and World Championship races. The top 30 finishers in each event earn points according to their position and the race's importance. Players who make rare picks also earn bonus points!Scores for each race are calculated by dividing a rider's base points by the percentage of players who have picked them, but cannot exceed the rider's base score. In games with fewer than 100 players, a rider's base points are instead divided by the number of players who picked them.Riders who are picked by one percent of players or less are 'solo winners'. These players get the full base points and win a bonus. Bonuses are the product of a race's multiplier and the rider's finish position; they cannot exceed the base points. In games with fewer than 100 players, bonuses are instead awarded for unique picks.Race scores are rounded to the nearest tenth of a point. The player with the highest total at the end of the season wins the league. Final standings are based on the results published by firstcycling.com
Scoring Formula

Base Points
| Position | Tour de France | Giro and Vuelta | Monument¹ | Major Stage Race² | Minor Stage Race³ | Major One Day Race⁴ | Minor One Day Race⁵ |
|---|---|---|---|---|---|---|---|
| 1 | 600 | 500 | 350 | 280 | 200 | 180 | 120 |
| 2 | 480 | 400 | 280 | 224 | 160 | 144 | 90 |
| 3 | 360 | 300 | 210 | 168 | 120 | 108 | 75 |
| 4 | 300 | 250 | 175 | 140 | 100 | 90 | 68 |
| 5 | 270 | 225 | 158 | 126 | 90 | 81 | 60 |
| 6 | 240 | 200 | 140 | 112 | 80 | 72 | 54 |
| 7 | 216 | 180 | 126 | 101 | 72 | 65 | 48 |
| 8 | 192 | 160 | 112 | 90 | 64 | 58 | 44 |
| 9 | 174 | 145 | 101 | 81 | 58 | 52 | 39 |
| 10 | 156 | 130 | 91 | 73 | 52 | 47 | 36 |
| 11 | 144 | 120 | 84 | 67 | 48 | 43 | 33 |
| 12 | 132 | 110 | 78 | 62 | 44 | 40 | 30 |
| 13 | 120 | 100 | 70 | 56 | 40 | 36 | 27 |
| 14 | 108 | 90 | 62 | 50 | 36 | 32 | 25 |
| 15 | 96 | 80 | 56 | 45 | 32 | 29 | 23 |
| 16 | 90 | 75 | 52 | 42 | 30 | 27 | 21 |
| 17 | 84 | 70 | 48 | 39 | 28 | 25 | 19 |
| 18 | 78 | 65 | 45 | 36 | 26 | 23 | 17 |
| 19 | 72 | 60 | 42 | 34 | 24 | 22 | 15 |
| 20 | 66 | 55 | 39 | 31 | 22 | 20 | 13 |
| 21 | 60 | 50 | 35 | 28 | 20 | 18 | 11 |
| 22 | 54 | 45 | 32 | 25 | 18 | 16 | 9 |
| 23 | 48 | 40 | 28 | 22 | 16 | 14 | 8 |
| 24 | 42 | 35 | 25 | 20 | 14 | 13 | 7 |
| 25 | 36 | 30 | 21 | 17 | 12 | 11 | 6 |
| 26 | 30 | 25 | 18 | 14 | 10 | 9 | 5 |
| 27 | 24 | 20 | 14 | 11 | 8 | 7 | 4 |
| 28 | 18 | 15 | 10 | 8 | 6 | 5 | 3 |
| 29 | 12 | 10 | 8 | 6 | 4 | 3 | 2 |
| 30 | 6 | 5 | 4 | 3 | 2 | 2 | 1 |
Bonus Points
| Position | Tour de France | Giro and Vuelta | Monument¹ | Major Stage Race² | Minor Stage Race³ | Major One Day Race⁴ | Minor One Day Race⁵ |
|---|---|---|---|---|---|---|---|
| Multiplier | 6x | 5x | 4x | 3x | 2x | 1.5x | 1x |
| 1 | 180 | 150 | 120 | 90 | 60 | 45 | 30 |
| 2 | 174 | 145 | 116 | 87 | 58 | 44 | 29 |
| 3 | 168 | 140 | 112 | 84 | 56 | 42 | 28 |
| 4 | 162 | 135 | 108 | 81 | 54 | 41 | 27 |
| 5 | 156 | 130 | 104 | 78 | 52 | 39 | 26 |
| 6 | 150 | 125 | 100 | 75 | 50 | 38 | 25 |
| 7 | 144 | 120 | 96 | 72 | 48 | 36 | 24 |
| 8 | 138 | 115 | 92 | 69 | 46 | 35 | 23 |
| 9 | 132 | 110 | 88 | 66 | 44 | 33 | 22 |
| 10 | 126 | 105 | 84 | 63 | 42 | 32 | 21 |
| 11 | 120 | 100 | 80 | 60 | 40 | 30 | 20 |
| 12 | 114 | 95 | 76 | 57 | 38 | 29 | 19 |
| 13 | 108 | 90 | 70 | 54 | 36 | 27 | 18 |
| 14 | 102 | 85 | 62 | 50 | 34 | 26 | 17 |
| 15 | 96 | 80 | 56 | 45 | 32 | 24 | 16 |
| 16 | 90 | 75 | 52 | 42 | 30 | 23 | 15 |
| 17 | 84 | 70 | 48 | 39 | 28 | 21 | 14 |
| 18 | 78 | 65 | 45 | 36 | 26 | 20 | 13 |
| 19 | 72 | 60 | 42 | 34 | 24 | 18 | 12 |
| 20 | 66 | 55 | 39 | 31 | 22 | 17 | 11 |
| 21 | 60 | 50 | 35 | 28 | 20 | 15 | 10 |
| 22 | 54 | 45 | 32 | 25 | 18 | 14 | 9 |
| 23 | 48 | 40 | 28 | 22 | 16 | 12 | 8 |
| 24 | 42 | 35 | 25 | 20 | 14 | 11 | 7 |
| 25 | 36 | 30 | 21 | 17 | 12 | 9 | 6 |
| 26 | 30 | 25 | 18 | 14 | 10 | 8 | 5 |
| 27 | 24 | 20 | 14 | 11 | 8 | 6 | 4 |
| 28 | 18 | 15 | 10 | 8 | 6 | 5 | 3 |
| 29 | 12 | 10 | 8 | 6 | 4 | 3 | 2 |
| 30 | 6 | 5 | 4 | 3 | 2 | 2 | 1 |
¹ Includes the Worlds Road Race² Critérium du Dauphiné, Paris–Nice, Tirreno–Adriatico, Tour de Romandie, Tour de Suisse³ Volta a Catalunya, Itzulia Basque Country, Tour de Pologne, Tour Down Under, Tour of Guangxi, UAE Tour⁴ Amstel Gold Race, E3 Harelbeke, La Flèche Wallone, Gent–Wevelgem, Omloop Het Nieuwsblad, San Sebastian, Strade Bianche, Worlds ITT⁵ BEMER Cyclassic, Bretangne Classic, Cadel Evans Road Race, Classic Brugge–De Panne, Dwars door Vlaanderen, Eschborn–Frankfurt, GP Montreal, GP Quebec

Overall
Single Rider Fantasy League 2023
STANDINGS
Awarded to the player who scores
the most points during the season
Last updated on January 13, 2024 for the Tour of Guangxi
| Rank | ↓↑ | User | Base Points | Bonus Points | Total Score | Latest Score |
|---|---|---|---|---|---|---|
| 1 | ― | fewfiet | 1072.5 | 0 | 1072.5 | 30 |
| 2 | ↑ 1 | Positive_Ad2228 | 923.2 | 104 | 1027.2 | 14.4 |
| 3 | ↓ 1 | alpal2214 | 880.6 | 140 | 1020.6 | ― |
| 4 | ― | DerpTrain | 746.6 | 210 | 956.6 | ― |
| 5 | ― | Zeckesan | 777.9 | 167 | 944.9 | ― |
| 6 | ↑ 3 | iamczecksy | 818.1 | 109 | 927.1 | 154 |
| 7 | ↓ 1 | Norskov | 678.9 | 247 | 925.9 | 28 |
| 8 | ↑ 3 | Joder-tio | 755.9 | 151 | 906.9 | 176 |
| 9 | ↓ 2 | yellow52 | 790.9 | 90 | 880.9 | ― |
| 10 | ↑ 25 | paulindy2000 | 668.2 | 146 | 814.2 | 218 |
| 11 | ↓ 3 | vrobrolf | 727.8 | 78 | 805.8 | 30 |
| 12 | ↓ 2 | CudoLanda | 692.2 | 57 | 749.2 | 0 |
| 13 | ― | nahgoe16 | 515.3 | 231 | 746.3 | 40 |
| 14 | ↑ 14 | paaulo | 656.4 | 78 | 734.4 | 94 |
| 15 | ↑ 12 | BSantos57 | 663.3 | 67 | 730.3 | 88 |
| 16 | ↓ 4 | Sappert | 672.8 | 44 | 716.8 | ― |
| 17 | ↑ 1 | AwakenTheBacon_ | 522.2 | 187 | 709.2 | 29 |
| 18 | ↑ 2 | BWallis17 | 702.2 | 0 | 702.2 | 30 |
| 19 | ↓ 4 | Divergee5 | 587.8 | 114 | 701.8 | 14.4 |
| 20 | ↓ 3 | Xcpa9 | 589.9 | 108 | 697.9 | 14.4 |
| 21 | ↓ 7 | Goutye | 614.5 | 74 | 688.5 | ― |
| 22 | ↓ 6 | aidikay | 687.2 | 0 | 687.2 | ― |
| 23 | ↓ 4 | bdrammel | 559.5 | 120 | 679.5 | ― |
| 24 | ↑ 1 | Gta352 | 622.2 | 57 | 679.2 | 24 |
| 25 | ↑ 13 | Eyeconoclastic | 628.3 | 46 | 674.3 | 110 |
| 26 | ↓ 5 | the_ginger27 | 552.6 | 119 | 671.6 | ― |
| 27 | ↓ 5 | arne-b | 585.8 | 81 | 666.8 | ― |
| 28 | ↓ 5 | MrR2D | 565.8 | 97 | 662.8 | ― |
| 29 | ↓ 5 | Nussig | 657 | 0 | 657 | ― |
| 30 | ↓ 4 | DorHarris | 626.6 | 23 | 649.6 | ― |
| 31 | ↓ 1 | ssfoxx27 | 592.6 | 55 | 647.6 | 14.4 |
| 32 | ↓ 3 | vbarrielle | 567.8 | 70 | 637.8 | 0 |
| 33 | ↑ 3 | RaylanGivens8 | 581 | 56 | 637 | 48 |
| 34 | ↓ 3 | Kryziven | 620.6 | 6 | 626.6 | ― |
| 35 | ↓ 3 | ZBGT | 435.5 | 182 | 617.5 | 0 |
| 36 | ↓ 3 | Perlut | 594.7 | 21 | 615.7 | ― |
| 37 | ↓ 3 | Tuttle_not_Buttle | 524.9 | 78 | 602.9 | ― |
| 38 | ↓ 1 | f1phoenix | 423.3 | 153 | 576.3 | 0 |
| 39 | ― | VeggieLegs21 | 477.3 | 68 | 545.3 | ― |
| 40 | ― | spkr4thedead51 | 434.5 | 108 | 542.5 | ― |
| 41 | ― | andytheciderman | 482.4 | 28 | 510.4 | ― |
| 42 | ― | hossman3000 | 481.9 | 18 | 499.9 | ― |
| 43 | ― | baat | 466.7 | 29 | 495.7 | ― |
| 44 | ― | JDdieSonne | 431.1 | 63 | 494.1 | ― |
| 45 | ― | ser-seaworth | 404.7 | 81 | 485.7 | ― |
| 46 | ― | Thomas1VL | 477.4 | 0 | 477.4 | ― |
| 47 | ― | Judas_Bishop | 360.9 | 112 | 472.9 | ― |
| 48 | ― | Mattxps | 403.2 | 44 | 447.2 | ― |
| 49 | ― | burden321 | 436.9 | 7 | 443.9 | ― |
| 50 | ↑ 8 | MacJokic | 344.4 | 96 | 440.4 | 56 |
| 51 | ↓ 1 | Mjkittens | 435.1 | 3 | 438.1 | ― |
| 52 | ↓ 1 | GmckAgar | 309.4 | 121 | 430.4 | ― |
| 53 | ↑ 3 | Seabhac7 | 379.1 | 51 | 430.1 | 29 |
| 54 | ↓ 2 | mcrorigan | 362.7 | 65 | 427.7 | ― |
| 55 | ↓ 2 | MadnessBeliever | 423.3 | 0 | 423.3 | ― |
| 56 | ↓ 2 | rjbman | 412.9 | 0 | 412.9 | ― |
| 57 | ↓ 2 | kjjjz | 409.5 | 0 | 409.5 | ― |
| 58 | ↓ 1 | HalfRust | 334.3 | 57 | 391.3 | ― |
| 59 | ― | Robbenklopper | 294.5 | 58 | 352.5 | ― |
| 60 | ― | Mattho | 320.2 | 18 | 338.2 | ― |
| 61 | ― | KhaledHisham_22 | 328.4 | 6 | 334.4 | ― |
| 62 | ― | YourBeneluxOverlords | 334.2 | 0 | 334.2 | ― |
| 63 | ― | juraj_is_better | 324.9 | 4 | 328.9 | ― |
| 64 | ― | edlll91 | 303.2 | 22 | 325.2 | ― |
| 65 | ↑ 4 | Stanyer | 283 | 39 | 322 | 14.4 |
| 66 | ↓ 1 | SoniMax | 282.9 | 34 | 316.9 | ― |
| 67 | ↓ 1 | K2daL | 214.1 | 100 | 314.1 | ― |
| 68 | ↓ 1 | Miserable_Hour | 256.1 | 56 | 312.1 | ― |
| 69 | ↓ 1 | bassmanyoowan | 309.3 | 0 | 309.3 | ― |
| 70 | ― | narlano | 297.6 | 0 | 297.6 | ― |
| 71 | ― | dashk97 | 132 | 114 | 246 | ― |
| 72 | ― | CO2generator | 206.2 | 25 | 231.2 | ― |
| 73 | ― | CuCuJambo | 224.7 | 0 | 224.7 | ― |
| 74 | ― | moipaslui | 179.9 | 42 | 221.9 | ― |
| 75 | ― | LurkasM1 | 160.5 | 60 | 220.5 | ― |
| 76 | ― | detestrian | 169.4 | 39 | 208.4 | ― |
| 77 | ― | Salty-Level | 202.8 | 0 | 202.8 | ― |
| 78 | ― | copycatrfl | 177.7 | 24 | 201.7 | ― |
| 79 | ― | markp88 | 166.9 | 0 | 166.9 | ― |
| 80 | ― | Solesticio | 162 | 2 | 164 | ― |
| 81 | ― | Wateroski | 157.2 | 0 | 157.2 | ― |
| 82 | ― | masterpierround | 154.1 | 0 | 154.1 | ― |
| 83 | ― | Esopius | 99 | 54 | 153 | ― |
| 84 | ― | LJSchoppert | 75 | 75 | 150 | ― |
| 85 | ― | Checktaschu | 149.6 | 0 | 149.6 | ― |
| 86 | ― | BaconEggNCheeses | 144.1 | 0 | 144.1 | ― |
| 87 | ― | Pure_Necessary_1372 | 137.5 | 0 | 137.5 | ― |
| 88 | ― | PolarJace | 135.6 | 0 | 135.6 | ― |
| 89 | ― | mcbirk | 85.4 | 30 | 115.4 | ― |
| 90 | ― | mussekuuper | 102.2 | 0 | 102.2 | ― |
| 91 | ― | D4RK_3LF | 97.8 | 3 | 100.8 | ― |
| 92 | ― | funeflugt | 100 | 0 | 100 | ― |
| 93 | ― | LynniePinnie67 | 80 | 0 | 80 | ― |
| 94 | ― | Randy_Manpipe | 78 | 0 | 78 | ― |
| 95 | ― | ecuinir | 76.8 | 0 | 76.8 | ― |
| 96 | ― | oxnar | 73.3 | 0 | 73.3 | ― |
| 97 | ― | grasroten | 72 | 0 | 72 | ― |
| 98 | ― | Tibaslol | 66.7 | 0 | 66.7 | ― |
| 99 | ― | unicornsandkittens | 44.6 | 20 | 64.6 | ― |
| 100 | ― | frozahh | 64 | 0 | 64 | ― |
| 101 | ― | arkwright14 | 60 | 0 | 60 | ― |
| 102 | ― | 2000ber | 28 | 28 | 56 | ― |
| 102 | ― | AJL912-aber | 56 | 0 | 56 | ― |
| 104 | ― | TR2008 | 53.3 | 0 | 53.3 | ― |
| 105 | ― | Robin30802 | 45 | 0 | 45 | ― |
| 106 | ― | lazyfck | 37.5 | 0 | 37.5 | ― |
| 106 | ― | Splitdifference | 37.5 | 0 | 37.5 | ― |
| 108 | ― | Ayrr | 34.8 | 0 | 34.8 | ― |
| 108 | ― | Loud_Mycologist1382 | 34.8 | 0 | 34.8 | ― |
| 110 | ― | syn69 | 25.7 | 0 | 25.7 | ― |
| 111 | ― | Riemt | 13 | 11 | 24 | ― |
| 112 | ― | BerryFabulous | 23.6 | 0 | 23.6 | ― |
| 113 | ― | bg091 | 22.5 | 0 | 22.5 | ― |
| 113 | ― | tomatoincredible | 22.5 | 0 | 22.5 | ― |
| 115 | ― | deferential | 19.5 | 0 | 19.5 | ― |
| 116 | ― | TwistedWitch | 16.3 | 0 | 16.3 | ― |
| 117 | ― | Smukstra | 16.2 | 0 | 16.2 | ― |
| 118 | ― | Mastas | 13.5 | 0 | 13.5 | ― |
| 119 | ― | jakethebrick111 | 10 | 0 | 10 | ― |
| 120 | ― | ULhothot | 8.6 | 0 | 8.6 | ― |
| 121 | ― | sh545 | 8.5 | 0 | 8.5 | ― |
| 122 | ― | epi_counts | 8.1 | 0 | 8.1 | ― |
| 122 | ― | Jharms17 | 8.1 | 0 | 8.1 | ― |
| 124 | ― | Simulation-Central | 7.3 | 0 | 7.3 | ― |
| 125 | ― | Avila99 | 4 | 0 | 4 | ― |
| 126 | ― | Izzon | 3.5 | 0 | 3.5 | ― |
| 127 | ― | Lxnnox | 2.5 | 0 | 2.5 | ― |
| 128 | ― | chunt75 | 2.3 | 0 | 2.3 | ― |
| 129 | ― | aidanorion | 0 | 0 | 0 | ― |
| 129 | ― | benjylat | 0 | 0 | 0 | ― |
| 129 | ― | BEX_Fanboy | 0 | 0 | 0 | ― |
| 129 | ― | Cletus_awreetus | 0 | 0 | 0 | ― |
| 129 | ― | Daanbrakka | 0 | 0 | 0 | ― |
| 129 | ― | EDG0 | 0 | 0 | 0 | ― |
| 129 | ― | Equal_Satisfaction_2 | 0 | 0 | 0 | ― |
| 129 | ― | kioescport | 0 | 0 | 0 | ― |
| 129 | ― | maurob1 | 0 | 0 | 0 | ― |
| 129 | ― | onrust | 0 | 0 | 0 | ― |
| 129 | ― | OregonRouleur | 0 | 0 | 0 | ― |
| 129 | ― | Redskin44 | 0 | 0 | 0 | ― |
| 129 | ― | sklugs46 | 0 | 0 | 0 | ― |
| 129 | ― | sluukkonen | 0 | 0 | 0 | ― |

One Day Races
Single Rider Fantasy League 2023
STANDINGS
Awarded to the player who scores
the most points in one day races
during the season
Last updated on October 14, 2023 for Il Lombardia
| Rank | ↓↑ | User | Latest Score | Total Score |
|---|---|---|---|---|
| 1 | ― | fewfiet | 70 | 638.9 |
| 2 | ― | Goutye | ― | 505.7 |
| 3 | ― | bdrammel | ― | 496.4 |
| 4 | ↑ 3 | Positive_Ad2228 | 52.5 | 492.7 |
| 5 | ↓ 1 | Sappert | ― | 488.4 |
| 6 | ↑ 2 | MrR2D | 63 | 471.6 |
| 7 | ↑ 7 | the_ginger27 | 87.5 | 470.5 |
| 8 | ↓ 3 | AwakenTheBacon_ | 0 | 466.7 |
| 9 | ↑ 3 | ssfoxx27 | 70 | 465.4 |
| 10 | ↓ 4 | Zeckesan | 0 | 450.8 |
| 11 | ↓ 2 | Xcpa9 | 28 | 433.1 |
| 12 | ↑ 5 | iamczecksy | 50.5 | 406.7 |
| 13 | ↑ 33 | Norskov | 175 | 402.9 |
| 14 | ↑ 5 | aidikay | 52.5 | 401.1 |
| 15 | ↓ 5 | baat | ― | 400.8 |
| 16 | ― | arne-b | 35 | 400.7 |
| 17 | ↑ 4 | vrobrolf | 70 | 397.1 |
| 18 | ↓ 7 | Nussig | ― | 396 |
| 19 | ↓ 6 | Divergee5 | 0 | 393.6 |
| 20 | ↑ 5 | Tuttle_not_Buttle | 63 | 380.1 |
| 21 | ↓ 6 | spkr4thedead51 | ― | 373.9 |
| 22 | ↑ 11 | RaylanGivens8 | 87.5 | 369 |
| 23 | ↑ 4 | DorHarris | 52.5 | 363.7 |
| 24 | ↑ 4 | Gta352 | 52.5 | 358.5 |
| 25 | ↓ 7 | alpal2214 | ― | 354.1 |
| 26 | ↓ 3 | BSantos57 | 28 | 351 |
| 27 | ↓ 5 | Perlut | 21 | 346.3 |
| 28 | ↓ 8 | Joder-tio | 0 | 345.2 |
| 29 | ↑ 7 | Seabhac7 | 70 | 343.8 |
| 30 | ↑ 8 | VeggieLegs21 | 70 | 340.8 |
| 31 | ― | yellow52 | 50.5 | 339.5 |
| 32 | ↑ 10 | nahgoe16 | 90 | 336.3 |
| 33 | ↓ 1 | paaulo | 35 | 322.1 |
| 34 | ↓ 10 | ZBGT | 0 | 317.4 |
| 35 | ↓ 9 | Judas_Bishop | 0 | 312.9 |
| 36 | ↓ 2 | CudoLanda | 28 | 304.8 |
| 36 | ↓ 7 | vbarrielle | ― | 304.8 |
| 38 | ↓ 8 | f1phoenix | 0 | 296.3 |
| 39 | ↓ 4 | Stanyer | 8 | 283 |
| 40 | ― | andytheciderman | 21 | 278.3 |
| 41 | ↓ 4 | MacJokic | ― | 272 |
| 42 | ↓ 3 | GmckAgar | 0 | 261.3 |
| 43 | ↓ 2 | bassmanyoowan | 0 | 252.3 |
| 44 | ↑ 6 | Kryziven | 28 | 242.9 |
| 45 | ↓ 2 | Robbenklopper | ― | 238.5 |
| 46 | ↓ 2 | Mattho | ― | 236.4 |
| 47 | ↓ 2 | Thomas1VL | ― | 233 |
| 48 | ↓ 1 | BWallis17 | 0 | 227.4 |
| 49 | ↓ 1 | mcrorigan | 0 | 221 |
| 50 | ↓ 1 | Eyeconoclastic | 0 | 215.7 |
| 51 | ― | YourBeneluxOverlords | ― | 202.4 |
| 52 | ― | ser-seaworth | ― | 200 |
| 53 | ― | burden321 | ― | 187.7 |
| 54 | ― | JDdieSonne | 0 | 185.6 |
| 55 | ― | Mjkittens | ― | 179.7 |
| 56 | ― | HalfRust | ― | 163.9 |
| 57 | ― | Salty-Level | ― | 156.5 |
| 58 | ― | kjjjz | ― | 155.1 |
| 59 | ― | Mattxps | ― | 145.5 |
| 60 | ― | Miserable_Hour | ― | 145.4 |
| 61 | ― | CO2generator | ― | 144.6 |
| 62 | ― | BaconEggNCheeses | ― | 144.1 |
| 63 | ― | SoniMax | ― | 134.4 |
| 64 | ― | rjbman | ― | 127.2 |
| 65 | ― | juraj_is_better | ― | 126.5 |
| 66 | ― | detestrian | ― | 124.2 |
| 67 | ― | narlano | ― | 116.4 |
| 68 | ― | mcbirk | ― | 115.4 |
| 69 | ― | edlll91 | ― | 114.7 |
| 70 | ― | hossman3000 | ― | 111.4 |
| 71 | ― | paulindy2000 | 0 | 111.4 |
| 72 | ― | mussekuuper | ― | 102.2 |
| 73 | ― | KhaledHisham_22 | ― | 83.9 |
| 74 | ― | Checktaschu | ― | 82.9 |
| 75 | ― | markp88 | ― | 76.6 |
| 76 | ― | moipaslui | ― | 75.9 |
| 77 | ― | D4RK_3LF | ― | 72.8 |
| 78 | ― | K2daL | ― | 70.4 |
| 79 | ― | PolarJace | ― | 67.6 |
| 80 | ― | masterpierround | ― | 66.8 |
| 81 | ― | MadnessBeliever | ― | 63.1 |
| 82 | ― | DerpTrain | ― | 58.1 |
| 83 | ― | unicornsandkittens | ― | 46.6 |
| 84 | ― | Solesticio | ― | 43.3 |
| 85 | ― | copycatrfl | ― | 40.5 |
| 86 | ― | syn69 | ― | 25.7 |
| 87 | ― | oxnar | ― | 24.7 |
| 88 | ― | Riemt | ― | 24 |
| 89 | ― | deferential | ― | 19.5 |
| 90 | ― | Wateroski | ― | 18.3 |
| 91 | ― | Pure_Necessary_1372 | ― | 17.5 |
| 92 | ― | TwistedWitch | ― | 16.3 |
| 93 | ― | frozahh | ― | 16.2 |
| 93 | ― | Smukstra | ― | 16.2 |
| 95 | ― | Mastas | ― | 13.5 |
| 96 | ― | AJL912-aber | ― | 11 |
| 97 | ― | jakethebrick111 | ― | 10 |
| 98 | ― | ULhothot | ― | 8.6 |
| 99 | ― | sh545 | ― | 8.5 |
| 100 | ― | epi_counts | ― | 8.1 |
| 100 | ― | Jharms17 | ― | 8.1 |
| 102 | ― | BerryFabulous | ― | 3.6 |
| 103 | ― | Lxnnox | 0 | 2.5 |
| 104 | ― | chunt75 | ― | 2.3 |
| 105 | ― | aidanorion | ― | 0 |
| 105 | ― | BEX_Fanboy | ― | 0 |
| 105 | ― | kioescport | ― | 0 |
| 105 | ― | maurob1 | ― | 0 |
| 105 | ― | onrust | ― | 0 |
| 105 | ― | OregonRouleur | ― | 0 |

Stage Races
Single Rider Fantasy League 2023
STANDINGS
Awarded to the player who scores
the most points in stage races
during the season
Last updated on January 13, 2024 for the Tour of Guangxi
| Rank | ↓↑ | User | Latest Score | Total Score |
|---|---|---|---|---|
| 1 | ― | DerpTrain | ― | 898.5 |
| 2 | ↑ 5 | paulindy2000 | 218 | 702.8 |
| 3 | ↓ 1 | alpal2214 | ― | 666.5 |
| 4 | ↑ 8 | Joder-tio | 176 | 561.7 |
| 5 | ↓ 2 | yellow52 | ― | 541.4 |
| 6 | ↓ 2 | Positive_Ad2228 | 14.4 | 534.5 |
| 7 | ↓ 2 | Norskov | 28 | 523 |
| 8 | ↑ 8 | iamczecksy | 154 | 520.4 |
| 9 | ↓ 3 | Zeckesan | ― | 494.1 |
| 10 | ↓ 2 | BWallis17 | 30 | 474.8 |
| 11 | ↑ 7 | Eyeconoclastic | 110 | 458.6 |
| 12 | ↓ 3 | CudoLanda | 0 | 444.4 |
| 13 | ↓ 3 | fewfiet | 30 | 433.6 |
| 14 | ↑ 6 | paaulo | 94 | 412.3 |
| 15 | ― | nahgoe16 | 40 | 410 |
| 16 | ↓ 2 | vrobrolf | 30 | 408.7 |
| 17 | ↓ 6 | hossman3000 | ― | 388.5 |
| 18 | ↓ 5 | Kryziven | ― | 383.7 |
| 19 | ↑ 7 | BSantos57 | 88 | 379.3 |
| 20 | ↓ 3 | MadnessBeliever | ― | 360.2 |
| 21 | ↓ 2 | vbarrielle | 0 | 333 |
| 22 | ↑ 2 | Gta352 | 24 | 320.7 |
| 23 | ↓ 2 | JDdieSonne | ― | 308.5 |
| 24 | ↑ 1 | Divergee5 | 14.4 | 308.2 |
| 25 | ↓ 3 | Mattxps | ― | 301.7 |
| 26 | ↓ 3 | ZBGT | 0 | 300.1 |
| 27 | ― | aidikay | ― | 286.1 |
| 28 | ― | DorHarris | ― | 285.9 |
| 29 | ― | rjbman | ― | 285.7 |
| 30 | ― | ser-seaworth | ― | 285.7 |
| 31 | ― | f1phoenix | 0 | 280 |
| 32 | ― | Perlut | ― | 269.4 |
| 33 | ↑ 16 | RaylanGivens8 | 48 | 268 |
| 34 | ↓ 1 | arne-b | ― | 266.1 |
| 35 | ↑ 4 | Xcpa9 | 14.4 | 264.8 |
| 36 | ↓ 2 | Nussig | ― | 261 |
| 37 | ↓ 2 | Mjkittens | ― | 258.4 |
| 38 | ↓ 2 | burden321 | ― | 256.2 |
| 39 | ↓ 2 | kjjjz | ― | 254.4 |
| 40 | ↓ 2 | KhaledHisham_22 | ― | 250.5 |
| 41 | ↓ 1 | dashk97 | ― | 246 |
| 42 | ↓ 1 | Thomas1VL | ― | 244.4 |
| 43 | ↓ 1 | K2daL | ― | 243.7 |
| 44 | ↑ 6 | AwakenTheBacon_ | 29 | 242.5 |
| 45 | ↓ 2 | andytheciderman | ― | 232.1 |
| 46 | ↓ 2 | Sappert | ― | 228.4 |
| 47 | ↓ 2 | HalfRust | ― | 227.4 |
| 48 | ↓ 2 | CuCuJambo | ― | 224.7 |
| 49 | ↓ 2 | Tuttle_not_Buttle | ― | 222.8 |
| 50 | ↓ 2 | LurkasM1 | ― | 220.5 |
| 51 | ― | edlll91 | ― | 210.5 |
| 52 | ― | mcrorigan | ― | 206.7 |
| 53 | ― | VeggieLegs21 | ― | 204.5 |
| 54 | ― | juraj_is_better | ― | 202.4 |
| 55 | ― | the_ginger27 | ― | 201.1 |
| 56 | ― | MrR2D | ― | 191.2 |
| 57 | ― | bdrammel | ― | 183.1 |
| 58 | ― | Goutye | ― | 182.8 |
| 59 | ― | SoniMax | ― | 182.5 |
| 60 | ↑ 3 | ssfoxx27 | 14.4 | 182.2 |
| 61 | ↓ 1 | narlano | ― | 181.2 |
| 62 | ↓ 1 | GmckAgar | ― | 169.1 |
| 63 | ↓ 1 | spkr4thedead51 | ― | 168.6 |
| 64 | ↑ 11 | MacJokic | 56 | 168.4 |
| 65 | ↓ 1 | Miserable_Hour | ― | 166.7 |
| 66 | ↓ 1 | copycatrfl | ― | 161.2 |
| 67 | ↓ 1 | Judas_Bishop | ― | 160 |
| 68 | ↓ 1 | Esopius | ― | 153 |
| 69 | ↓ 1 | LJSchoppert | ― | 150 |
| 70 | ↓ 1 | moipaslui | ― | 146 |
| 71 | ↓ 1 | Wateroski | ― | 138.9 |
| 72 | ↓ 1 | YourBeneluxOverlords | ― | 131.8 |
| 73 | ↓ 1 | Solesticio | ― | 120.7 |
| 74 | ↓ 1 | Pure_Necessary_1372 | ― | 120 |
| 75 | ↓ 1 | Robbenklopper | ― | 114 |
| 76 | ― | Mattho | ― | 101.8 |
| 77 | ― | funeflugt | ― | 100 |
| 78 | ― | baat | ― | 94.9 |
| 79 | ― | markp88 | ― | 90.3 |
| 80 | ― | masterpierround | ― | 87.3 |
| 81 | ― | CO2generator | ― | 86.6 |
| 82 | ↑ 9 | Seabhac7 | 29 | 86.3 |
| 83 | ↓ 1 | detestrian | ― | 84.2 |
| 84 | ↓ 1 | LynniePinnie67 | ― | 80 |
| 85 | ↓ 1 | Randy_Manpipe | ― | 78 |
| 86 | ↓ 1 | ecuinir | ― | 76.8 |
| 87 | ↓ 1 | grasroten | ― | 72 |
| 88 | ↓ 1 | PolarJace | ― | 68 |
| 89 | ↓ 1 | Checktaschu | ― | 66.7 |
| 89 | ↓ 1 | Tibaslol | ― | 66.7 |
| 91 | ↓ 1 | arkwright14 | ― | 60 |
| 92 | ― | bassmanyoowan | ― | 57 |
| 93 | ― | 2000ber | ― | 56 |
| 94 | ― | TR2008 | ― | 53.3 |
| 95 | ― | oxnar | ― | 48.6 |
| 96 | ― | frozahh | ― | 47.8 |
| 97 | ― | Salty-Level | ― | 46.3 |
| 98 | ― | AJL912-aber | ― | 45 |
| 98 | ― | Robin30802 | ― | 45 |
| 100 | ↑ 5 | Stanyer | 14.4 | 39 |
| 101 | ↓ 1 | lazyfck | ― | 37.5 |
| 101 | ↓ 1 | Splitdifference | ― | 37.5 |
| 103 | ↓ 1 | Ayrr | ― | 34.8 |
| 103 | ↓ 1 | Loud_Mycologist1382 | ― | 34.8 |
| 105 | ↓ 1 | D4RK_3LF | ― | 28 |
| 106 | ― | bg091 | ― | 22.5 |
| 106 | ― | tomatoincredible | ― | 22.5 |
| 108 | ― | BerryFabulous | ― | 20 |
| 109 | ― | unicornsandkittens | ― | 18 |
| 110 | ― | Simulation-Central | ― | 7.3 |
| 111 | ― | Avila99 | ― | 4 |
| 112 | ― | Izzon | ― | 3.5 |
| 113 | ― | benjylat | ― | 0 |
| 113 | ― | BEX_Fanboy | ― | 0 |
| 113 | ― | chunt75 | ― | 0 |
| 113 | ― | Cletus_awreetus | ― | 0 |
| 113 | ― | Daanbrakka | ― | 0 |
| 113 | ― | EDG0 | ― | 0 |
| 113 | ― | Equal_Satisfaction_2 | ― | 0 |
| 113 | ― | kioescport | ― | 0 |
| 113 | ― | Lxnnox | ― | 0 |
| 113 | ― | mussekuuper | ― | 0 |
| 113 | ― | Redskin44 | ― | 0 |
| 113 | ― | sh545 | ― | 0 |
| 113 | ― | sklugs46 | ― | 0 |
| 113 | ― | sluukkonen | ― | 0 |
| 113 | ― | TwistedWitch | ― | 0 |
| 113 | ― | ULhothot | ― | 0 |

Best Pick
Single Rider Fantasy League 2023
STANDINGS
Awarded to the player who scores
the most points in a single race
More Information
Last updated on January 13, 2024 for the Tour of Guangxi
| Rank | User | Score | Rider | Race | |
|---|---|---|---|---|---|
| 1 | DerpTrain | 650 | Sepp Kuss | Vuelta | |
| 2 | bdrammel | 470 | Mathieu Van Der Poel | Sanremo | |
| 3 | yellow52 | 370 | Adam Yates | Romandie | |
| 4 | Norskov | 275 | Cian Uijtdebroeks | Vuelta | |
| 5 | alpal2214 | 255 | Joao Almeida | Vuelta | |
| 6 | hossman3000 | 250 | Primoz Roglic | Giro | |
| 6 | Positive_Ad2228 | 250 | Primoz Roglic | Giro | |
| 8 | dashk97 | 246 | Sepp Kuss | Tour | |
| 9 | GmckAgar | 222 | Kasper Asgreen | Flanders | |
| 10 | K2daL | 220 | Einer Rubio | Giro | |
| 11 | ✬ | paulindy2000 | 218 | Rémy Rochas | Guangxi |
| 11 | vrobrolf | 218 | Florian Vermeersch | Benelux | |
| 13 | Joder-tio | 205 | Ilan Van Wilder | Giro | |
| 14 | spkr4thedead51 | 189 | Anthony Turgis | Sanremo | |
| 15 | Sappert | 188 | Pello Bilbao | San Sebastian | |
| 15 | Seabhac7 | 188 | Ben Healy | Amstel | |
| 17 | Divergee5 | 175 | Christophe Laporte | Roubaix | |
| 18 | Xcpa9 | 164 | Neilson Powless | Worlds RR | |
| 19 | ✬ | iamczecksy | 154 | Hugh Carthy | Guangxi |
| 19 | Zeckesan | 154 | Jasper Stuyven | Benelux | |
| 21 | CuCuJambo | 150 | Simon Yates | Tour | |
| 21 | Eyeconoclastic | 150 | Simon Yates | Tour | |
| 21 | LJSchoppert | 150 | Einer Rubio | Vuelta | |
| 21 | Robbenklopper | 150 | Mikel Landa | Flèche | |
| 21 | the_ginger27 | 150 | Aleksandr Vlasov | San Sebastian | |
| 21 | VeggieLegs21 | 150 | Adam Yates | Montreal | |
| 27 | bassmanyoowan | 140 | Filippo Ganna | Sanremo | |
| 27 | MadnessBeliever | 140 | Mattias Skjelmose | Suisse | |
| 27 | Perlut | 140 | Filippo Ganna | Sanremo | |
| 30 | JDdieSonne | 136 | Jack Haig | Paris–Nice | |
| 31 | CudoLanda | 133.3 | Geraint Thomas | Giro | |
| 31 | Mjkittens | 133.3 | Geraint Thomas | Giro | |
| 31 | nahgoe16 | 133.3 | Geraint Thomas | Giro | |
| 34 | ssfoxx27 | 131 | Brandon McNulty | Worlds ITT | |
| 35 | arne-b | 125 | Damiano Caruso | Giro | |
| 35 | BWallis17 | 125 | Damiano Caruso | Giro | |
| 37 | AwakenTheBacon_ | 124 | Mattias Skjelmose | Worlds RR | |
| 38 | detestrian | 120 | Ion Izagirre | San Sebastian | |
| 38 | LurkasM1 | 120 | Emanuel Buchmann | Tour | |
| 38 | Pure_Necessary_1372 | 120 | Adam Yates | Tour | |
| 38 | ZBGT | 120 | Adam Yates | Tour | |
| 42 | baat | 116.7 | Mathieu van der Poel | Worlds RR | |
| 42 | fewfiet | 116.7 | Mathieu van der Poel | Worlds RR | |
| 42 | Nussig | 116.7 | Mathieu van der Poel | Worlds RR | |
| 45 | Goutye | 110 | Stefan Küng | E3 | |
| 45 | MrR2D | 110 | Andrea Bagioli | Amstel | |
| 47 | Esopius | 108 | Warren Barguil | Tour | |
| 48 | BSantos57 | 105 | Mads Pedersen | Flanders | |
| 49 | andytheciderman | 103 | Alex Aranburu | Montreal | |
| 50 | f1phoenix | 100 | Damiano Caruso | Tirreno | |
| 50 | funeflugt | 100 | Jonas Vingegaard | Vuelta | |
| 50 | Miserable_Hour | 100 | Lorenzo Fortunato | Giro | |
| 50 | Thomas1VL | 100 | Jonas Vingegaard | Vuelta | |
| 54 | Tuttle_not_Buttle | 96 | Anthony Turgis | Flanders | |
| 55 | ✬ | paaulo | 94 | Sylvain Moniquet | Guangxi |
| 56 | aidikay | 93.3 | Primoz Roglic | Tirreno | |
| 56 | Kryziven | 93.3 | Primoz Roglic | Tirreno | |
| 58 | vbarrielle | 93 | Romain Grégoire | Strade | |
| 59 | MacJokic | 90 | Alexander Kristoff | Flanders | |
| 60 | RaylanGivens8 | 87.5 | Aleksandr Vlasov | Lombardia | |
| 61 | LynniePinnie67 | 80 | Pello Bilbao | Tour | |
| 61 | Mattxps | 80 | Pello Bilbao | Tour | |
| 61 | rjbman | 80 | Lucas Plapp | UAE Tour | |
| 61 | ser-seaworth | 80 | Mikel Landa | Itzulia | |
| 65 | CO2generator | 79 | Arnaud De Lie | Dwars | |
| 65 | mcrorigan | 79 | Stefan Küng | Worlds RR | |
| 65 | SoniMax | 79 | Kragh Andersen Søren | Sanremo | |
| 68 | Randy_Manpipe | 78 | Guillaume Martin | Tour | |
| 69 | CuCuJambo | 74.7 | Adam Yates | Dauphiné | |
| 70 | mcbirk | 73 | Pascal Ackermann | Gent | |
| 71 | grasroten | 72 | Thibaut Pinot | Tour | |
| 72 | Gta352 | 70 | Remco Evenepoel | Liège | |
| 72 | Judas_Bishop | 70 | Natnael Tesfazion | Down Under | |
| 72 | Stanyer | 70 | Remco Evenepoel | Liège | |
| 72 | YourBeneluxOverlords | 70 | Wout van Aert | Roubaix | |
| 76 | burden321 | 67.5 | Carlos Rodriguez | Tour | |
| 77 | Checktaschu | 66.7 | Jonas Vingegaard | Tour | |
| 77 | HalfRust | 66.7 | Thymen Arensman | Giro | |
| 77 | Tibaslol | 66.7 | Jonas Vingegaard | Tour | |
| 77 | Wateroski | 66.7 | Jonas Vingegaard | Tour | |
| 81 | KhaledHisham_22 | 65 | Santiago Buitrago | Vuelta | |
| 82 | arkwright14 | 60 | Tom Pidcock | Tour | |
| 83 | BaconEggNCheeses | 58.3 | Tadej Pogacar | Flanders | |
| 83 | DorHarris | 58.3 | Tadej Pogacar | Flanders | |
| 85 | 2000ber | 56 | Felix Großschartner | Dauphiné | |
| 85 | narlano | 56 | Juan Ayuso | Suisse | |
| 87 | juraj_is_better | 53.3 | Tadej Pogacar | Tour | |
| 87 | masterpierround | 53.3 | Tadej Pogacar | Tour | |
| 87 | TR2008 | 53.3 | Tadej Pogacar | Tour | |
| 90 | Mattho | 50 | Mathieu van der Poel | Roubaix | |
| 91 | copycatrfl | 48 | Sepp Kuss | Catalunya | |
| 92 | D4RK_3LF | 45.5 | Alberto Bettiol | Worlds RR | |
| 93 | AJL912-aber | 45 | Thibaut Pinot | Giro | |
| 93 | kjjjz | 45 | Thibaut Pinot | Giro | |
| 93 | Robin30802 | 45 | Mauro Schmid | Down Under | |
| 96 | edlll91 | 44 | Tobias Foss | Paris–Nice | |
| 96 | moipaslui | 44 | Elie Gesbert | Down Under | |
| 98 | Salty-Level | 43.8 | Mads Pedersen | Roubaix | |
| 99 | Solesticio | 43.2 | Jai Hindley | Tour | |
| 100 | unicornsandkittens | 43 | Matteo Jorgenson | Omloop | |
| 101 | ecuinir | 42 | Jack Haig | Dauphiné | |
| 102 | lazyfck | 37.5 | Primoz Roglic | Vuelta | |
| 102 | Splitdifference | 37.5 | Joao Almeida | Giro | |
| 104 | markp88 | 35 | Jonas Vingegaard | Dauphiné | |
| 105 | Ayrr | 34.8 | David Gaudu | Tour | |
| 105 | Loud_Mycologist1382 | 34.8 | David Gaudu | Tour | |
| 107 | mussekuuper | 31.1 | Mathieu van der Poel | Flanders | |
| 108 | oxnar | 28.6 | Remco Evenepoel | UAE Tour | |
| 109 | PolarJace | 26.3 | Neilson Powless | Flanders | |
| 110 | syn69 | 25.7 | Tadej Pogacar | Amstel | |
| 111 | frozahh | 25.3 | Cian Uijtdebroeks | Suisse | |
| 112 | Riemt | 24 | Nils Politt | Frankfurt | |
| 113 | bg091 | 22.5 | Sepp Kuss | Giro | |
| 113 | tomatoincredible | 22.5 | Sepp Kuss | Giro | |
| 115 | BerryFabulous | 20 | Tadej Pogacar | Paris–Nice | |
| 116 | deferential | 19.5 | Florian Vermeersch | Roubaix | |
| 117 | Smukstra | 16.2 | Attila Valter | Strade | |
| 118 | TwistedWitch | 16 | Valentin Madouas | Strade | |
| 119 | Mastas | 13.5 | Wout van Aert | Worlds ITT | |
| 120 | jakethebrick111 | 10 | Quinn Simmons | Strade | |
| 121 | ULhothot | 8.6 | Juan Ayuso | San Sebastian | |
| 122 | sh545 | 8.5 | Michael Matthews | Cadel Evans | |
| 123 | epi_counts | 8.1 | Tom Pidcock | Omloop | |
| 123 | Jharms17 | 8.1 | Tom Pidcock | Omloop | |
| 125 | Simulation-Central | 7.3 | Daniel Martinez | Dauphiné | |
| 126 | Avila99 | 4 | Mattias Skjelmose | Tour | |
| 127 | Izzon | 3.5 | Geoffrey Bouchard | UAE Tour | |
| 128 | Lxnnox | 2.5 | Michael Matthews | Montreal | |
| 129 | chunt75 | 2.3 | Aleksandr Vlasov | Strade | |
| 130 | aidanorion | 0 | Christophe Laporte | Worlds RR | |
| 130 | benjylat | 0 | Michael Matthews | Down Under | |
| 130 | BEX_Fanboy | 0 | Rohan Dennis | Down Under | |
| 130 | Cletus_awreetus | 0 | Michael Matthews | Down Under | |
| 130 | Daanbrakka | 0 | Vincenzo Albanese | Giro | |
| 130 | EDG0 | 0 | Neilson Powless | Tour | |
| 130 | Equal_Satisfaction_2 | 0 | Max Poole | Vuelta | |
| 130 | kioescport | 0 | Rohan Dennis | Down Under | |
| 130 | maurob1 | 0 | Yves Lampaert | Omloop | |
| 130 | onrust | 0 | Victor Campenaerts | Omloop | |
| 130 | OregonRouleur | 0 | Florian Vermeersch | Roubaix | |
| 130 | Redskin44 | 0 | Lilian Calmejane | Tour | |
| 130 | sklugs46 | 0 | Neilson Powless | Tour | |
| 130 | sluukkonen | 0 | Geraint Thomas | Down Under |
Back to TopSymbols
✬ Made their best pick in the latest race

Saganth
Single Rider Fantasy League 2023
STANDINGS
Awarded to the player who scores
the most points from riders who finished second
during the season
More Information
Last updated on January 13, 2024 for the Tour of Guangxi
| Rank | ↓↑ | User | Score | Picks |
|---|---|---|---|---|
| 1 | ― | Sappert | 358.6 | 4 |
| 2 | ― | vrobrolf | 302.4 | 5 |
| 3 | ↑ 23 | paulindy2000 | 285.3 | 3 |
| 4 | ↓ 1 | Perlut | 276.6 | 5 |
| 5 | ↓ 1 | alpal2214 | 274.8 | 4 |
| 6 | ↓ 1 | fewfiet | 258.3 | 5 |
| 7 | ↓ 1 | Nussig | 251.1 | 5 |
| 8 | ↓ 1 | Mjkittens | 215.4 | 3 |
| 9 | ↓ 1 | rjbman | 198.4 | 4 |
| 10 | ↓ 1 | Seabhac7 | 188 | 1 |
| 11 | ↓ 1 | Thomas1VL | 156.6 | 3 |
| 12 | ↓ 1 | BSantos57 | 152 | 3 |
| 13 | ↓ 1 | CudoLanda | 149.3 | 2 |
| 14 | ↓ 1 | bassmanyoowan | 140 | 1 |
| 15 | ↓ 1 | nahgoe16 | 133.3 | 1 |
| 16 | ↓ 1 | narlano | 131.9 | 3 |
| 17 | ↓ 1 | Kryziven | 119.1 | 3 |
| 18 | ↓ 1 | Divergee5 | 100 | 1 |
| 18 | ↓ 1 | funeflugt | 100 | 1 |
| 20 | ↓ 1 | DorHarris | 98.1 | 2 |
| 21 | ↓ 1 | iamczecksy | 95.3 | 3 |
| 22 | ↓ 1 | ser-seaworth | 80 | 1 |
| 23 | ↓ 1 | CuCuJambo | 74.7 | 1 |
| 23 | ↓ 1 | Xcpa9 | 74.7 | 1 |
| 25 | ↓ 1 | baat | 73.6 | 2 |
| 26 | ↓ 1 | HalfRust | 72 | 2 |
| 27 | ― | juraj_is_better | 63.3 | 2 |
| 27 | ― | SoniMax | 63.3 | 2 |
| 29 | ― | vbarrielle | 56 | 1 |
| 30 | ― | MadnessBeliever | 53.3 | 1 |
| 30 | ― | masterpierround | 53.3 | 1 |
| 30 | ― | TR2008 | 53.3 | 1 |
| 33 | ― | Mattho | 51.7 | 2 |
| 34 | ― | Checktaschu | 49.4 | 2 |
| 35 | ― | Eyeconoclastic | 44.8 | 1 |
| 35 | ― | Gta352 | 44.8 | 1 |
| 35 | ― | Positive_Ad2228 | 44.8 | 1 |
| 35 | ― | spkr4thedead51 | 44.8 | 1 |
| 39 | ― | markp88 | 36.6 | 2 |
| 40 | ― | aidikay | 36 | 1 |
| 40 | ― | Joder-tio | 36 | 1 |
| 42 | ― | paaulo | 32 | 1 |
| 42 | ― | YourBeneluxOverlords | 32 | 1 |
| 44 | ― | arne-b | 31.9 | 2 |
| 45 | ― | mussekuuper | 31.1 | 1 |
| 45 | ― | VeggieLegs21 | 31.1 | 1 |
| 45 | ― | yellow52 | 31.1 | 1 |
| 48 | ― | K2daL | 28.8 | 1 |
| 49 | ― | Goutye | 16 | 1 |
| 49 | ― | Mattxps | 16 | 1 |
| 49 | ― | moipaslui | 16 | 1 |
| 49 | ― | TwistedWitch | 16 | 1 |
| 53 | ― | f1phoenix | 11.3 | 1 |
| 53 | ― | JDdieSonne | 11.3 | 1 |
| 53 | ― | oxnar | 11.3 | 1 |
| 53 | ― | Wateroski | 11.3 | 1 |
| 57 | ― | andytheciderman | 10 | 1 |
| 57 | ― | PolarJace | 10 | 1 |
| 57 | ― | ZBGT | 10 | 1 |
Back to TopSymbols
✴ Qualified for the leaderboard in the latest race

Lucky in Love
Single Rider Fantasy League 2023
STANDINGS
Awarded to the player who scores
points in the most races
during the season
More Information
Last updated on January 13, 2024 for the Tour of Guangxi
| Rank | User | Successful Picks | Entries | |
|---|---|---|---|---|
| 1 | fewfiet | 28 | 34 | |
| 2 | ⚘ | Positive_Ad2228 | 27 | 36 |
| 3 | paaulo | 26 | 35 | |
| 4 | BSantos57 | 25 | 35 | |
| 4 | BWallis17 | 25 | 35 | |
| 4 | RaylanGivens8 | 25 | 35 | |
| 7 | Divergee5 | 25 | 34 | |
| 8 | DorHarris | 25 | 32 | |
| 8 | Zeckesan | 25 | 32 | |
| 10 | ⚘ | AwakenTheBacon_ | 24 | 36 |
| 10 | ⚘ | paulindy2000 | 24 | 36 |
| 12 | vbarrielle | 23 | 33 | |
| 13 | andytheciderman | 23 | 31 | |
| 13 | burden321 | 23 | 31 | |
| 15 | Gta352 | 22 | 35 | |
| 15 | ssfoxx27 | 22 | 35 | |
| 15 | Tuttle_not_Buttle | 22 | 35 | |
| 18 | MrR2D | 22 | 34 | |
| 19 | CudoLanda | 22 | 33 | |
| 19 | iamczecksy | 22 | 33 | |
| 19 | Sappert | 22 | 33 | |
| 22 | Nussig | 22 | 29 | |
| 23 | yellow52 | 21 | 29 | |
| 24 | Kryziven | 21 | 25 | |
| 25 | aidikay | 21 | 24 | |
| 26 | arne-b | 20 | 35 | |
| 27 | Goutye | 20 | 34 | |
| 28 | Perlut | 20 | 31 | |
| 29 | KhaledHisham_22 | 20 | 29 | |
| 29 | Xcpa9 | 20 | 29 | |
| 31 | MacJokic | 19 | 30 | |
| 32 | ⚘ | f1phoenix | 18 | 36 |
| 33 | JDdieSonne | 18 | 35 | |
| 33 | ZBGT | 18 | 35 | |
| 35 | nahgoe16 | 18 | 34 | |
| 36 | vrobrolf | 18 | 32 | |
| 37 | alpal2214 | 18 | 31 | |
| 37 | VeggieLegs21 | 18 | 31 | |
| 39 | mcrorigan | 18 | 29 | |
| 40 | Mjkittens | 18 | 24 | |
| 41 | Eyeconoclastic | 17 | 34 | |
| 42 | kjjjz | 17 | 24 | |
| 43 | Judas_Bishop | 16 | 35 | |
| 44 | Joder-tio | 16 | 28 | |
| 45 | the_ginger27 | 16 | 26 | |
| 46 | juraj_is_better | 16 | 25 | |
| 47 | Mattxps | 15 | 27 | |
| 48 | Thomas1VL | 15 | 23 | |
| 49 | hossman3000 | 14 | 27 | |
| 50 | narlano | 14 | 25 | |
| 51 | rjbman | 14 | 22 | |
| 51 | YourBeneluxOverlords | 14 | 22 | |
| 53 | baat | 14 | 19 | |
| 53 | spkr4thedead51 | 14 | 19 | |
| 55 | Norskov | 13 | 27 | |
| 55 | Seabhac7 | 13 | 27 | |
| 57 | ser-seaworth | 13 | 24 | |
| 58 | MadnessBeliever | 13 | 22 | |
| 59 | Mattho | 13 | 20 | |
| 60 | HalfRust | 12 | 20 | |
| 61 | Miserable_Hour | 12 | 19 | |
| 62 | edlll91 | 12 | 17 | |
| 63 | GmckAgar | 11 | 23 | |
| 64 | Stanyer | 11 | 22 | |
| 65 | bdrammel | 11 | 20 | |
| 66 | moipaslui | 11 | 19 | |
| 67 | markp88 | 10 | 23 | |
| 68 | Salty-Level | 10 | 22 | |
| 69 | copycatrfl | 10 | 20 | |
| 70 | DerpTrain | 10 | 19 | |
| 71 | SoniMax | 10 | 13 | |
| 72 | bassmanyoowan | 9 | 15 | |
| 73 | PolarJace | 9 | 14 | |
| 74 | K2daL | 9 | 11 | |
| 75 | masterpierround | 9 | 10 | |
| 76 | CO2generator | 8 | 16 | |
| 77 | Robbenklopper | 7 | 13 | |
| 78 | detestrian | 6 | 19 | |
| 79 | mussekuuper | 6 | 10 | |
| 80 | Solesticio | 6 | 9 | |
| 81 | Wateroski | 6 | 8 | |
| 82 | Checktaschu | 5 | 7 | |
| 83 | D4RK_3LF | 5 | 6 | |
| 83 | oxnar | 5 | 6 | |
| 85 | BaconEggNCheeses | 4 | 5 | |
| 86 | ⍟ | mcbirk | 4 | 4 |
| 87 | frozahh | 3 | 4 | |
| 88 | ⍟ | LurkasM1 | 3 | 3 |
| 88 | ⍟ | unicornsandkittens | 3 | 3 |
| 90 | TwistedWitch | 2 | 18 | |
| 91 | Pure_Necessary_1372 | 2 | 4 | |
| 92 | ⍟ | AJL912-aber | 2 | 2 |
| 92 | ⍟ | BerryFabulous | 2 | 2 |
| 92 | ⍟ | CuCuJambo | 2 | 2 |
| 92 | ⍟ | ecuinir | 2 | 2 |
| 92 | ⍟ | Esopius | 2 | 2 |
| 97 | Lxnnox | 1 | 6 | |
| 98 | ULhothot | 1 | 4 | |
| 99 | chunt75 | 1 | 3 | |
| 100 | Loud_Mycologist1382 | 1 | 2 | |
| 100 | Randy_Manpipe | 1 | 2 | |
| 100 | sh545 | 1 | 2 | |
| 103 | ⍟ | 2000ber | 1 | 1 |
| 103 | ⍟ | arkwright14 | 1 | 1 |
| 103 | ⍟ | Avila99 | 1 | 1 |
| 103 | ⍟ | Ayrr | 1 | 1 |
| 103 | ⍟ | bg091 | 1 | 1 |
| 103 | ⍟ | dashk97 | 1 | 1 |
| 103 | ⍟ | deferential | 1 | 1 |
| 103 | ⍟ | epi_counts | 1 | 1 |
| 103 | ⍟ | funeflugt | 1 | 1 |
| 103 | ⍟ | grasroten | 1 | 1 |
| 103 | ⍟ | Izzon | 1 | 1 |
| 103 | ⍟ | jakethebrick111 | 1 | 1 |
| 103 | ⍟ | Jharms17 | 1 | 1 |
| 103 | ⍟ | lazyfck | 1 | 1 |
| 103 | ⍟ | LJSchoppert | 1 | 1 |
| 103 | ⍟ | LynniePinnie67 | 1 | 1 |
| 103 | ⍟ | Mastas | 1 | 1 |
| 103 | ⍟ | Riemt | 1 | 1 |
| 103 | ⍟ | Robin30802 | 1 | 1 |
| 103 | ⍟ | Simulation-Central | 1 | 1 |
| 103 | ⍟ | Smukstra | 1 | 1 |
| 103 | ⍟ | Splitdifference | 1 | 1 |
| 103 | ⍟ | syn69 | 1 | 1 |
| 103 | ⍟ | Tibaslol | 1 | 1 |
| 103 | ⍟ | tomatoincredible | 1 | 1 |
| 103 | ⍟ | TR2008 | 1 | 1 |
| 129 | ⛒ | BEX_Fanboy | 0 | 2 |
| 129 | ⛒ | kioescport | 0 | 2 |
| 131 | ⛒ | aidanorion | 0 | 1 |
| 131 | ⛒ | benjylat | 0 | 1 |
| 131 | ⛒ | Cletus_awreetus | 0 | 1 |
| 131 | ⛒ | Daanbrakka | 0 | 1 |
| 131 | ⛒ | EDG0 | 0 | 1 |
| 131 | ⛒ | Equal_Satisfaction_2 | 0 | 1 |
| 131 | ⛒ | maurob1 | 0 | 1 |
| 131 | ⛒ | onrust | 0 | 1 |
| 131 | ⛒ | OregonRouleur | 0 | 1 |
| 131 | ⛒ | Redskin44 | 0 | 1 |
| 131 | ⛒ | sklugs46 | 0 | 1 |
| 131 | ⛒ | sluukkonen | 0 | 1 |
Back to TopSymbols
⚘ Entered all races
⍟ Scored on all entries
⛒ SkunkedIn case of a tie...
The player who has made most picks wins

Love Struck
Single Rider Fantasy League 2023
STANDINGS
Awarded to the player who scores
the most points from one rider
during the season
More Information
Last updated on January 13, 2024 for the Tour of Guangxi
| Rank | ↓↑ | User | Score | Rider | Picks |
|---|---|---|---|---|---|
| 1 | ― | Goutye | 418.4 | Stefan Küng | 7 |
| 2 | ― | yellow52 | 371.2 | Adam Yates | 2 |
| 3 | ― | Positive_Ad2228 | 365 | Primoz Roglic | 4 |
| 4 | ― | iamczecksy | 353.8 | Remco Evenepoel | 9 |
| 5 | ― | Xcpa9 | 315.7 | Neilson Powless | 4 |
| 6 | ― | Norskov | 301.6 | Mattias Skjelmose | 6 |
| 7 | ― | hossman3000 | 275 | Primoz Roglic | 2 |
| 8 | ― | ssfoxx27 | 249.9 | Tadej Pogacar | 5 |
| 9 | ― | K2daL | 240 | Einer Rubio | 2 |
| 10 | ― | the_ginger27 | 237.5 | Aleksandr Vlasov | 2 |
| 11 | ― | fewfiet | 214 | Tadej Pogacar | 5 |
| 12 | ― | Nussig | 197.8 | Mathieu van der Poel | 3 |
| 13 | ― | baat | 195.5 | Mathieu van der Poel | 3 |
| 14 | ― | JDdieSonne | 190.7 | Jack Haig | 4 |
| 15 | ― | Thomas1VL | 185.4 | Jonas Vingegaard | 3 |
| 16 | ― | paulindy2000 | 185 | Thibaut Pinot | 4 |
| 17 | ― | aidikay | 183.3 | Primoz Roglic | 3 |
| 18 | ― | f1phoenix | 180 | Damiano Caruso | 3 |
| 19 | ― | Perlut | 163.3 | Filippo Ganna | 2 |
| 20 | ― | arne-b | 153 | Damiano Caruso | 2 |
| 21 | ― | Zeckesan | 148.8 | Mads Pedersen | 2 |
| 22 | ― | DerpTrain | 147 | Aurélien Paret-Peintre | 2 |
| 23 | ― | CudoLanda | 145.1 | Geraint Thomas | 2 |
| 24 | ― | ZBGT | 138 | Matis Louvel | 5 |
| 25 | ― | Gta352 | 130 | Remco Evenepoel | 2 |
| 26 | ― | YourBeneluxOverlords | 121.3 | Remco Evenepoel | 4 |
| 27 | ― | vrobrolf | 119.2 | Tadej Pogacar | 3 |
| 28 | ― | Divergee5 | 118.7 | Jonas Vingegaard | 2 |
| 29 | ― | Joder-tio | 116.7 | Jonas Vingegaard | 2 |
| 30 | ― | vbarrielle | 115.8 | David Gaudu | 3 |
| 31 | ― | DorHarris | 115 | Primoz Roglic | 3 |
| 32 | ― | Judas_Bishop | 108.3 | Sep Vanmarcke | 3 |
| 33 | ― | paaulo | 108 | Carlos Rodriguez | 2 |
| 34 | ― | RaylanGivens8 | 107.8 | Aleksandr Vlasov | 2 |
| 35 | ― | Kryziven | 102 | Remco Evenepoel | 2 |
| 36 | ― | Stanyer | 94 | Remco Evenepoel | 2 |
| 37 | ― | andytheciderman | 91.1 | Pello Bilbao | 2 |
| 38 | ― | AwakenTheBacon_ | 90.3 | Pavel Sivakov | 2 |
| 39 | ― | BWallis17 | 85.4 | Jonas Vingegaard | 2 |
| 40 | ― | juraj_is_better | 85 | Jonas Vingegaard | 2 |
| 41 | ― | Mattho | 84.7 | Mathieu van der Poel | 3 |
| 42 | ― | kjjjz | 82.5 | Jai Hindley | 3 |
| 43 | ― | Mjkittens | 78.3 | Tadej Pogacar | 2 |
| 44 | ― | Solesticio | 77.5 | Joao Almeida | 2 |
| 44 | ― | spkr4thedead51 | 77.5 | Joao Almeida | 2 |
| 46 | ― | moipaslui | 75.9 | Valentin Madouas | 5 |
| 47 | ― | VeggieLegs21 | 75.7 | Kévin Vauquelin | 2 |
| 48 | ― | masterpierround | 73.3 | Tadej Pogacar | 2 |
| 49 | ― | Eyeconoclastic | 73 | Dylan van Baarle | 2 |
| 50 | ― | BSantos57 | 65.3 | Aleksandr Vlasov | 2 |
| 51 | ― | alpal2214 | 64.4 | Neilson Powless | 2 |
| 52 | ― | Mattxps | 64.3 | Tadej Pogacar | 2 |
| 53 | ― | bassmanyoowan | 61.7 | Pello Bilbao | 2 |
| 54 | ― | unicornsandkittens | 61 | Matteo Jorgenson | 2 |
| 55 | ― | detestrian | 60.7 | Remco Evenepoel | 2 |
| 56 | ― | mcrorigan | 60 | Pedro Lopez Juan | 2 |
| 57 | ― | narlano | 53.7 | Jonas Vingegaard | 2 |
| 58 | ― | rjbman | 48.7 | Neilson Powless | 2 |
| 60 | ― | HalfRust | 47.6 | Valentin Madouas | 2 |
| 61 | ― | Tuttle_not_Buttle | 45.7 | Tadej Pogacar | 2 |
| 62 | ― | markp88 | 45.6 | Wout van Aert | 2 |
| 63 | ― | Sappert | 40 | Romain Bardet | 2 |
| 64 | ― | Miserable_Hour | 38.9 | Valentin Madouas | 2 |
| 65 | ― | MrR2D | 36.6 | Neilson Powless | 2 |
| 66 | ― | Checktaschu | 34.1 | Wout van Aert | 2 |
| 67 | ― | mcbirk | 30 | Matej Mohoric | 2 |
| 68 | ― | nahgoe16 | 28 | Quentin Pacher | 2 |
| 69 | ― | Salty-Level | 27.9 | Valentin Madouas | 2 |
| 70 | ― | MacJokic | 26.4 | Ion Izagirre | 2 |
| 71 | ― | ser-seaworth | 18 | Guillaume Martin | 2 |
| 72 | ― | MadnessBeliever | 11.6 | Daniel Martinez | 2 |
| 73 | ― | burden321 | 6.1 | Remi Cavagna | 2 |
Back to TopSymbols
✴ Qualified for the leaderboard in the latest raceEligibility
Only successful picks are counted.
Must score points with one rider in a minimum of two races
Race Name
Single Rider Fantasy League 2024
Entries
Players
A total of ## players entered:
| User | Pick | Base | Bonus | Score |
|---|---|---|---|---|
| dashk97 | Sepp Kuss | 156 | 126 | 282 |
Riders
A total of ## riders were picked:
| Rank | Rider | Picks | Base | Bonus |
|---|---|---|---|---|
| 1 | Jonas Vingegaard | 9 | 600 | 0 |
Il Lombardia
Single Rider Fantasy League 2023
Results
Players
A total of 41 players entered:
| User | Pick | Base | Bonus | Score |
|---|---|---|---|---|
| Norskov | Andreas Kron | 91 | 84 | 175 |
| nahgoe16 | Lorenzo Fortunato | 45 | 45 | 90 |
| RaylanGivens8 | Aleksandr Vlasov | 87.5 | 0 | 87.5 |
| the_ginger27 | Aleksandr Vlasov | 87.5 | 0 | 87.5 |
| fewfiet | Tadej Pogacar | 70 | 0 | 70 |
| Seabhac7 | Tadej Pogacar | 70 | 0 | 70 |
| ssfoxx27 | Tadej Pogacar | 70 | 0 | 70 |
| VeggieLegs21 | Tadej Pogacar | 70 | 0 | 70 |
| vrobrolf | Tadej Pogacar | 70 | 0 | 70 |
| MrR2D | Carlos Rodriguez | 63 | 0 | 63 |
| Tuttle_not_Buttle | Carlos Rodriguez | 63 | 0 | 63 |
| aidikay | Primoz Roglic | 52.5 | 0 | 52.5 |
| DorHarris | Primoz Roglic | 52.5 | 0 | 52.5 |
| Gta352 | Primoz Roglic | 52.5 | 0 | 52.5 |
| Positive_Ad2228 | Primoz Roglic | 52.5 | 0 | 52.5 |
| iamczecksy | Remco Evenepoel | 50.5 | 0 | 50.5 |
| yellow52 | Remco Evenepoel | 50.5 | 0 | 50.5 |
| arne-b | Rui Costa | 35 | 0 | 35 |
| paaulo | Rui Costa | 35 | 0 | 35 |
| BSantos57 | Richard Carapaz | 28 | 0 | 28 |
| CudoLanda | Richard Carapaz | 28 | 0 | 28 |
| Kryziven | Richard Carapaz | 28 | 0 | 28 |
| Xcpa9 | Richard Carapaz | 28 | 0 | 28 |
| andytheciderman | Marc Hirschi | 21 | 0 | 21 |
| Perlut | Marc Hirschi | 21 | 0 | 21 |
| Stanyer | Ben Healy | 4 | 4 | 8 |
| AwakenTheBacon_ | Ben O'Connor | 0 | 0 | 0 |
| BWallis17 | Ben O'Connor | 0 | 0 | 0 |
| f1phoenix | Ben O'Connor | 0 | 0 | 0 |
| mcrorigan | Enric Mas | 0 | 0 | 0 |
| Joder-tio | Ilan Van Wilder | 0 | 0 | 0 |
| Lxnnox | Jai Hindley | 0 | 0 | 0 |
| ZBGT | Magnus Sheffield | 0 | 0 | 0 |
| Divergee5 | Mikel Landa | 0 | 0 | 0 |
| GmckAgar | Mikel Landa | 0 | 0 | 0 |
| Judas_Bishop | Mikel Landa | 0 | 0 | 0 |
| Zeckesan | Mikel Landa | 0 | 0 | 0 |
| JDdieSonne | Pavel Sivakov | 0 | 0 | 0 |
| bassmanyoowan | Santiago Buitrago | 0 | 0 | 0 |
| Eyeconoclastic | Thibaut Pinot | 0 | 0 | 0 |
| paulindy2000 | Thibaut Pinot | 0 | 0 | 0 |
Riders
The Top 30 finishers were:
| Rank | Rider | Picks | Base | Bonus |
|---|---|---|---|---|
| 1 | Tadej Pogacar | 5 | 350 | 0 |
| 2 | Andrea Bagioli | 0 | 280 | 0 |
| 3 | Primoz Roglic | 4 | 210 | 0 |
| 4 | Aleksandr Vlasov | 2 | 175 | 0 |
| 5 | Simon Yates | 0 | 158 | 0 |
| 6 | Adam Yates | 0 | 140 | 0 |
| 7 | Carlos Rodriguez | 2 | 126 | 0 |
| 8 | Richard Carapaz | 4 | 112 | 0 |
| 9 | Remco Evenepoel | 2 | 101 | 0 |
| 10 | Andreas Kron | 1 | 91 | 84 |
| 11 | Romain Bardet | 0 | 84 | 0 |
| 12 | Michael Woods | 0 | 78 | 0 |
| 13 | Rui Costa | 2 | 70 | 0 |
| 14 | Maxim Van Gils | 0 | 62 | 0 |
| 15 | Nick Schultz | 0 | 56 | 0 |
| 16 | Clément Berthet | 0 | 52 | 0 |
| 17 | Chris Harper | 0 | 48 | 0 |
| 18 | Lorenzo Fortunato | 1 | 45 | 45 |
| 19 | Marc Hirschi | 2 | 42 | 0 |
| 20 | Fausto Masnada | 0 | 39 | 0 |
| 21 | Antonio Tiberi | 0 | 35 | 0 |
| 22 | Attila Valter | 0 | 32 | 0 |
| 23 | Matteo Jorgenson | 0 | 28 | 0 |
| 24 | Warren Barguil | 0 | 25 | 0 |
| 25 | Rafal Majka | 0 | 21 | 0 |
| 26 | Clément Champoussin | 0 | 18 | 0 |
| 27 | Valentin Madouas | 0 | 14 | 0 |
| 28 | Davide Piganzoli | 0 | 10 | 0 |
| 29 | Stefano Oldani | 0 | 8 | 0 |
| 30 | Ben Healy | 1 | 4 | 4 |
Tour of Guangxi
Single Rider Fantasy League 2023
Results
Players
A total of 25 players entered:
| User | Pick | Base | Bonus | Score |
|---|---|---|---|---|
| paulindy2000 | Rémy Rochas | 160 | 58 | 218 |
| Joder-tio | Ethan Hayter | 120 | 56 | 176 |
| iamczecksy | Hugh Carthy | 100 | 54 | 154 |
| Eyeconoclastic | David Peña Jesus | 64 | 46 | 110 |
| paaulo | Sylvain Moniquet | 52 | 42 | 94 |
| BSantos57 | Oscar Onley | 48 | 40 | 88 |
| MacJokic | Jhonnatan Narvaez | 28 | 28 | 56 |
| RaylanGivens8 | Rigoberto Uran | 24 | 24 | 48 |
| nahgoe16 | Rainer Kepplinger | 20 | 20 | 40 |
| BWallis17 | Tim Wellens | 30 | 0 | 30 |
| fewfiet | Tim Wellens | 30 | 0 | 30 |
| vrobrolf | Tim Wellens | 30 | 0 | 30 |
| AwakenTheBacon_ | Felix Großschartner | 29 | 0 | 29 |
| Seabhac7 | Felix Großschartner | 29 | 0 | 29 |
| Norskov | Asbjørn Hellemose | 14 | 14 | 28 |
| Gta352 | Steven Kruijswijk | 12 | 12 | 24 |
| Divergee5 | Matteo Jorgenson | 14.4 | 0 | 14.4 |
| Positive_Ad2228 | Matteo Jorgenson | 14.4 | 0 | 14.4 |
| ssfoxx27 | Matteo Jorgenson | 14.4 | 0 | 14.4 |
| Stanyer | Matteo Jorgenson | 14.4 | 0 | 14.4 |
| Xcpa9 | Matteo Jorgenson | 14.4 | 0 | 14.4 |
| f1phoenix | Andreas Leknessund | 0 | 0 | 0 |
| vbarrielle | Andreas Leknessund | 0 | 0 | 0 |
| ZBGT | Ivan Sosa | 0 | 0 | 0 |
| CudoLanda | Sebastian Berwick | 0 | 0 | 0 |
Riders
The Top 30 finishers were:
| Rank | Rider | Picks | Base | Bonus |
|---|---|---|---|---|
| 1 | Milan Vader | 0 | 200 | 0 |
| 2 | Rémy Rochas | 1 | 160 | 58 |
| 3 | Ethan Hayter | 1 | 120 | 56 |
| 4 | Hugh Carthy | 1 | 100 | 54 |
| 5 | Tim Wellens | 3 | 90 | 0 |
| 6 | Louis Barré | 0 | 80 | 0 |
| 7 | Matteo Jorgenson | 5 | 72 | 0 |
| 8 | David Peña Jesus | 1 | 64 | 46 |
| 9 | Felix Großschartner | 2 | 58 | 0 |
| 10 | Sylvain Moniquet | 1 | 52 | 42 |
| 11 | Oscar Onley | 1 | 48 | 40 |
| 12 | Axel Mariault | 0 | 44 | 0 |
| 13 | Ruben Fernandez | 0 | 40 | 0 |
| 14 | Giovanni Aleotti | 0 | 36 | 0 |
| 15 | Leo Hayter | 0 | 32 | 0 |
| 16 | Cristian Rodriguez | 0 | 30 | 0 |
| 17 | Jhonnatan Narvaez | 1 | 28 | 28 |
| 18 | Erik Bystrøm Sven | 0 | 26 | 0 |
| 19 | Rigoberto Uran | 1 | 24 | 24 |
| 20 | Filippo Baroncini | 0 | 22 | 0 |
| 21 | Rainer Kepplinger | 1 | 20 | 20 |
| 22 | Esteban Chaves | 0 | 18 | 0 |
| 23 | Yannis Voisard | 0 | 16 | 0 |
| 24 | Asbjørn Hellemose | 1 | 14 | 14 |
| 25 | Steven Kruijswijk | 1 | 12 | 12 |
| 26 | Thomas Champion | 0 | 10 | 0 |
| 27 | Omer Goldstein | 0 | 8 | 0 |
| 28 | Rudy Porter | 0 | 6 | 0 |
| 29 | Juri Hollmann | 0 | 4 | 0 |
| 30 | Maximilian Schachmann | 0 | 2 | 0 |
Bretagne Classic
Single Rider Fantasy League 2023
Results
Players
A total of 41 players entered:
| User | Pick | Base | Bonus | Score |
|---|---|---|---|---|
| Tuttle_not_Buttle | Valentin Madouas | 60 | 0 | 60 |
| vbarrielle | Valentin Madouas | 60 | 0 | 60 |
| ZBGT | Matis Louvel | 23 | 16 | 39 |
| Goutye | Stefan Küng | 34 | 0 | 34 |
| Stanyer | Stefan Küng | 34 | 0 | 34 |
| CudoLanda | Marc Hirschi | 27 | 0 | 27 |
| yellow52 | Marc Hirschi | 27 | 0 | 27 |
| JDdieSonne | Tiesj Benoot | 24 | 0 | 24 |
| Positive_Ad2228 | Tiesj Benoot | 24 | 0 | 24 |
| nahgoe16 | Quentin Pacher | 9 | 9 | 18 |
| AwakenTheBacon_ | Michael Matthews | 15 | 0 | 15 |
| paaulo | Michael Matthews | 15 | 0 | 15 |
| BSantos57 | Alex Aranburu | 5.3 | 0 | 5.3 |
| burden321 | Alex Aranburu | 5.3 | 0 | 5.3 |
| f1phoenix | Alex Aranburu | 5.3 | 0 | 5.3 |
| Zeckesan | Alex Aranburu | 5.3 | 0 | 5.3 |
| MacJokic | Alberto Bettiol | 0 | 0 | 0 |
| MrR2D | Alberto Bettiol | 0 | 0 | 0 |
| arne-b | Alexander Kamp | 0 | 0 | 0 |
| KhaledHisham_22 | Arnaud De Lie | 0 | 0 | 0 |
| Sappert | Ben Healy | 0 | 0 | 0 |
| Seabhac7 | Ben Healy | 0 | 0 | 0 |
| BWallis17 | Brandon McNulty | 0 | 0 | 0 |
| aidikay | Christophe Laporte | 0 | 0 | 0 |
| DorHarris | Christophe Laporte | 0 | 0 | 0 |
| paulindy2000 | Christophe Laporte | 0 | 0 | 0 |
| RaylanGivens8 | Christophe Laporte | 0 | 0 | 0 |
| Xcpa9 | Christophe Laporte | 0 | 0 | 0 |
| alpal2214 | Ethan Hayter | 0 | 0 | 0 |
| Lxnnox | Jai Hindley | 0 | 0 | 0 |
| Judas_Bishop | Jake Stewart | 0 | 0 | 0 |
| GmckAgar | Jasper Stuyven | 0 | 0 | 0 |
| iamczecksy | Jasper Stuyven | 0 | 0 | 0 |
| Norskov | Kragh Andersen Søren | 0 | 0 | 0 |
| Divergee5 | Mads Pedersen | 0 | 0 | 0 |
| Perlut | Mads Pedersen | 0 | 0 | 0 |
| ssfoxx27 | Mads Pedersen | 0 | 0 | 0 |
| fewfiet | Mathieu van der Poel | 0 | 0 | 0 |
| Gta352 | Mathieu van der Poel | 0 | 0 | 0 |
| Mattxps | Mathieu van der Poel | 0 | 0 | 0 |
| Eyeconoclastic | Michal Kwiatkowski | 0 | 0 | 0 |
Riders
The Top 30 finishers were:
| Rank | Rider | Picks | Base | Bonus |
|---|---|---|---|---|
| 1 | Valentin Madouas | 2 | 120 | 0 |
| 2 | Mathieu Burgaudeau | 0 | 90 | 0 |
| 3 | Felix Großschartner | 0 | 75 | 0 |
| 4 | Stefan Küng | 2 | 68 | 0 |
| 5 | Jasper De Buyst | 0 | 60 | 0 |
| 6 | Marc Hirschi | 2 | 54 | 0 |
| 7 | Tiesj Benoot | 2 | 48 | 0 |
| 8 | Frederik Wandahl | 0 | 44 | 0 |
| 9 | Elia Viviani | 0 | 39 | 0 |
| 10 | Sandy Dujardin | 0 | 36 | 0 |
| 11 | Owain Doull | 0 | 33 | 0 |
| 12 | Michael Matthews | 2 | 30 | 0 |
| 13 | Corbin Strong | 0 | 27 | 0 |
| 14 | John Degenkolb | 0 | 25 | 0 |
| 15 | Matis Louvel | 1 | 23 | 16 |
| 16 | Alex Aranburu | 4 | 21 | 0 |
| 17 | Tim van Dijke | 0 | 19 | 0 |
| 18 | Matteo Trentin | 0 | 17 | 0 |
| 19 | Florian Vermeersch | 0 | 15 | 0 |
| 20 | Daan Hoole | 0 | 13 | 0 |
| 21 | Alexis Guérin | 0 | 11 | 0 |
| 22 | Quentin Pacher | 1 | 9 | 9 |
| 23 | Aimé De Gendt | 0 | 8 | 0 |
| 24 | Julien Simon | 0 | 7 | 0 |
| 25 | Guillaume Martin | 0 | 6 | 0 |
| 26 | Olivier Le Gac | 0 | 5 | 0 |
| 27 | Benoît Cosnefroy | 0 | 4 | 0 |
| 28 | Simone Velasco | 0 | 3 | 0 |
| 29 | Fabien Grellier | 0 | 2 | 0 |
| 30 | Julian Alaphilippe | 0 | 1 | 0 |
La Vuelta a España
Single Rider Fantasy League 2023
Results
Players
A total of 61 players entered:
| User | Pick | Base | Bonus | Score |
|---|---|---|---|---|
| DerpTrain | Sepp Kuss | 500 | 150 | 650 |
| Norskov | Cian Uijtdebroeks | 160 | 115 | 275 |
| alpal2214 | Joao Almeida | 145 | 110 | 255 |
| LJSchoppert | Einer Rubio | 75 | 75 | 150 |
| Divergee5 | Jonas Vingegaard | 100 | 0 | 100 |
| fewfiet | Jonas Vingegaard | 100 | 0 | 100 |
| funeflugt | Jonas Vingegaard | 100 | 0 | 100 |
| Thomas1VL | Jonas Vingegaard | 100 | 0 | 100 |
| paulindy2000 | Romain Bardet | 50 | 50 | 100 |
| vbarrielle | Lenny Martinez | 35 | 35 | 70 |
| arne-b | Enric Mas | 66.7 | 0 | 66.7 |
| BWallis17 | Enric Mas | 66.7 | 0 | 66.7 |
| Mattxps | Enric Mas | 66.7 | 0 | 66.7 |
| Eyeconoclastic | Santiago Buitrago | 65 | 0 | 65 |
| KhaledHisham_22 | Santiago Buitrago | 65 | 0 | 65 |
| GmckAgar | Juan Ayuso | 62.5 | 0 | 62.5 |
| Perlut | Juan Ayuso | 62.5 | 0 | 62.5 |
| Xcpa9 | Juan Ayuso | 62.5 | 0 | 62.5 |
| yellow52 | Juan Ayuso | 62.5 | 0 | 62.5 |
| BSantos57 | Aleksandr Vlasov | 45 | 0 | 45 |
| burden321 | Aleksandr Vlasov | 45 | 0 | 45 |
| Esopius | Aleksandr Vlasov | 45 | 0 | 45 |
| Zeckesan | Aleksandr Vlasov | 45 | 0 | 45 |
| Judas_Bishop | Steff Cras | 40 | 0 | 40 |
| ssfoxx27 | Steff Cras | 40 | 0 | 40 |
| the_ginger27 | Steff Cras | 40 | 0 | 40 |
| aidikay | Primoz Roglic | 37.5 | 0 | 37.5 |
| andytheciderman | Primoz Roglic | 37.5 | 0 | 37.5 |
| DorHarris | Primoz Roglic | 37.5 | 0 | 37.5 |
| Gta352 | Primoz Roglic | 37.5 | 0 | 37.5 |
| lazyfck | Primoz Roglic | 37.5 | 0 | 37.5 |
| Positive_Ad2228 | Primoz Roglic | 37.5 | 0 | 37.5 |
| RaylanGivens8 | Primoz Roglic | 37.5 | 0 | 37.5 |
| Wateroski | Primoz Roglic | 37.5 | 0 | 37.5 |
| detestrian | Remco Evenepoel | 36.7 | 0 | 36.7 |
| iamczecksy | Remco Evenepoel | 36.7 | 0 | 36.7 |
| YourBeneluxOverlords | Remco Evenepoel | 36.7 | 0 | 36.7 |
| MacJokic | Damiano Caruso | 30 | 0 | 30 |
| Mjkittens | Damiano Caruso | 30 | 0 | 30 |
| Sappert | Hugh Carthy | 20 | 0 | 20 |
| ZBGT | Hugh Carthy | 20 | 0 | 20 |
| ULhothot | Andrea Piccolo | 0 | 0 | 0 |
| bassmanyoowan | Edward Dunbar | 0 | 0 | 0 |
| f1phoenix | Edward Dunbar | 0 | 0 | 0 |
| JDdieSonne | Edward Dunbar | 0 | 0 | 0 |
| MrR2D | Edward Dunbar | 0 | 0 | 0 |
| Seabhac7 | Edward Dunbar | 0 | 0 | 0 |
| Solesticio | Edward Dunbar | 0 | 0 | 0 |
| Tuttle_not_Buttle | Edward Dunbar | 0 | 0 | 0 |
| VeggieLegs21 | Edward Dunbar | 0 | 0 | 0 |
| mcrorigan | Egan Bernal | 0 | 0 | 0 |
| Stanyer | Filippo Zana | 0 | 0 | 0 |
| AwakenTheBacon_ | Geraint Thomas | 0 | 0 | 0 |
| Joder-tio | Jonathan Castroviejo | 0 | 0 | 0 |
| paaulo | Lennert Van Eetvelt | 0 | 0 | 0 |
| Equal_Satisfaction_2 | Max Poole | 0 | 0 | 0 |
| Goutye | Michael Storer | 0 | 0 | 0 |
| vrobrolf | Rein Taaramäe | 0 | 0 | 0 |
| bdrammel | Thymen Arensman | 0 | 0 | 0 |
| Lxnnox | Thymen Arensman | 0 | 0 | 0 |
| narlano | Thymen Arensman | 0 | 0 | 0 |
Riders
The Top 30 finishers were:
| Rank | Rider | Picks | Base | Bonus |
|---|---|---|---|---|
| 1 | Sepp Kuss | 1 | 500 | 150 |
| 2 | Jonas Vingegaard | 4 | 400 | 0 |
| 3 | Primoz Roglic | 8 | 300 | 0 |
| 4 | Juan Ayuso | 4 | 250 | 0 |
| 5 | Mikel Landa | 0 | 225 | 0 |
| 6 | Enric Mas | 3 | 200 | 0 |
| 7 | Aleksandr Vlasov | 4 | 180 | 0 |
| 8 | Cian Uijtdebroeks | 1 | 160 | 115 |
| 9 | Joao Almeida | 1 | 145 | 110 |
| 10 | Santiago Buitrago | 2 | 130 | 0 |
| 11 | Steff Cras | 3 | 120 | 0 |
| 12 | Remco Evenepoel | 3 | 110 | 0 |
| 13 | Cristian Rodriguez | 0 | 100 | 0 |
| 14 | Marc Soler | 0 | 90 | 0 |
| 15 | Wout Poels | 0 | 80 | 0 |
| 16 | Einer Rubio | 1 | 75 | 75 |
| 17 | Pedro Lopez Juan | 0 | 70 | 0 |
| 18 | Antonio Tiberi | 0 | 65 | 0 |
| 19 | Damiano Caruso | 2 | 60 | 0 |
| 20 | Emanuel Buchmann | 0 | 55 | 0 |
| 21 | Romain Bardet | 1 | 50 | 50 |
| 22 | Attila Valter | 0 | 45 | 0 |
| 23 | Hugh Carthy | 2 | 40 | 0 |
| 24 | Lenny Martinez | 1 | 35 | 35 |
| 25 | Wilco Kelderman | 0 | 30 | 0 |
| 26 | Paul Ourselin | 0 | 25 | 0 |
| 27 | Nicolas Prodhomme | 0 | 20 | 0 |
| 28 | Rémy Rochas | 0 | 15 | 0 |
| 29 | Rudy Molard | 0 | 10 | 0 |
| 30 | Lennard Kämna | 0 | 5 | 0 |
GP Montréal
Single Rider Fantasy League 2023
Results
Players
A total of 38 players entered:
| User | Pick | Base | Bonus | Score |
|---|---|---|---|---|
| VeggieLegs21 | Adam Yates | 120 | 30 | 150 |
| andytheciderman | Alex Aranburu | 75 | 28 | 103 |
| MrR2D | Simon Yates | 54 | 25 | 79 |
| Positive_Ad2228 | Ben O'Connor | 48 | 24 | 72 |
| Perlut | Marc Hirschi | 36 | 21 | 57 |
| Gta352 | Brandon McNulty | 27 | 18 | 45 |
| fewfiet | Mattias Skjelmose | 19.5 | 0 | 19.5 |
| ssfoxx27 | Mattias Skjelmose | 19.5 | 0 | 19.5 |
| Seabhac7 | Matteo Jorgenson | 7 | 7 | 14 |
| BSantos57 | Valentin Madouas | 11.3 | 0 | 11.3 |
| CudoLanda | Valentin Madouas | 11.3 | 0 | 11.3 |
| DorHarris | Valentin Madouas | 11.3 | 0 | 11.3 |
| Goutye | Valentin Madouas | 11.3 | 0 | 11.3 |
| paulindy2000 | Valentin Madouas | 11.3 | 0 | 11.3 |
| vbarrielle | Valentin Madouas | 11.3 | 0 | 11.3 |
| burden321 | Benoît Cosnefroy | 4 | 4 | 8 |
| Mjkittens | Christophe Laporte | 3 | 3 | 6 |
| Divergee5 | Pello Bilbao | 2 | 2 | 4 |
| Lxnnox | Michael Matthews | 2.5 | 0 | 2.5 |
| Zeckesan | Michael Matthews | 2.5 | 0 | 2.5 |
| ZBGT | Jai Hindley | 1 | 1 | 2 |
| paaulo | Alexander Kamp | 0 | 0 | 0 |
| f1phoenix | Axel Zingle | 0 | 0 | 0 |
| vrobrolf | Axel Zingle | 0 | 0 | 0 |
| nahgoe16 | Clément Champoussin | 0 | 0 | 0 |
| alpal2214 | Derek Gee | 0 | 0 | 0 |
| Norskov | Frederik Wandahl | 0 | 0 | 0 |
| Judas_Bishop | Greg Van Avermaet | 0 | 0 | 0 |
| BWallis17 | Ilan Van Wilder | 0 | 0 | 0 |
| JDdieSonne | Ilan Van Wilder | 0 | 0 | 0 |
| RaylanGivens8 | Neilson Powless | 0 | 0 | 0 |
| Stanyer | Neilson Powless | 0 | 0 | 0 |
| Xcpa9 | Neilson Powless | 0 | 0 | 0 |
| arne-b | Quinten Hermans | 0 | 0 | 0 |
| AwakenTheBacon_ | Toms Skujins | 0 | 0 | 0 |
| Sappert | Toms Skujins | 0 | 0 | 0 |
| Tuttle_not_Buttle | Toms Skujins | 0 | 0 | 0 |
| Eyeconoclastic | Victor Lafay | 0 | 0 | 0 |
Riders
The Top 30 finishers were:
| Rank | Rider | Picks | Base | Bonus |
|---|---|---|---|---|
| 1 | Adam Yates | 1 | 120 | 30 |
| 2 | Pavel Sivakov | 0 | 90 | 0 |
| 3 | Alex Aranburu | 1 | 75 | 28 |
| 4 | Valentin Madouas | 6 | 68 | 0 |
| 5 | Simone Velasco | 0 | 60 | 0 |
| 6 | Simon Yates | 1 | 54 | 25 |
| 7 | Ben O'Connor | 1 | 48 | 24 |
| 8 | Ion Izagirre | 0 | 44 | 0 |
| 9 | Mattias Skjelmose | 2 | 39 | 0 |
| 10 | Marc Hirschi | 1 | 36 | 21 |
| 11 | Tiesj Benoot | 0 | 33 | 0 |
| 12 | Julian Alaphilippe | 0 | 30 | 0 |
| 13 | Brandon McNulty | 1 | 27 | 18 |
| 14 | Guillaume Martin | 0 | 25 | 0 |
| 15 | Michael Woods | 0 | 23 | 0 |
| 16 | Giovanni Aleotti | 0 | 21 | 0 |
| 17 | Lorenzo Rota | 0 | 19 | 0 |
| 18 | Matej Mohoric | 0 | 17 | 0 |
| 19 | Quentin Pacher | 0 | 15 | 0 |
| 20 | Kevin Vermaerke | 0 | 13 | 0 |
| 21 | Warren Barguil | 0 | 11 | 0 |
| 22 | Mauri Vansevenant | 0 | 9 | 0 |
| 23 | Fausto Masnada | 0 | 8 | 0 |
| 24 | Matteo Jorgenson | 1 | 7 | 7 |
| 25 | Ben Healy | 0 | 6 | 0 |
| 26 | Michael Matthews | 2 | 5 | 0 |
| 27 | Benoît Cosnefroy | 1 | 4 | 4 |
| 28 | Christophe Laporte | 1 | 3 | 3 |
| 29 | Pello Bilbao | 1 | 2 | 2 |
| 30 | Jai Hindley | 1 | 1 | 1 |
GP Québec
Single Rider Fantasy League 2023
Results
Players
A total of 39 players entered:
| User | Pick | Base | Bonus | Score |
|---|---|---|---|---|
| CudoLanda | Marc Hirschi | 44 | 23 | 67 |
| fewfiet | Arnaud De Lie | 60 | 0 | 60 |
| Positive_Ad2228 | Arnaud De Lie | 60 | 0 | 60 |
| Norskov | Mattias Skjelmose | 36 | 21 | 57 |
| vrobrolf | Axel Zingle | 33 | 20 | 53 |
| Judas_Bishop | Victor Lafay | 30 | 19 | 49 |
| RaylanGivens8 | Quinten Hermans | 27 | 18 | 45 |
| ZBGT | Matis Louvel | 21 | 15 | 36 |
| Zeckesan | Adam Yates | 19 | 14 | 33 |
| Stanyer | Neilson Powless | 13 | 11 | 24 |
| BSantos57 | Michael Matthews | 18.8 | 0 | 18.8 |
| Gta352 | Michael Matthews | 18.8 | 0 | 18.8 |
| Kryziven | Michael Matthews | 18.8 | 0 | 18.8 |
| VeggieLegs21 | Michael Matthews | 18.8 | 0 | 18.8 |
| DorHarris | Christophe Laporte | 18 | 0 | 18 |
| Mjkittens | Christophe Laporte | 18 | 0 | 18 |
| Perlut | Christophe Laporte | 18 | 0 | 18 |
| nahgoe16 | Quentin Pacher | 5 | 5 | 10 |
| AwakenTheBacon_ | Toms Skujins | 1 | 0 | 1 |
| Sappert | Toms Skujins | 1 | 0 | 1 |
| ssfoxx27 | Toms Skujins | 1 | 0 | 1 |
| Joder-tio | Biniam Girmay | 0 | 0 | 0 |
| alpal2214 | Derek Gee | 0 | 0 | 0 |
| arne-b | Hugo Houle | 0 | 0 | 0 |
| BWallis17 | Hugo Houle | 0 | 0 | 0 |
| Eyeconoclastic | Hugo Houle | 0 | 0 | 0 |
| Lxnnox | Jai Hindley | 0 | 0 | 0 |
| MacJokic | Matteo Jorgenson | 0 | 0 | 0 |
| Seabhac7 | Matteo Jorgenson | 0 | 0 | 0 |
| andytheciderman | Mauro Schmid | 0 | 0 | 0 |
| Tuttle_not_Buttle | Pello Bilbao | 0 | 0 | 0 |
| GmckAgar | Simon Clarke | 0 | 0 | 0 |
| burden321 | Tiesj Benoot | 0 | 0 | 0 |
| f1phoenix | Tiesj Benoot | 0 | 0 | 0 |
| JDdieSonne | Tim Wellens | 0 | 0 | 0 |
| Goutye | Valentin Madouas | 0 | 0 | 0 |
| paulindy2000 | Valentin Madouas | 0 | 0 | 0 |
| vbarrielle | Valentin Madouas | 0 | 0 | 0 |
Riders
The Top 30 finishers were:
| Rank | Rider | Picks | Base | Bonus |
|---|---|---|---|---|
| 1 | Arnaud De Lie | 2 | 120 | 0 |
| 2 | Corbin Strong | 0 | 90 | 0 |
| 3 | Michael Matthews | 4 | 75 | 0 |
| 4 | Alex Aranburu | 0 | 68 | 0 |
| 5 | Matej Mohoric | 0 | 60 | 0 |
| 6 | Christophe Laporte | 3 | 54 | 0 |
| 7 | Alexander Kamp | 0 | 48 | 0 |
| 8 | Marc Hirschi | 1 | 44 | 23 |
| 9 | Julian Alaphilippe | 0 | 39 | 0 |
| 10 | Mattias Skjelmose | 1 | 36 | 21 |
| 11 | Axel Zingle | 1 | 33 | 20 |
| 12 | Victor Lafay | 1 | 30 | 19 |
| 13 | Quinten Hermans | 1 | 27 | 18 |
| 14 | Mike Teunissen | 0 | 25 | 0 |
| 15 | Kristian Sbaragli | 0 | 23 | 0 |
| 16 | Matis Louvel | 1 | 21 | 15 |
| 17 | Adam Yates | 1 | 19 | 14 |
| 18 | Diego Ulissi | 0 | 17 | 0 |
| 19 | Clément Champoussin | 0 | 15 | 0 |
| 20 | Neilson Powless | 1 | 13 | 11 |
| 21 | Kevin Vermaerke | 0 | 11 | 0 |
| 22 | Stefano Oldani | 0 | 9 | 0 |
| 23 | Simone Velasco | 0 | 8 | 0 |
| 24 | Warren Barguil | 0 | 7 | 0 |
| 25 | Owain Doull | 0 | 6 | 0 |
| 26 | Quentin Pacher | 1 | 5 | 5 |
| 27 | Giovanni Aleotti | 0 | 4 | 0 |
| 28 | Toms Skujins | 3 | 3 | 0 |
| 29 | Guillaume Martin | 0 | 2 | 0 |
| 30 | Eddy Finé | 0 | 1 | 0 |
Renewi Tour
Single Rider Fantasy League 2023
Results
Players
A total of 30 players entered:
| User | Pick | Base | Bonus | Score |
|---|---|---|---|---|
| vrobrolf | Florian Vermeersch | 160 | 58 | 218 |
| Zeckesan | Jasper Stuyven | 100 | 54 | 154 |
| iamczecksy | Mike Teunissen | 90 | 52 | 142 |
| Sappert | Tim Wellens | 100 | 0 | 100 |
| the_ginger27 | Tim Wellens | 100 | 0 | 100 |
| BWallis17 | Yves Lampaert | 60 | 0 | 60 |
| JDdieSonne | Yves Lampaert | 60 | 0 | 60 |
| andytheciderman | Matej Mohoric | 16 | 0 | 16 |
| fewfiet | Matej Mohoric | 16 | 0 | 16 |
| mcrorigan | Matej Mohoric | 16 | 0 | 16 |
| Positive_Ad2228 | Matej Mohoric | 16 | 0 | 16 |
| Tuttle_not_Buttle | Matej Mohoric | 16 | 0 | 16 |
| Gta352 | Tobias Foss | 4 | 0 | 4 |
| KhaledHisham_22 | Tobias Foss | 4 | 0 | 4 |
| nahgoe16 | Alexis Renard | 0 | 0 | 0 |
| Stanyer | Arnaud Démare | 0 | 0 | 0 |
| arne-b | Daan Hoole | 0 | 0 | 0 |
| paaulo | Derek Gee | 0 | 0 | 0 |
| f1phoenix | Fred Wright | 0 | 0 | 0 |
| Mattxps | Jasper Philipsen | 0 | 0 | 0 |
| Checktaschu | Joshua Tarling | 0 | 0 | 0 |
| Judas_Bishop | Joshua Tarling | 0 | 0 | 0 |
| yellow52 | Joshua Tarling | 0 | 0 | 0 |
| CudoLanda | Kasper Asgreen | 0 | 0 | 0 |
| AwakenTheBacon_ | Luke Durbridge | 0 | 0 | 0 |
| MrR2D | Mick van Dijke | 0 | 0 | 0 |
| Joder-tio | Thibau Nys | 0 | 0 | 0 |
| Goutye | Valentin Madouas | 0 | 0 | 0 |
| paulindy2000 | Valentin Madouas | 0 | 0 | 0 |
| Lxnnox | Vito Braet | 0 | 0 | 0 |
Riders
The Top 30 finishers were:
| Rank | Rider | Picks | Base | Bonus |
|---|---|---|---|---|
| 1 | Tim Wellens | 2 | 200 | 0 |
| 2 | Florian Vermeersch | 1 | 160 | 58 |
| 3 | Yves Lampaert | 2 | 120 | 0 |
| 4 | Jasper Stuyven | 1 | 100 | 54 |
| 5 | Mike Teunissen | 1 | 90 | 52 |
| 6 | Matej Mohoric | 5 | 80 | 0 |
| 7 | Axel Zingle | 0 | 72 | 0 |
| 8 | Matteo Trentin | 0 | 64 | 0 |
| 9 | Marc Hirschi | 0 | 58 | 0 |
| 10 | Søren Kragh Andersen | 0 | 52 | 0 |
| 11 | Michal Kwiatkowski | 0 | 48 | 0 |
| 12 | Mikkel Bjerg | 0 | 44 | 0 |
| 13 | Jasper De Buyst | 0 | 40 | 0 |
| 14 | Sjoerd Bax | 0 | 36 | 0 |
| 15 | Arnaud De Lie | 0 | 32 | 0 |
| 16 | Stan Dewulf | 0 | 30 | 0 |
| 17 | Aimé De Gendt | 0 | 28 | 0 |
| 18 | Florian Sénéchal | 0 | 26 | 0 |
| 19 | Owain Doull | 0 | 24 | 0 |
| 20 | Jonas Rutsch | 0 | 22 | 0 |
| 21 | Matis Louvel | 0 | 20 | 0 |
| 22 | Greg Van Avermaet | 0 | 18 | 0 |
| 23 | Nils Eekhoff | 0 | 16 | 0 |
| 24 | Giacomo Nizzolo | 0 | 14 | 0 |
| 25 | Tim Declercq | 0 | 12 | 0 |
| 26 | Andrey Amador | 0 | 10 | 0 |
| 27 | Tobias Foss | 2 | 8 | 0 |
| 28 | Arne Marit | 0 | 6 | 0 |
| 29 | Giovanni Aleotti | 0 | 4 | 0 |
| 30 | Oliver Naesen | 0 | 2 | 0 |
World Championship Road Time Trial
Single Rider Fantasy League 2023
Results
Players
A total of 54 players entered:
| User | Pick | Base | Bonus | Score |
|---|---|---|---|---|
| ssfoxx27 | Brandon McNulty | 90 | 41 | 131 |
| the_ginger27 | Rohan Dennis | 65 | 36 | 101 |
| Goutye | Stefan Küng | 40 | 29 | 69 |
| Stanyer | Lawson Craddock | 29 | 24 | 53 |
| Divergee5 | Remco Evenepoel | 45 | 0 | 45 |
| fewfiet | Remco Evenepoel | 45 | 0 | 45 |
| iamczecksy | Remco Evenepoel | 45 | 0 | 45 |
| paaulo | Remco Evenepoel | 45 | 0 | 45 |
| aidikay | Filippo Ganna | 36 | 0 | 36 |
| Joder-tio | Filippo Ganna | 36 | 0 | 36 |
| Nussig | Filippo Ganna | 36 | 0 | 36 |
| Thomas1VL | Filippo Ganna | 36 | 0 | 36 |
| BSantos57 | Mattia Cattaneo | 29 | 0 | 29 |
| vrobrolf | Mattia Cattaneo | 29 | 0 | 29 |
| BWallis17 | Joshua Tarling | 21.6 | 0 | 21.6 |
| f1phoenix | Joshua Tarling | 21.6 | 0 | 21.6 |
| Judas_Bishop | Joshua Tarling | 21.6 | 0 | 21.6 |
| Kryziven | Joshua Tarling | 21.6 | 0 | 21.6 |
| Norskov | Joshua Tarling | 21.6 | 0 | 21.6 |
| mcrorigan | Stefan Bissegger | 13.5 | 0 | 13.5 |
| Xcpa9 | Stefan Bissegger | 13.5 | 0 | 13.5 |
| Checktaschu | Wout van Aert | 13.5 | 0 | 13.5 |
| Mastas | Wout van Aert | 13.5 | 0 | 13.5 |
| Positive_Ad2228 | Wout van Aert | 13.5 | 0 | 13.5 |
| Sappert | Wout van Aert | 13.5 | 0 | 13.5 |
| Tuttle_not_Buttle | Wout van Aert | 13.5 | 0 | 13.5 |
| YourBeneluxOverlords | Wout van Aert | 13.5 | 0 | 13.5 |
| andytheciderman | Geraint Thomas | 11.8 | 0 | 11.8 |
| bassmanyoowan | Geraint Thomas | 11.8 | 0 | 11.8 |
| CudoLanda | Geraint Thomas | 11.8 | 0 | 11.8 |
| DerpTrain | Geraint Thomas | 11.8 | 0 | 11.8 |
| JDdieSonne | Lennard Kämna | 11.5 | 0 | 11.5 |
| narlano | Lennard Kämna | 11.5 | 0 | 11.5 |
| arne-b | Bruno Armirail | 10 | 0 | 10 |
| Zeckesan | Bruno Armirail | 10 | 0 | 10 |
| DorHarris | Kasper Asgreen | 8 | 0 | 8 |
| Gta352 | Kasper Asgreen | 8 | 0 | 8 |
| MrR2D | Kasper Asgreen | 8 | 0 | 8 |
| nahgoe16 | Kasper Asgreen | 8 | 0 | 8 |
| Mattxps | Tadej Pogacar | 6 | 0 | 6 |
| RaylanGivens8 | Tadej Pogacar | 6 | 0 | 6 |
| ser-seaworth | Tadej Pogacar | 6 | 0 | 6 |
| D4RK_3LF | Tom Sexton | 3 | 3 | 6 |
| AwakenTheBacon_ | Jay Vine | 2.5 | 0 | 2.5 |
| hossman3000 | Jay Vine | 2.5 | 0 | 2.5 |
| alpal2214 | Remi Cavagna | 1.4 | 0 | 1.4 |
| burden321 | Remi Cavagna | 1.4 | 0 | 1.4 |
| GmckAgar | Remi Cavagna | 1.4 | 0 | 1.4 |
| markp88 | Remi Cavagna | 1.4 | 0 | 1.4 |
| Mjkittens | Remi Cavagna | 1.4 | 0 | 1.4 |
| paulindy2000 | Remi Cavagna | 1.4 | 0 | 1.4 |
| Seabhac7 | Remi Cavagna | 1.4 | 0 | 1.4 |
| ZBGT | Remi Cavagna | 1.4 | 0 | 1.4 |
| Eyeconoclastic | Jos Van Emden | 0 | 0 | 0 |
Riders
The Top 30 finishers were:
| Rank | Rider | Picks | Base | Bonus |
|---|---|---|---|---|
| 1 | Remco Evenepoel | 4 | 180 | 0 |
| 2 | Filippo Ganna | 4 | 144 | 0 |
| 3 | Joshua Tarling | 5 | 108 | 0 |
| 4 | Brandon McNulty | 1 | 90 | 41 |
| 5 | Wout van Aert | 6 | 81 | 0 |
| 6 | Nelson Oliveira | 0 | 72 | 0 |
| 7 | Rohan Dennis | 1 | 65 | 36 |
| 8 | Mattia Cattaneo | 2 | 58 | 0 |
| 9 | Mikkel Bjerg | 0 | 52 | 0 |
| 10 | Geraint Thomas | 4 | 47 | 0 |
| 11 | Tobias Foss | 0 | 43 | 0 |
| 12 | Stefan Küng | 1 | 40 | 29 |
| 13 | Søren Wærenskjold | 0 | 36 | 0 |
| 14 | Kasper Asgreen | 4 | 32 | 0 |
| 15 | Lawson Craddock | 1 | 29 | 24 |
| 16 | Stefan Bissegger | 2 | 27 | 0 |
| 17 | Derek Gee | 0 | 25 | 0 |
| 18 | Lennard Kämna | 2 | 23 | 0 |
| 19 | Ryan Mullen | 0 | 22 | 0 |
| 20 | Bruno Armirail | 2 | 20 | 0 |
| 21 | Tadej Pogacar | 3 | 18 | 0 |
| 22 | Ryan Gibbons | 0 | 16 | 0 |
| 23 | Joao Almeida | 0 | 14 | 0 |
| 24 | Stefan de Bod | 0 | 13 | 0 |
| 25 | Remi Cavagna | 8 | 11 | 0 |
| 26 | Ben Healy | 0 | 9 | 0 |
| 27 | Iver Knotten | 0 | 7 | 0 |
| 28 | Jay Vine | 2 | 5 | 0 |
| 29 | Tom Sexton | 1 | 3 | 3 |
| 30 | Walter Vargas | 0 | 2 | 0 |
World Championship Road Race
Single Rider Fantasy League 2023
Results
Players
A total of 52 players entered:
| User | Pick | Base | Bonus | Score |
|---|---|---|---|---|
| Xcpa9 | Neilson Powless | 84 | 80 | 164 |
| AwakenTheBacon_ | Mattias Skjelmose | 62 | 62 | 124 |
| baat | Mathieu van der Poel | 116.7 | 0 | 116.7 |
| fewfiet | Mathieu van der Poel | 116.7 | 0 | 116.7 |
| Nussig | Mathieu van der Poel | 116.7 | 0 | 116.7 |
| Joder-tio | Tadej Pogacar | 105 | 0 | 105 |
| ssfoxx27 | Tadej Pogacar | 105 | 0 | 105 |
| arne-b | Alex Aranburu | 42 | 42 | 84 |
| Goutye | Stefan Küng | 79 | 0 | 79 |
| mcrorigan | Stefan Küng | 79 | 0 | 79 |
| burden321 | Mads Pedersen | 58.3 | 0 | 58.3 |
| DorHarris | Mads Pedersen | 58.3 | 0 | 58.3 |
| f1phoenix | Mads Pedersen | 58.3 | 0 | 58.3 |
| BWallis17 | Toms Skujins | 56 | 0 | 56 |
| RaylanGivens8 | Toms Skujins | 56 | 0 | 56 |
| D4RK_3LF | Alberto Bettiol | 45.5 | 0 | 45.5 |
| Zeckesan | Alberto Bettiol | 45.5 | 0 | 45.5 |
| Mattxps | Valentin Madouas | 28 | 0 | 28 |
| vbarrielle | Valentin Madouas | 28 | 0 | 28 |
| aidikay | Dylan van Baarle | 13 | 0 | 13 |
| Divergee5 | Dylan van Baarle | 13 | 0 | 13 |
| Eyeconoclastic | Dylan van Baarle | 13 | 0 | 13 |
| MacJokic | Dylan van Baarle | 13 | 0 | 13 |
| narlano | Dylan van Baarle | 13 | 0 | 13 |
| Sappert | Dylan van Baarle | 13 | 0 | 13 |
| paaulo | Iván García Cortina | 4 | 4 | 8 |
| CudoLanda | Remco Evenepoel | 7 | 0 | 7 |
| iamczecksy | Remco Evenepoel | 7 | 0 | 7 |
| Wateroski | Remco Evenepoel | 7 | 0 | 7 |
| Judas_Bishop | Lorenzo Rota | 5 | 0 | 5 |
| Tuttle_not_Buttle | Lorenzo Rota | 5 | 0 | 5 |
| nahgoe16 | Andrea Bagioli | 0 | 0 | 0 |
| Perlut | Ben Healy | 0 | 0 | 0 |
| aidanorion | Christophe Laporte | 0 | 0 | 0 |
| JDdieSonne | Christophe Laporte | 0 | 0 | 0 |
| Kryziven | Christophe Laporte | 0 | 0 | 0 |
| markp88 | Christophe Laporte | 0 | 0 | 0 |
| paulindy2000 | Christophe Laporte | 0 | 0 | 0 |
| vrobrolf | Christophe Laporte | 0 | 0 | 0 |
| VeggieLegs21 | Fred Wright | 0 | 0 | 0 |
| the_ginger27 | Jhonnatan Narvaez | 0 | 0 | 0 |
| MrR2D | Kasper Asgreen | 0 | 0 | 0 |
| Norskov | Kasper Asgreen | 0 | 0 | 0 |
| Positive_Ad2228 | Kasper Asgreen | 0 | 0 | 0 |
| andytheciderman | Marc Hirschi | 0 | 0 | 0 |
| BSantos57 | Marc Hirschi | 0 | 0 | 0 |
| hossman3000 | Marc Hirschi | 0 | 0 | 0 |
| ser-seaworth | Matteo Trentin | 0 | 0 | 0 |
| alpal2214 | Michael Matthews | 0 | 0 | 0 |
| Gta352 | Michael Matthews | 0 | 0 | 0 |
| yellow52 | Michal Kwiatkowski | 0 | 0 | 0 |
| ZBGT | Santiago Buitrago | 0 | 0 | 0 |
Riders
The Top 30 finishers were:
| Rank | Rider | Picks | Base | Bonus |
|---|---|---|---|---|
| 1 | Mathieu van der Poel | 3 | 350 | 0 |
| 2 | Wout van Aert | 0 | 280 | 0 |
| 3 | Tadej Pogacar | 2 | 210 | 0 |
| 4 | Mads Pedersen | 3 | 175 | 0 |
| 5 | Stefan Küng | 2 | 158 | 0 |
| 6 | Jasper Stuyven | 0 | 140 | 0 |
| 7 | Matthew Dinham | 0 | 126 | 0 |
| 8 | Toms Skujins | 2 | 112 | 0 |
| 9 | Tiesj Benoot | 0 | 101 | 0 |
| 10 | Alberto Bettiol | 2 | 91 | 0 |
| 11 | Neilson Powless | 1 | 84 | 80 |
| 12 | Dylan van Baarle | 6 | 78 | 0 |
| 13 | Mauro Schmid | 0 | 70 | 0 |
| 14 | Mattias Skjelmose | 1 | 62 | 62 |
| 15 | Valentin Madouas | 2 | 56 | 0 |
| 16 | John Degenkolb | 0 | 52 | 0 |
| 17 | Rasmus Tiller | 0 | 48 | 0 |
| 18 | Owain Doull | 0 | 45 | 0 |
| 19 | Alex Aranburu | 1 | 42 | 42 |
| 20 | Kevin Vermaerke | 0 | 39 | 0 |
| 21 | Simon Clarke | 0 | 35 | 0 |
| 22 | Patrick Gamper | 0 | 32 | 0 |
| 23 | Krists Neilands | 0 | 28 | 0 |
| 24 | Pavel Kelemen | 0 | 25 | 0 |
| 25 | Remco Evenepoel | 3 | 21 | 0 |
| 26 | Connor Swift | 0 | 18 | 0 |
| 27 | Simone Velasco | 0 | 14 | 0 |
| 28 | Lorenzo Rota | 2 | 10 | 0 |
| 29 | Emils Liepins | 0 | 8 | 0 |
| 30 | Iván García Cortina | 1 | 4 | 4 |
Tour de Pologne
Single Rider Fantasy League 2023
Results
Players
A total of 42 players entered:
| User | Pick | Base | Bonus | Score |
|---|---|---|---|---|
| AwakenTheBacon_ | Pavel Sivakov | 36 | 34 | 70 |
| paaulo | Lennert Van Eetvelt | 32 | 32 | 64 |
| alpal2214 | Michal Kwiatkowski | 60 | 0 | 60 |
| Xcpa9 | Michal Kwiatkowski | 60 | 0 | 60 |
| fewfiet | Joao Almeida | 53.3 | 0 | 53.3 |
| Mjkittens | Joao Almeida | 53.3 | 0 | 53.3 |
| Perlut | Joao Almeida | 53.3 | 0 | 53.3 |
| f1phoenix | Damiano Caruso | 26 | 26 | 52 |
| BSantos57 | Ilan Van Wilder | 33.3 | 0 | 33.3 |
| burden321 | Ilan Van Wilder | 33.3 | 0 | 33.3 |
| mcrorigan | Ilan Van Wilder | 33.3 | 0 | 33.3 |
| ssfoxx27 | Mark Donovan | 14 | 14 | 28 |
| Eyeconoclastic | Edward Dunbar | 24 | 0 | 24 |
| Positive_Ad2228 | Edward Dunbar | 24 | 0 | 24 |
| Tuttle_not_Buttle | Edward Dunbar | 24 | 0 | 24 |
| Goutye | Lenny Martinez | 14.7 | 0 | 14.7 |
| Gta352 | Lenny Martinez | 14.7 | 0 | 14.7 |
| paulindy2000 | Lenny Martinez | 14.7 | 0 | 14.7 |
| Kryziven | Matteo Sobrero | 6 | 6 | 12 |
| arne-b | Kévin Vauquelin | 3.7 | 0 | 3.7 |
| CudoLanda | Kévin Vauquelin | 3.7 | 0 | 3.7 |
| JDdieSonne | Kévin Vauquelin | 3.7 | 0 | 3.7 |
| nahgoe16 | Kévin Vauquelin | 3.7 | 0 | 3.7 |
| vbarrielle | Kévin Vauquelin | 3.7 | 0 | 3.7 |
| VeggieLegs21 | Kévin Vauquelin | 3.7 | 0 | 3.7 |
| Sappert | Antonio Tiberi | 0 | 0 | 0 |
| detestrian | Geraint Thomas | 0 | 0 | 0 |
| Nussig | Geraint Thomas | 0 | 0 | 0 |
| hossman3000 | Gerben Thijssen | 0 | 0 | 0 |
| Judas_Bishop | Laurens De Plus | 0 | 0 | 0 |
| KhaledHisham_22 | Laurens De Plus | 0 | 0 | 0 |
| MrR2D | Lennard Kämna | 0 | 0 | 0 |
| RaylanGivens8 | Lennard Kämna | 0 | 0 | 0 |
| Divergee5 | Max Poole | 0 | 0 | 0 |
| ZBGT | Max Poole | 0 | 0 | 0 |
| ULhothot | Patryk Stosz | 0 | 0 | 0 |
| iamczecksy | Thymen Arensman | 0 | 0 | 0 |
| Joder-tio | Thymen Arensman | 0 | 0 | 0 |
| MacJokic | Thymen Arensman | 0 | 0 | 0 |
| narlano | Thymen Arensman | 0 | 0 | 0 |
| the_ginger27 | Thymen Arensman | 0 | 0 | 0 |
| edlll91 | Tobias Foss | 0 | 0 | 0 |
Riders
The Top 30 finishers were:
| Rank | Rider | Picks | Base | Bonus |
|---|---|---|---|---|
| 1 | Matej Mohoric | 0 | 200 | 0 |
| 2 | Joao Almeida | 3 | 160 | 0 |
| 3 | Michal Kwiatkowski | 2 | 120 | 0 |
| 4 | Ilan Van Wilder | 3 | 100 | 0 |
| 5 | Mattia Cattaneo | 0 | 90 | 0 |
| 6 | Brandon McNulty | 0 | 80 | 0 |
| 7 | Edward Dunbar | 3 | 72 | 0 |
| 8 | Rafal Majka | 0 | 64 | 0 |
| 9 | Samuele Battistella | 0 | 58 | 0 |
| 10 | Oscar Onley | 0 | 52 | 0 |
| 11 | Sylvain Moniquet | 0 | 48 | 0 |
| 12 | Lenny Martinez | 3 | 44 | 0 |
| 13 | Cristian Scaroni | 0 | 40 | 0 |
| 14 | Pavel Sivakov | 1 | 36 | 34 |
| 15 | Lennert Van Eetvelt | 1 | 32 | 32 |
| 16 | Yannis Voisard | 0 | 30 | 0 |
| 17 | Louis Vervaeke | 0 | 28 | 0 |
| 18 | Damiano Caruso | 1 | 26 | 26 |
| 19 | Sergio Higuita | 0 | 24 | 0 |
| 20 | Kévin Vauquelin | 6 | 22 | 0 |
| 21 | Nicola Conci | 0 | 20 | 0 |
| 22 | Andrea Vendrame | 0 | 18 | 0 |
| 23 | Dorian Godon | 0 | 16 | 0 |
| 24 | Mark Donovan | 1 | 14 | 14 |
| 25 | Ruben Guerreiro | 0 | 12 | 0 |
| 26 | Sam Oomen | 0 | 10 | 0 |
| 27 | Jonathan Lastra | 0 | 8 | 0 |
| 28 | Matteo Sobrero | 1 | 6 | 6 |
| 29 | Lawrence Warbasse | 0 | 4 | 0 |
| 30 | Marijn van den Berg | 0 | 2 | 0 |
Donostia San Sebastian
Single Rider Fantasy League 2023
Results
Players
A total of 44 players entered:
| User | Pick | Base | Bonus | Score |
|---|---|---|---|---|
| Sappert | Pello Bilbao | 144 | 44 | 188 |
| the_ginger27 | Aleksandr Vlasov | 108 | 42 | 150 |
| detestrian | Ion Izagirre | 81 | 39 | 120 |
| fewfiet | Remco Evenepoel | 60 | 0 | 60 |
| Gta352 | Remco Evenepoel | 60 | 0 | 60 |
| iamczecksy | Remco Evenepoel | 60 | 0 | 60 |
| Divergee5 | Carlos Rodriguez | 29 | 24 | 53 |
| mcrorigan | Mikel Landa | 25 | 21 | 46 |
| burden321 | Marc Hirschi | 12 | 0 | 12 |
| Joder-tio | Marc Hirschi | 12 | 0 | 12 |
| KhaledHisham_22 | Marc Hirschi | 12 | 0 | 12 |
| BSantos57 | Tiesj Benoot | 11.8 | 0 | 11.8 |
| DorHarris | Tiesj Benoot | 11.8 | 0 | 11.8 |
| f1phoenix | Tiesj Benoot | 11.8 | 0 | 11.8 |
| RaylanGivens8 | Tiesj Benoot | 11.8 | 0 | 11.8 |
| Kryziven | Juan Ayuso | 8.6 | 0 | 8.6 |
| Mjkittens | Juan Ayuso | 8.6 | 0 | 8.6 |
| Nussig | Juan Ayuso | 8.6 | 0 | 8.6 |
| Perlut | Juan Ayuso | 8.6 | 0 | 8.6 |
| ULhothot | Juan Ayuso | 8.6 | 0 | 8.6 |
| AwakenTheBacon_ | Lorenzo Rota | 0.7 | 0 | 0.7 |
| BWallis17 | Lorenzo Rota | 0.7 | 0 | 0.7 |
| Tuttle_not_Buttle | Lorenzo Rota | 0.7 | 0 | 0.7 |
| Judas_Bishop | Andrea Piccolo | 0 | 0 | 0 |
| alpal2214 | Bauke Mollema | 0 | 0 | 0 |
| ssfoxx27 | Bauke Mollema | 0 | 0 | 0 |
| edlll91 | Ben Healy | 0 | 0 | 0 |
| Eyeconoclastic | Ben Healy | 0 | 0 | 0 |
| MacJokic | Ben Healy | 0 | 0 | 0 |
| Positive_Ad2228 | Ben Healy | 0 | 0 | 0 |
| Xcpa9 | Ben Healy | 0 | 0 | 0 |
| ZBGT | Ben Tulett | 0 | 0 | 0 |
| MrR2D | Georg Zimmermann | 0 | 0 | 0 |
| narlano | Georg Zimmermann | 0 | 0 | 0 |
| hossman3000 | Lucas Plapp | 0 | 0 | 0 |
| Goutye | Mathieu Burgaudeau | 0 | 0 | 0 |
| arne-b | Roger Adriá | 0 | 0 | 0 |
| nahgoe16 | Roger Adriá | 0 | 0 | 0 |
| vbarrielle | Romain Grégoire | 0 | 0 | 0 |
| VeggieLegs21 | Romain Grégoire | 0 | 0 | 0 |
| paaulo | Rudy Molard | 0 | 0 | 0 |
| paulindy2000 | Rudy Molard | 0 | 0 | 0 |
| JDdieSonne | Simon Yates | 0 | 0 | 0 |
| Stanyer | Victor Lafay | 0 | 0 | 0 |
Riders
The Top 30 finishers were:
| Rank | Rider | Picks | Base | Bonus |
|---|---|---|---|---|
| 1 | Remco Evenepoel | 3 | 180 | 0 |
| 2 | Pello Bilbao | 1 | 144 | 44 |
| 3 | Aleksandr Vlasov | 1 | 108 | 42 |
| 4 | Neilson Powless | 0 | 90 | 0 |
| 5 | Ion Izagirre | 1 | 81 | 39 |
| 6 | Toms Skujins | 0 | 72 | 0 |
| 7 | Alex Aranburu | 0 | 65 | 0 |
| 8 | Rui Costa | 0 | 58 | 0 |
| 9 | Andrea Bagioli | 0 | 52 | 0 |
| 10 | Tiesj Benoot | 4 | 47 | 0 |
| 11 | Juan Ayuso | 5 | 43 | 0 |
| 12 | Alberto Bettiol | 0 | 40 | 0 |
| 13 | Marc Hirschi | 3 | 36 | 0 |
| 14 | Clément Champoussin | 0 | 32 | 0 |
| 15 | Carlos Rodriguez | 1 | 29 | 24 |
| 16 | Jason Osborne | 0 | 27 | 0 |
| 17 | Mikel Landa | 1 | 25 | 21 |
| 18 | Chris Harper | 0 | 23 | 0 |
| 19 | Jakob Fuglsang | 0 | 22 | 0 |
| 20 | Felix Gall | 0 | 20 | 0 |
| 21 | Kevin Vermaerke | 0 | 18 | 0 |
| 22 | Harry Sweeny | 0 | 16 | 0 |
| 23 | George Bennett | 0 | 14 | 0 |
| 24 | Pablo Castrillo | 0 | 13 | 0 |
| 25 | Nathan Van Hooydonck | 0 | 11 | 0 |
| 26 | Gorka Izagirre | 0 | 9 | 0 |
| 27 | Iván García Cortina | 0 | 7 | 0 |
| 28 | Simone Velasco | 0 | 5 | 0 |
| 29 | Alex Baudin | 0 | 3 | 0 |
| 30 | Lorenzo Rota | 3 | 2 | 0 |
Tour de France
Single Rider Fantasy League 2023
Results
Players
A total of 89 players entered:
| User | Pick | Base | Bonus | Score |
|---|---|---|---|---|
| dashk97 | Sepp Kuss | 132 | 114 | 246 |
| CuCuJambo | Simon Yates | 150 | 0 | 150 |
| Eyeconoclastic | Simon Yates | 150 | 0 | 150 |
| Zeckesan | Valentin Madouas | 66 | 66 | 132 |
| CudoLanda | Adam Yates | 120 | 0 | 120 |
| Pure_Necessary_1372 | Adam Yates | 120 | 0 | 120 |
| ZBGT | Adam Yates | 120 | 0 | 120 |
| LurkasM1 | Emanuel Buchmann | 60 | 60 | 120 |
| Esopius | Warren Barguil | 54 | 54 | 108 |
| andytheciderman | Pello Bilbao | 80 | 0 | 80 |
| LynniePinnie67 | Pello Bilbao | 80 | 0 | 80 |
| Mattxps | Pello Bilbao | 80 | 0 | 80 |
| Randy_Manpipe | Guillaume Martin | 78 | 0 | 78 |
| Tuttle_not_Buttle | Guillaume Martin | 78 | 0 | 78 |
| grasroten | Thibaut Pinot | 72 | 0 | 72 |
| paulindy2000 | Thibaut Pinot | 72 | 0 | 72 |
| burden321 | Carlos Rodriguez | 67.5 | 0 | 67.5 |
| DerpTrain | Carlos Rodriguez | 67.5 | 0 | 67.5 |
| paaulo | Carlos Rodriguez | 67.5 | 0 | 67.5 |
| VeggieLegs21 | Carlos Rodriguez | 67.5 | 0 | 67.5 |
| BWallis17 | Jonas Vingegaard | 66.7 | 0 | 66.7 |
| Checktaschu | Jonas Vingegaard | 66.7 | 0 | 66.7 |
| Gta352 | Jonas Vingegaard | 66.7 | 0 | 66.7 |
| Joder-tio | Jonas Vingegaard | 66.7 | 0 | 66.7 |
| Kryziven | Jonas Vingegaard | 66.7 | 0 | 66.7 |
| Thomas1VL | Jonas Vingegaard | 66.7 | 0 | 66.7 |
| Tibaslol | Jonas Vingegaard | 66.7 | 0 | 66.7 |
| vrobrolf | Jonas Vingegaard | 66.7 | 0 | 66.7 |
| Wateroski | Jonas Vingegaard | 66.7 | 0 | 66.7 |
| arkwright14 | Tom Pidcock | 60 | 0 | 60 |
| Robbenklopper | Tom Pidcock | 60 | 0 | 60 |
| DorHarris | Tadej Pogacar | 53.3 | 0 | 53.3 |
| fewfiet | Tadej Pogacar | 53.3 | 0 | 53.3 |
| iamczecksy | Tadej Pogacar | 53.3 | 0 | 53.3 |
| juraj_is_better | Tadej Pogacar | 53.3 | 0 | 53.3 |
| MadnessBeliever | Tadej Pogacar | 53.3 | 0 | 53.3 |
| masterpierround | Tadej Pogacar | 53.3 | 0 | 53.3 |
| Nussig | Tadej Pogacar | 53.3 | 0 | 53.3 |
| SoniMax | Tadej Pogacar | 53.3 | 0 | 53.3 |
| TR2008 | Tadej Pogacar | 53.3 | 0 | 53.3 |
| aidikay | Jai Hindley | 43.2 | 0 | 43.2 |
| bdrammel | Jai Hindley | 43.2 | 0 | 43.2 |
| kjjjz | Jai Hindley | 43.2 | 0 | 43.2 |
| RaylanGivens8 | Jai Hindley | 43.2 | 0 | 43.2 |
| Solesticio | Jai Hindley | 43.2 | 0 | 43.2 |
| edlll91 | Mikel Landa | 36 | 0 | 36 |
| rjbman | Mikel Landa | 36 | 0 | 36 |
| Ayrr | David Gaudu | 34.8 | 0 | 34.8 |
| ecuinir | David Gaudu | 34.8 | 0 | 34.8 |
| Loud_Mycologist1382 | David Gaudu | 34.8 | 0 | 34.8 |
| markp88 | David Gaudu | 34.8 | 0 | 34.8 |
| vbarrielle | David Gaudu | 34.8 | 0 | 34.8 |
| BSantos57 | Ben O'Connor | 21 | 0 | 21 |
| hossman3000 | Ben O'Connor | 21 | 0 | 21 |
| ssfoxx27 | Ben O'Connor | 21 | 0 | 21 |
| yellow52 | Ben O'Connor | 21 | 0 | 21 |
| AwakenTheBacon_ | Jack Haig | 6 | 0 | 6 |
| GmckAgar | Jack Haig | 6 | 0 | 6 |
| JDdieSonne | Jack Haig | 6 | 0 | 6 |
| Avila99 | Mattias Skjelmose | 4 | 0 | 4 |
| Divergee5 | Mattias Skjelmose | 4 | 0 | 4 |
| Norskov | Mattias Skjelmose | 4 | 0 | 4 |
| Positive_Ad2228 | Halland Johannessen Tobias | 3 | 0 | 3 |
| Seabhac7 | Halland Johannessen Tobias | 3 | 0 | 3 |
| ULhothot | Biniam Girmay | 0 | 0 | 0 |
| nahgoe16 | Daniel Martinez | 0 | 0 | 0 |
| Judas_Bishop | Dylan Teuns | 0 | 0 | 0 |
| YourBeneluxOverlords | Dylan Teuns | 0 | 0 | 0 |
| MacJokic | Egan Bernal | 0 | 0 | 0 |
| mcrorigan | Egan Bernal | 0 | 0 | 0 |
| baat | Enric Mas | 0 | 0 | 0 |
| Goutye | Julian Alaphilippe | 0 | 0 | 0 |
| ser-seaworth | León Sánchez Luis | 0 | 0 | 0 |
| Redskin44 | Lilian Calmejane | 0 | 0 | 0 |
| f1phoenix | Louis Meintjes | 0 | 0 | 0 |
| Stanyer | Louis Meintjes | 0 | 0 | 0 |
| EDG0 | Neilson Powless | 0 | 0 | 0 |
| PolarJace | Neilson Powless | 0 | 0 | 0 |
| sklugs46 | Neilson Powless | 0 | 0 | 0 |
| alpal2214 | Richard Carapaz | 0 | 0 | 0 |
| Xcpa9 | Richard Carapaz | 0 | 0 | 0 |
| arne-b | Romain Bardet | 0 | 0 | 0 |
| KhaledHisham_22 | Romain Bardet | 0 | 0 | 0 |
| MrR2D | Romain Bardet | 0 | 0 | 0 |
| Perlut | Romain Bardet | 0 | 0 | 0 |
| Sappert | Romain Bardet | 0 | 0 | 0 |
| D4RK_3LF | Torstein Træen | 0 | 0 | 0 |
| detestrian | Torstein Træen | 0 | 0 | 0 |
| the_ginger27 | Torstein Træen | 0 | 0 | 0 |
Riders
The Top 30 finishers were:
| Rank | Rider | Picks | Base | Bonus |
|---|---|---|---|---|
| 1 | Jonas Vingegaard | 9 | 600 | 0 |
| 2 | Tadej Pogacar | 9 | 480 | 0 |
| 3 | Adam Yates | 3 | 360 | 0 |
| 4 | Simon Yates | 2 | 300 | 0 |
| 5 | Carlos Rodriguez | 4 | 270 | 0 |
| 6 | Pello Bilbao | 3 | 240 | 0 |
| 7 | Jai Hindley | 5 | 216 | 0 |
| 8 | Felix Gall | 0 | 192 | 0 |
| 9 | David Gaudu | 5 | 174 | 0 |
| 10 | Guillaume Martin | 2 | 156 | 0 |
| 11 | Thibaut Pinot | 2 | 144 | 0 |
| 12 | Sepp Kuss | 1 | 132 | 114 |
| 13 | Tom Pidcock | 2 | 120 | 0 |
| 14 | Rafal Majka | 0 | 108 | 0 |
| 15 | Jonathan Castroviejo | 0 | 96 | 0 |
| 16 | Chris Harper | 0 | 90 | 0 |
| 17 | Ben O'Connor | 4 | 84 | 0 |
| 18 | Wilco Kelderman | 0 | 78 | 0 |
| 19 | Mikel Landa | 2 | 72 | 0 |
| 20 | Valentin Madouas | 1 | 66 | 66 |
| 21 | Emanuel Buchmann | 1 | 60 | 60 |
| 22 | Warren Barguil | 1 | 54 | 54 |
| 23 | Felix Großschartner | 0 | 48 | 0 |
| 24 | Tiesj Benoot | 0 | 42 | 0 |
| 25 | Clément Berthet | 0 | 36 | 0 |
| 26 | Bob Jungels | 0 | 30 | 0 |
| 27 | Wout Poels | 0 | 24 | 0 |
| 28 | Jack Haig | 3 | 18 | 0 |
| 29 | Mattias Skjelmose | 3 | 12 | 0 |
| 30 | Halland Johannessen Tobias | 2 | 6 | 0 |
Tour de Suisse
Single Rider Fantasy League 2023
Results
Players
A total of 61 players entered:
| User | Pick | Base | Bonus | Score |
|---|---|---|---|---|
| MadnessBeliever | Mattias Skjelmose Jensen | 140 | 0 | 140 |
| Norskov | Mattias Skjelmose Jensen | 140 | 0 | 140 |
| nahgoe16 | Clement Berthet | 67 | 60 | 127 |
| Kryziven | Juan Ayuso | 56 | 0 | 56 |
| narlano | Juan Ayuso | 56 | 0 | 56 |
| Nussig | Juan Ayuso | 56 | 0 | 56 |
| Perlut | Juan Ayuso | 56 | 0 | 56 |
| burden321 | Wilco Kelderman | 35 | 0 | 35 |
| KhaledHisham_22 | Wilco Kelderman | 35 | 0 | 35 |
| kjjjz | Wilco Kelderman | 35 | 0 | 35 |
| Positive_Ad2228 | Wilco Kelderman | 35 | 0 | 35 |
| baat | Cian Uijtdebroeks | 25.3 | 0 | 25.3 |
| copycatrfl | Cian Uijtdebroeks | 25.3 | 0 | 25.3 |
| frozahh | Cian Uijtdebroeks | 25.3 | 0 | 25.3 |
| paaulo | Cian Uijtdebroeks | 25.3 | 0 | 25.3 |
| detestrian | Remco Evenepoel | 24 | 0 | 24 |
| fewfiet | Remco Evenepoel | 24 | 0 | 24 |
| hossman3000 | Remco Evenepoel | 24 | 0 | 24 |
| iamczecksy | Remco Evenepoel | 24 | 0 | 24 |
| Joder-tio | Remco Evenepoel | 24 | 0 | 24 |
| Stanyer | Remco Evenepoel | 24 | 0 | 24 |
| YourBeneluxOverlords | Remco Evenepoel | 24 | 0 | 24 |
| JDdieSonne | Felix Gall | 22.5 | 0 | 22.5 |
| Mattxps | Felix Gall | 22.5 | 0 | 22.5 |
| SoniMax | Felix Gall | 22.5 | 0 | 22.5 |
| ssfoxx27 | Felix Gall | 22.5 | 0 | 22.5 |
| alpal2214 | Ion Izagirre | 20.7 | 0 | 20.7 |
| AwakenTheBacon_ | Ion Izagirre | 20.7 | 0 | 20.7 |
| Gta352 | Ion Izagirre | 20.7 | 0 | 20.7 |
| arne-b | Romain Bardet | 18 | 0 | 18 |
| CudoLanda | Romain Bardet | 18 | 0 | 18 |
| Divergee5 | Romain Bardet | 18 | 0 | 18 |
| mcrorigan | Romain Bardet | 18 | 0 | 18 |
| paulindy2000 | Romain Bardet | 18 | 0 | 18 |
| vbarrielle | Romain Bardet | 18 | 0 | 18 |
| Zeckesan | Romain Bardet | 18 | 0 | 18 |
| bassmanyoowan | Neilson Powless | 10.3 | 0 | 10.3 |
| BWallis17 | Neilson Powless | 10.3 | 0 | 10.3 |
| MrR2D | Neilson Powless | 10.3 | 0 | 10.3 |
| ser-seaworth | Alexey Lutsenko | 0 | 0 | 0 |
| Tuttle_not_Buttle | Alexey Lutsenko | 0 | 0 | 0 |
| andytheciderman | Ben Tulett | 0 | 0 | 0 |
| MacJokic | Gino Mäder | 0 | 0 | 0 |
| Eyeconoclastic | Jakob Fuglsang | 0 | 0 | 0 |
| DorHarris | Jay Vine | 0 | 0 | 0 |
| juraj_is_better | Jay Vine | 0 | 0 | 0 |
| Thomas1VL | Jay Vine | 0 | 0 | 0 |
| f1phoenix | Lennert Van Eetvelt | 0 | 0 | 0 |
| Judas_Bishop | Lennert Van Eetvelt | 0 | 0 | 0 |
| the_ginger27 | Lennert Van Eetvelt | 0 | 0 | 0 |
| markp88 | Marc Hirschi | 0 | 0 | 0 |
| Wateroski | Marc Hirschi | 0 | 0 | 0 |
| BSantos57 | Pello Bilbao | 0 | 0 | 0 |
| Mattho | Pello Bilbao | 0 | 0 | 0 |
| RaylanGivens8 | Pello Bilbao | 0 | 0 | 0 |
| VeggieLegs21 | Pello Bilbao | 0 | 0 | 0 |
| yellow52 | Sergio Higuita | 0 | 0 | 0 |
| Goutye | Stefan Küng | 0 | 0 | 0 |
| vrobrolf | Sylvain Moniquet | 0 | 0 | 0 |
| Salty-Level | Wout van Aert | 0 | 0 | 0 |
| ZBGT | Wout van Aert | 0 | 0 | 0 |
Riders
The Top 30 Finishers Were:
| Rank | Rider | Picks | Base | Bonus |
|---|---|---|---|---|
| 1 | Mattias Skjelmose Jensen | 2 | 280 | 0 |
| 2 | Juan Ayuso | 4 | 224 | 0 |
| 3 | Remco Evenepoel | 7 | 168 | 0 |
| 4 | Wilco Kelderman | 4 | 140 | 0 |
| 5 | Romain Bardet | 7 | 126 | 0 |
| 6 | Rigoberto Uran | 0 | 112 | 0 |
| 7 | Cian Uijtdebroeks | 4 | 101 | 0 |
| 8 | Felix Gall | 4 | 90 | 0 |
| 9 | Dylan Teuns | 0 | 81 | 0 |
| 10 | Harold Tejada | 0 | 73 | 0 |
| 11 | Clement Berthet | 1 | 67 | 60 |
| 12 | Ion Izagirre | 3 | 62 | 0 |
| 13 | Callum Scotson | 0 | 56 | 0 |
| 14 | Maximilian Schachmann | 0 | 50 | 0 |
| 15 | Romain Grégoire | 0 | 45 | 0 |
| 16 | Welay Berhe | 0 | 42 | 0 |
| 17 | Michael Storer | 0 | 39 | 0 |
| 18 | Damien Howson | 0 | 36 | 0 |
| 19 | Gorka Izagirre | 0 | 34 | 0 |
| 20 | Neilson Powless | 3 | 31 | 0 |
| 21 | Hugo Houle | 0 | 28 | 0 |
| 22 | Tom Pidcock | 0 | 25 | 0 |
| 23 | Sam Oomen | 0 | 22 | 0 |
| 24 | Jhonnatan Narvaez | 0 | 20 | 0 |
| 25 | Mikaël Chérel | 0 | 17 | 0 |
| 26 | Alex Aranburu | 0 | 14 | 0 |
| 27 | Kevin Vermaerke | 0 | 11 | 0 |
| 28 | Mikkel Honore | 0 | 8 | 0 |
| 29 | Michal Kwiatkowski | 0 | 6 | 0 |
| 30 | Mattia Cattaneo | 0 | 3 | 0 |
Criterium du Dauphiné
Single Rider Fantasy League 2023
Results
Players
A total of A total of 66 players entered:
| User | Pick | Base | Bonus | Score |
|---|---|---|---|---|
| CuCuJambo | Adam Yates | 74.7 | 0 | 74.7 |
| Nussig | Adam Yates | 74.7 | 0 | 74.7 |
| Xcpa9 | Adam Yates | 74.7 | 0 | 74.7 |
| 2000ber | Felix Großschartner | 28 | 28 | 56 |
| ecuinir | Jack Haig | 42 | 0 | 42 |
| JDdieSonne | Jack Haig | 42 | 0 | 42 |
| rjbman | Jack Haig | 42 | 0 | 42 |
| edlll91 | Carlos Rodriguez | 40.5 | 0 | 40.5 |
| paaulo | Carlos Rodriguez | 40.5 | 0 | 40.5 |
| CO2generator | Jonas Vingegaard | 35 | 0 | 35 |
| fewfiet | Jonas Vingegaard | 35 | 0 | 35 |
| juraj_is_better | Jonas Vingegaard | 35 | 0 | 35 |
| markp88 | Jonas Vingegaard | 35 | 0 | 35 |
| Mattho | Jonas Vingegaard | 35 | 0 | 35 |
| narlano | Jonas Vingegaard | 35 | 0 | 35 |
| Perlut | Jonas Vingegaard | 35 | 0 | 35 |
| ser-seaworth | Jonas Vingegaard | 35 | 0 | 35 |
| kjjjz | Jai Hindley | 28 | 0 | 28 |
| LurkasM1 | Jai Hindley | 28 | 0 | 28 |
| Mattxps | Jai Hindley | 28 | 0 | 28 |
| vrobrolf | Jai Hindley | 28 | 0 | 28 |
| Wateroski | Jai Hindley | 28 | 0 | 28 |
| Positive_Ad2228 | Halland Johannessen Tobias | 22.5 | 0 | 22.5 |
| the_ginger27 | Halland Johannessen Tobias | 22.5 | 0 | 22.5 |
| Judas_Bishop | Chris Harper | 14 | 0 | 14 |
| KhaledHisham_22 | Chris Harper | 14 | 0 | 14 |
| nahgoe16 | Chris Harper | 14 | 0 | 14 |
| BWallis17 | Enric Mas | 13 | 0 | 13 |
| iamczecksy | Enric Mas | 13 | 0 | 13 |
| RaylanGivens8 | Enric Mas | 13 | 0 | 13 |
| alpal2214 | Egan Bernal | 12.4 | 0 | 12.4 |
| andytheciderman | Egan Bernal | 12.4 | 0 | 12.4 |
| copycatrfl | Egan Bernal | 12.4 | 0 | 12.4 |
| CudoLanda | Egan Bernal | 12.4 | 0 | 12.4 |
| MacJokic | Egan Bernal | 12.4 | 0 | 12.4 |
| DorHarris | Max Poole | 11.2 | 0 | 11.2 |
| hossman3000 | Max Poole | 11.2 | 0 | 11.2 |
| ssfoxx27 | Max Poole | 11.2 | 0 | 11.2 |
| Tuttle_not_Buttle | Max Poole | 11.2 | 0 | 11.2 |
| yellow52 | Max Poole | 11.2 | 0 | 11.2 |
| Goutye | Lenny Martinez | 9 | 0 | 9 |
| Sappert | Lenny Martinez | 9 | 0 | 9 |
| vbarrielle | Lenny Martinez | 9 | 0 | 9 |
| ZBGT | Lenny Martinez | 9 | 0 | 9 |
| arne-b | Mikel Landa | 8.3 | 0 | 8.3 |
| burden321 | Mikel Landa | 8.3 | 0 | 8.3 |
| Kryziven | Mikel Landa | 8.3 | 0 | 8.3 |
| GmckAgar | Daniel Martinez | 7.3 | 0 | 7.3 |
| MadnessBeliever | Daniel Martinez | 7.3 | 0 | 7.3 |
| Simulation-Central | Daniel Martinez | 7.3 | 0 | 7.3 |
| aidikay | David Gaudu | 0.6 | 0 | 0.6 |
| BSantos57 | David Gaudu | 0.6 | 0 | 0.6 |
| Gta352 | David Gaudu | 0.6 | 0 | 0.6 |
| paulindy2000 | David Gaudu | 0.6 | 0 | 0.6 |
| Stanyer | David Gaudu | 0.6 | 0 | 0.6 |
| AwakenTheBacon_ | Esteban Chaves | 0 | 0 | 0 |
| DerpTrain | Mauri Vansevenant | 0 | 0 | 0 |
| Salty-Level | Mauri Vansevenant | 0 | 0 | 0 |
| MrR2D | Maxim Van Gils | 0 | 0 | 0 |
| mcrorigan | Pedro Lopez Juan | 0 | 0 | 0 |
| f1phoenix | Pierre Latour | 0 | 0 | 0 |
| Joder-tio | Pierre Latour | 0 | 0 | 0 |
| Divergee5 | Richard Carapaz | 0 | 0 | 0 |
| Eyeconoclastic | Richard Carapaz | 0 | 0 | 0 |
| Mjkittens | Richard Carapaz | 0 | 0 | 0 |
| VeggieLegs21 | Richard Carapaz | 0 | 0 | 0 |
Riders
The Top 30 finishers were:
| Rank | Rider | Picks | Base | Bonus |
|---|---|---|---|---|
| 1 | Jonas Vingegaard | 8 | 280 | 0 |
| 2 | Adam Yates | 3 | 224 | 0 |
| 3 | Ben O'Connor | 0 | 168 | 0 |
| 4 | Jai Hindley | 5 | 140 | 0 |
| 5 | Jack Haig | 3 | 126 | 0 |
| 6 | Guillaume Martin | 0 | 112 | 0 |
| 7 | Louis Meintjes | 0 | 101 | 0 |
| 8 | Torstein Træen | 0 | 90 | 0 |
| 9 | Carlos Rodriguez | 2 | 81 | 0 |
| 10 | Julian Alaphilippe | 0 | 73 | 0 |
| 11 | Giulio Ciccone | 0 | 67 | 0 |
| 12 | Egan Bernal | 5 | 62 | 0 |
| 13 | Max Poole | 5 | 56 | 0 |
| 14 | Rafal Majka | 0 | 50 | 0 |
| 15 | Halland Johannessen Tobias | 2 | 45 | 0 |
| 16 | Chris Harper | 3 | 42 | 0 |
| 17 | Enric Mas | 3 | 39 | 0 |
| 18 | Lenny Martinez | 4 | 36 | 0 |
| 19 | Emanuel Buchmann | 0 | 34 | 0 |
| 20 | Clément Champoussin | 0 | 31 | 0 |
| 21 | Felix Großschartner | 1 | 28 | 28 |
| 22 | Mikel Landa | 3 | 25 | 0 |
| 23 | Daniel Martinez | 3 | 22 | 0 |
| 24 | James Shaw | 0 | 20 | 0 |
| 25 | Hermann Pernsteiner | 0 | 17 | 0 |
| 26 | Attila Valter | 0 | 14 | 0 |
| 27 | Antonio Pedrero | 0 | 11 | 0 |
| 28 | Tiesj Benoot | 0 | 8 | 0 |
| 29 | Kevin Geniets | 0 | 6 | 0 |
| 30 | David Gaudu | 5 | 3 | 0 |
Giro d'Italia
Single Rider Fantasy League 2023
Entries
Players
A total of 87 players entered:
| User | Pick | Base | Bonus | Score |
|---|---|---|---|---|
| hossman3000 | Primoz Roglic | 250 | 0 | 250 |
| Positive_Ad2228 | Primoz Roglic | 250 | 0 | 250 |
| K2daL | Einer Rubio | 120 | 100 | 220 |
| Joder-tio | Ilan Van Wilder | 110 | 95 | 205 |
| CudoLanda | Geraint Thomas | 133.3 | 0 | 133.3 |
| Mjkittens | Geraint Thomas | 133.3 | 0 | 133.3 |
| nahgoe16 | Geraint Thomas | 133.3 | 0 | 133.3 |
| arne-b | Damiano Caruso | 125 | 0 | 125 |
| BWallis17 | Damiano Caruso | 125 | 0 | 125 |
| Miserable_Hour | Lorenzo Fortunato | 50 | 50 | 100 |
| LurkasM1 | Lennard Kämna | 72.5 | 0 | 72.5 |
| MrR2D | Lennard Kämna | 72.5 | 0 | 72.5 |
| HalfRust | Thymen Arensman | 66.7 | 0 | 66.7 |
| Norskov | Thymen Arensman | 66.7 | 0 | 66.7 |
| ser-seaworth | Thymen Arensman | 66.7 | 0 | 66.7 |
| AJL912-aber | Thibaut Pinot | 45 | 0 | 45 |
| kjjjz | Thibaut Pinot | 45 | 0 | 45 |
| paulindy2000 | Thibaut Pinot | 45 | 0 | 45 |
| RaylanGivens8 | Thibaut Pinot | 45 | 0 | 45 |
| vbarrielle | Thibaut Pinot | 45 | 0 | 45 |
| aidikay | Joao Almeida | 37.5 | 0 | 37.5 |
| Divergee5 | Joao Almeida | 37.5 | 0 | 37.5 |
| DorHarris | Joao Almeida | 37.5 | 0 | 37.5 |
| edlll91 | Joao Almeida | 37.5 | 0 | 37.5 |
| Perlut | Joao Almeida | 37.5 | 0 | 37.5 |
| Solesticio | Joao Almeida | 37.5 | 0 | 37.5 |
| spkr4thedead51 | Joao Almeida | 37.5 | 0 | 37.5 |
| Splitdifference | Joao Almeida | 37.5 | 0 | 37.5 |
| Goutye | Warren Barguil | 35 | 0 | 35 |
| moipaslui | Warren Barguil | 35 | 0 | 35 |
| bdrammel | Santiago Buitrago | 25 | 0 | 25 |
| Gta352 | Santiago Buitrago | 25 | 0 | 25 |
| MacJokic | Santiago Buitrago | 25 | 0 | 25 |
| MadnessBeliever | Santiago Buitrago | 25 | 0 | 25 |
| alpal2214 | Sepp Kuss | 22.5 | 0 | 22.5 |
| bg091 | Sepp Kuss | 22.5 | 0 | 22.5 |
| frozahh | Sepp Kuss | 22.5 | 0 | 22.5 |
| tomatoincredible | Sepp Kuss | 22.5 | 0 | 22.5 |
| DerpTrain | Aurélien Paret-Peintre | 20 | 0 | 20 |
| the_ginger27 | Aurélien Paret-Peintre | 20 | 0 | 20 |
| Tuttle_not_Buttle | Aurélien Paret-Peintre | 20 | 0 | 20 |
| ZBGT | Aurélien Paret-Peintre | 20 | 0 | 20 |
| bassmanyoowan | Jack Haig | 6.7 | 0 | 6.7 |
| BSantos57 | Jack Haig | 6.7 | 0 | 6.7 |
| burden321 | Jack Haig | 6.7 | 0 | 6.7 |
| Eyeconoclastic | Jack Haig | 6.7 | 0 | 6.7 |
| JDdieSonne | Jack Haig | 6.7 | 0 | 6.7 |
| rjbman | Jack Haig | 6.7 | 0 | 6.7 |
| SoniMax | Jack Haig | 6.7 | 0 | 6.7 |
| Wateroski | Jack Haig | 6.7 | 0 | 6.7 |
| yellow52 | Jack Haig | 6.7 | 0 | 6.7 |
| narlano | Aleksandr Vlasov | 0 | 0 | 0 |
| Randy_Manpipe | Aleksandr Vlasov | 0 | 0 | 0 |
| Thomas1VL | Aleksandr Vlasov | 0 | 0 | 0 |
| TwistedWitch | Aleksandr Vlasov | 0 | 0 | 0 |
| f1phoenix | Domenico Pozzovivo | 0 | 0 | 0 |
| Loud_Mycologist1382 | Fabian Lienhard | 0 | 0 | 0 |
| paaulo | Hugh Carthy | 0 | 0 | 0 |
| Sappert | Hugh Carthy | 0 | 0 | 0 |
| Xcpa9 | Hugh Carthy | 0 | 0 | 0 |
| Zeckesan | Hugh Carthy | 0 | 0 | 0 |
| Mattxps | Matthew Riccitello | 0 | 0 | 0 |
| ssfoxx27 | Matthew Riccitello | 0 | 0 | 0 |
| AwakenTheBacon_ | Pavel Sivakov | 0 | 0 | 0 |
| Judas_Bishop | Pavel Sivakov | 0 | 0 | 0 |
| juraj_is_better | Pavel Sivakov | 0 | 0 | 0 |
| vrobrolf | Pavel Sivakov | 0 | 0 | 0 |
| andytheciderman | Remco Evenepoel | 0 | 0 | 0 |
| CO2generator | Remco Evenepoel | 0 | 0 | 0 |
| fewfiet | Remco Evenepoel | 0 | 0 | 0 |
| iamczecksy | Remco Evenepoel | 0 | 0 | 0 |
| KhaledHisham_22 | Remco Evenepoel | 0 | 0 | 0 |
| Kryziven | Remco Evenepoel | 0 | 0 | 0 |
| markp88 | Remco Evenepoel | 0 | 0 | 0 |
| Mattho | Remco Evenepoel | 0 | 0 | 0 |
| Nussig | Remco Evenepoel | 0 | 0 | 0 |
| YourBeneluxOverlords | Remco Evenepoel | 0 | 0 | 0 |
| copycatrfl | Rigoberto Uran | 0 | 0 | 0 |
| GmckAgar | Rigoberto Uran | 0 | 0 | 0 |
| mcrorigan | Rigoberto Uran | 0 | 0 | 0 |
| Seabhac7 | Rigoberto Uran | 0 | 0 | 0 |
| baat | Tao Geoghegan Hart | 0 | 0 | 0 |
| detestrian | Tao Geoghegan Hart | 0 | 0 | 0 |
| Salty-Level | Tao Geoghegan Hart | 0 | 0 | 0 |
| Stanyer | Tao Geoghegan Hart | 0 | 0 | 0 |
| VeggieLegs21 | Tao Geoghegan Hart | 0 | 0 | 0 |
| Daanbrakka | Vincenzo Albanese | 0 | 0 | 0 |
Riders
The Top 30 finishers were:
| Rank | Rider | Picks | Base | Bonus |
|---|---|---|---|---|
| 1 | Primoz Roglic | 2 | 500 | 0 |
| 2 | Geraint Thomas | 3 | 400 | 0 |
| 3 | Joao Almeida | 8 | 300 | 0 |
| 4 | Damiano Caruso | 2 | 250 | 0 |
| 5 | Thibaut Pinot | 5 | 225 | 0 |
| 6 | Thymen Arensman | 3 | 200 | 0 |
| 7 | Edward Dunbar | 0 | 180 | 0 |
| 8 | Andreas Leknessund | 0 | 160 | 0 |
| 9 | Lennard Kämna | 2 | 145 | 0 |
| 10 | Laurens De Plus | 0 | 130 | 0 |
| 11 | Einer Rubio | 1 | 120 | 100 |
| 12 | Ilan Van Wilder | 1 | 110 | 95 |
| 13 | Santiago Buitrago | 4 | 100 | 0 |
| 14 | Sepp Kuss | 4 | 90 | 0 |
| 15 | Aurélien Paret-Peintre | 4 | 80 | 0 |
| 16 | Bruno Armirail | 0 | 75 | 0 |
| 17 | Warren Barguil | 2 | 70 | 0 |
| 18 | Filippo Zana | 0 | 65 | 0 |
| 19 | Jack Haig | 9 | 60 | 0 |
| 20 | Patrick Konrad | 0 | 55 | 0 |
| 21 | Lorenzo Fortunato | 1 | 50 | 50 |
| 22 | Derek Gee | 0 | 45 | 0 |
| 23 | Nicolas Prodhomme | 0 | 40 | 0 |
| 24 | León Sánchez Luis | 0 | 35 | 0 |
| 25 | Koen Bouwman | 0 | 30 | 0 |
| 26 | Simone Velasco | 0 | 25 | 0 |
| 27 | Laurens Huys | 0 | 20 | 0 |
| 28 | Diego Ulissi | 0 | 15 | 0 |
| 29 | Brandon McNulty | 0 | 10 | 0 |
| 30 | Davide Formolo | 0 | 5 | 0 |
Eschborn–Frankfurt
Single Rider Fantasy League 2023
Results
Players
A total of 61 players entered:
| User | Pick | Base | Bonus | Score |
|---|---|---|---|---|
| alpal2214 | Kragh Andersen Søren | 120 | 30 | 150 |
| RaylanGivens8 | Filippo Fiorelli | 19 | 14 | 33 |
| Riemt | Nils Politt | 13 | 11 | 24 |
| KhaledHisham_22 | Michael Matthews | 12.5 | 0 | 12.5 |
| mcrorigan | Michael Matthews | 12.5 | 0 | 12.5 |
| AJL912-aber | Arnaud De Lie | 11 | 0 | 11 |
| juraj_is_better | Arnaud De Lie | 11 | 0 | 11 |
| Mjkittens | Arnaud De Lie | 11 | 0 | 11 |
| hossman3000 | Simone Consonni | 7.5 | 0 | 7.5 |
| yellow52 | Simone Consonni | 7.5 | 0 | 7.5 |
| JDdieSonne | Alexander Kristoff | 6 | 0 | 6 |
| Miserable_Hour | Alexander Kristoff | 6 | 0 | 6 |
| MrR2D | Alexander Kristoff | 6 | 0 | 6 |
| rjbman | Alexander Kristoff | 6 | 0 | 6 |
| Sappert | Alexander Kristoff | 6 | 0 | 6 |
| kjjjz | John Degenkolb | 5.7 | 0 | 5.7 |
| MacJokic | John Degenkolb | 5.7 | 0 | 5.7 |
| ssfoxx27 | John Degenkolb | 5.7 | 0 | 5.7 |
| BSantos57 | Corbin Strong | 0 | 0 | 0 |
| Gta352 | Danny van Poppel | 0 | 0 | 0 |
| narlano | Danny van Poppel | 0 | 0 | 0 |
| paaulo | Danny van Poppel | 0 | 0 | 0 |
| nahgoe16 | Edoardo Zambanini | 0 | 0 | 0 |
| GmckAgar | Felix Engelhardt | 0 | 0 | 0 |
| paulindy2000 | Hugo Hofstetter | 0 | 0 | 0 |
| DorHarris | Itamar Einhorn | 0 | 0 | 0 |
| f1phoenix | Itamar Einhorn | 0 | 0 | 0 |
| Positive_Ad2228 | Itamar Einhorn | 0 | 0 | 0 |
| fewfiet | Jasper Philipsen | 0 | 0 | 0 |
| Joder-tio | Jasper Philipsen | 0 | 0 | 0 |
| MadnessBeliever | Jasper Philipsen | 0 | 0 | 0 |
| Nussig | Jasper Philipsen | 0 | 0 | 0 |
| the_ginger27 | Jasper Philipsen | 0 | 0 | 0 |
| Thomas1VL | Jasper Philipsen | 0 | 0 | 0 |
| vrobrolf | Jasper Philipsen | 0 | 0 | 0 |
| Xcpa9 | Jasper Philipsen | 0 | 0 | 0 |
| YourBeneluxOverlords | Jasper Philipsen | 0 | 0 | 0 |
| Judas_Bishop | Lorrenzo Manzin | 0 | 0 | 0 |
| arne-b | Marijn van den Berg | 0 | 0 | 0 |
| AwakenTheBacon_ | Marijn van den Berg | 0 | 0 | 0 |
| CudoLanda | Marijn van den Berg | 0 | 0 | 0 |
| Goutye | Marijn van den Berg | 0 | 0 | 0 |
| ZBGT | Marijn van den Berg | 0 | 0 | 0 |
| moipaslui | Matis Louvel | 0 | 0 | 0 |
| DerpTrain | Max Walscheid | 0 | 0 | 0 |
| Tuttle_not_Buttle | Max Walscheid | 0 | 0 | 0 |
| vbarrielle | Max Walscheid | 0 | 0 | 0 |
| markp88 | Nacer Bouhanni | 0 | 0 | 0 |
| Perlut | Nacer Bouhanni | 0 | 0 | 0 |
| VeggieLegs21 | Nacer Bouhanni | 0 | 0 | 0 |
| Mattxps | Niklas Märkl | 0 | 0 | 0 |
| burden321 | Pascal Ackermann | 0 | 0 | 0 |
| Divergee5 | Phil Bauhaus | 0 | 0 | 0 |
| iamczecksy | Phil Bauhaus | 0 | 0 | 0 |
| Salty-Level | Phil Bauhaus | 0 | 0 | 0 |
| baat | Sam Bennett | 0 | 0 | 0 |
| BWallis17 | Sam Bennett | 0 | 0 | 0 |
| Eyeconoclastic | Sam Bennett | 0 | 0 | 0 |
| Seabhac7 | Sam Bennett | 0 | 0 | 0 |
| Zeckesan | Sam Bennett | 0 | 0 | 0 |
| HalfRust | Søren Wærenskjold | 0 | 0 | 0 |
Riders
The Top 30 finishers were:
| Rank | Rider | Picks | Base | Bonus |
|---|---|---|---|---|
| 1 | Kragh Andersen Søren | 1 | 120 | 30 |
| 2 | Patrick Konrad | 0 | 90 | 0 |
| 3 | Alessandro Fedeli | 0 | 75 | 0 |
| 4 | Marc Hirschi | 0 | 68 | 0 |
| 5 | Lorenzo Rota | 0 | 60 | 0 |
| 6 | Georg Steinhauser | 0 | 54 | 0 |
| 7 | Georg Zimmermann | 0 | 48 | 0 |
| 8 | Stephen Williams | 0 | 44 | 0 |
| 9 | Ben Hermans | 0 | 39 | 0 |
| 10 | Martin Marcellusi | 0 | 36 | 0 |
| 11 | Arnaud De Lie | 3 | 33 | 0 |
| 12 | Alexander Kristoff | 5 | 30 | 0 |
| 13 | Jenthe Biermans | 0 | 27 | 0 |
| 14 | Michael Matthews | 2 | 25 | 0 |
| 15 | Erik Bystrøm Sven | 0 | 23 | 0 |
| 16 | Dries van Gestel | 0 | 21 | 0 |
| 17 | Filippo Fiorelli | 1 | 19 | 14 |
| 18 | John Degenkolb | 3 | 17 | 0 |
| 19 | Simone Consonni | 2 | 15 | 0 |
| 20 | Nils Politt | 1 | 13 | 11 |
| 21 | Dries De Bondt | 0 | 11 | 0 |
| 22 | Luca Colnaghi | 0 | 9 | 0 |
| 23 | Clément Russo | 0 | 8 | 0 |
| 24 | Remy Mertz | 0 | 7 | 0 |
| 25 | Clément Alleno | 0 | 6 | 0 |
| 26 | Matevz Govekar | 0 | 5 | 0 |
| 27 | Silvan Dillier | 0 | 4 | 0 |
| 28 | Merhawi Kudus | 0 | 3 | 0 |
| 29 | Davide Gabburo | 0 | 2 | 0 |
| 30 | Edvald Boasson-Hagen | 0 | 1 | 0 |
Tour de Romandie
Single Rider Fantasy League 2023
Results
Players
A total of 69 players entered:
| User | Pick | Base | Bonus | Score |
|---|---|---|---|---|
| yellow52 | Adam Yates | 280 | 90 | 370 |
| alpal2214 | Matteo Jorgenson | 44.8 | 0 | 44.8 |
| narlano | Matteo Jorgenson | 44.8 | 0 | 44.8 |
| Positive_Ad2228 | Matteo Jorgenson | 44.8 | 0 | 44.8 |
| rjbman | Matteo Jorgenson | 44.8 | 0 | 44.8 |
| spkr4thedead51 | Matteo Jorgenson | 44.8 | 0 | 44.8 |
| AwakenTheBacon_ | Thibaut Pinot | 31.5 | 0 | 31.5 |
| kjjjz | Thibaut Pinot | 31.5 | 0 | 31.5 |
| paulindy2000 | Thibaut Pinot | 31.5 | 0 | 31.5 |
| vbarrielle | Thibaut Pinot | 31.5 | 0 | 31.5 |
| arne-b | Damiano Caruso | 28 | 0 | 28 |
| copycatrfl | Damiano Caruso | 28 | 0 | 28 |
| D4RK_3LF | Damiano Caruso | 28 | 0 | 28 |
| f1phoenix | Damiano Caruso | 28 | 0 | 28 |
| Judas_Bishop | Damiano Caruso | 28 | 0 | 28 |
| KhaledHisham_22 | Damiano Caruso | 28 | 0 | 28 |
| BSantos57 | Romain Bardet | 16.8 | 0 | 16.8 |
| Divergee5 | Romain Bardet | 16.8 | 0 | 16.8 |
| Eyeconoclastic | Romain Bardet | 16.8 | 0 | 16.8 |
| Mattho | Romain Bardet | 16.8 | 0 | 16.8 |
| RaylanGivens8 | Romain Bardet | 16.8 | 0 | 16.8 |
| Xcpa9 | Romain Bardet | 16.8 | 0 | 16.8 |
| iamczecksy | Thomas Gloag | 16.8 | 0 | 16.8 |
| markp88 | Thomas Gloag | 16.8 | 0 | 16.8 |
| Sappert | Thomas Gloag | 16.8 | 0 | 16.8 |
| ZBGT | Thomas Gloag | 16.8 | 0 | 16.8 |
| bdrammel | Gino Mäder | 11.3 | 0 | 11.3 |
| burden321 | Gino Mäder | 11.3 | 0 | 11.3 |
| MacJokic | Gino Mäder | 11.3 | 0 | 11.3 |
| the_ginger27 | Gino Mäder | 11.3 | 0 | 11.3 |
| DorHarris | Louis Meintjes | 11.3 | 0 | 11.3 |
| paaulo | Louis Meintjes | 11.3 | 0 | 11.3 |
| Zeckesan | Louis Meintjes | 11.3 | 0 | 11.3 |
| baat | Juan Ayuso | 10.5 | 0 | 10.5 |
| edlll91 | Juan Ayuso | 10.5 | 0 | 10.5 |
| juraj_is_better | Juan Ayuso | 10.5 | 0 | 10.5 |
| Mjkittens | Juan Ayuso | 10.5 | 0 | 10.5 |
| Goutye | Lenny Martinez | 2.7 | 0 | 2.7 |
| moipaslui | Lenny Martinez | 2.7 | 0 | 2.7 |
| MrR2D | Lenny Martinez | 2.7 | 0 | 2.7 |
| YourBeneluxOverlords | Bob Jungels | 0 | 0 | 0 |
| Stanyer | Carlos Rodriguez | 0 | 0 | 0 |
| HalfRust | Fausto Masnada | 0 | 0 | 0 |
| nahgoe16 | Fausto Masnada | 0 | 0 | 0 |
| andytheciderman | Ion Izagirre | 0 | 0 | 0 |
| Joder-tio | Ion Izagirre | 0 | 0 | 0 |
| Perlut | Ion Izagirre | 0 | 0 | 0 |
| Tuttle_not_Buttle | Ion Izagirre | 0 | 0 | 0 |
| vrobrolf | Ion Izagirre | 0 | 0 | 0 |
| ssfoxx27 | James Knox | 0 | 0 | 0 |
| TwistedWitch | Kevin Ledanois | 0 | 0 | 0 |
| CudoLanda | Kévin Vauquelin | 0 | 0 | 0 |
| DerpTrain | Kévin Vauquelin | 0 | 0 | 0 |
| hossman3000 | Kévin Vauquelin | 0 | 0 | 0 |
| Seabhac7 | Kévin Vauquelin | 0 | 0 | 0 |
| VeggieLegs21 | Kévin Vauquelin | 0 | 0 | 0 |
| Mattxps | Michael Woods | 0 | 0 | 0 |
| ser-seaworth | Sebastien Reichenbach | 0 | 0 | 0 |
| MadnessBeliever | Sergio Higuita | 0 | 0 | 0 |
| detestrian | Simon Carr | 0 | 0 | 0 |
| BWallis17 | Simon Yates | 0 | 0 | 0 |
| CO2generator | Simon Yates | 0 | 0 | 0 |
| fewfiet | Simon Yates | 0 | 0 | 0 |
| JDdieSonne | Simon Yates | 0 | 0 | 0 |
| Nussig | Simon Yates | 0 | 0 | 0 |
| Thomas1VL | Simon Yates | 0 | 0 | 0 |
| GmckAgar | Steven Kruijswijk | 0 | 0 | 0 |
| Miserable_Hour | Tobias Foss | 0 | 0 | 0 |
| Salty-Level | Tobias Foss | 0 | 0 | 0 |
Riders
The Top 30 finishers were:
| Rank | Rider | Picks | Base | Bonus |
|---|---|---|---|---|
| 1 | Adam Yates | 1 | 280 | 90 |
| 2 | Matteo Jorgenson | 5 | 224 | 0 |
| 3 | Damiano Caruso | 6 | 168 | 0 |
| 4 | Max Poole | 0 | 140 | 0 |
| 5 | Thibaut Pinot | 4 | 126 | 0 |
| 6 | Cian Uijtdebroeks | 0 | 112 | 0 |
| 7 | Romain Bardet | 6 | 101 | 0 |
| 8 | Egan Bernal | 0 | 90 | 0 |
| 9 | Edward Dunbar | 0 | 81 | 0 |
| 10 | Rafal Majka | 0 | 73 | 0 |
| 11 | Thomas Gloag | 4 | 67 | 0 |
| 12 | Jonathan Castroviejo | 0 | 62 | 0 |
| 13 | William Barta | 0 | 56 | 0 |
| 14 | Rainer Kepplinger | 0 | 50 | 0 |
| 15 | Gino Mäder | 4 | 45 | 0 |
| 16 | Juan Ayuso | 4 | 42 | 0 |
| 17 | Filippo Zana | 0 | 39 | 0 |
| 18 | Yannis Voisard | 0 | 36 | 0 |
| 19 | Louis Meintjes | 3 | 34 | 0 |
| 20 | Ethan Hayter | 0 | 31 | 0 |
| 21 | Harold Tejada | 0 | 28 | 0 |
| 22 | Geoffrey Bouchard | 0 | 25 | 0 |
| 23 | Oscar Onley | 0 | 22 | 0 |
| 24 | Jonathan Caicedo | 0 | 20 | 0 |
| 25 | Rein Taaramäe | 0 | 17 | 0 |
| 26 | Nelson Oliveira | 0 | 14 | 0 |
| 27 | Clement Berthet | 0 | 11 | 0 |
| 28 | Lenny Martinez | 3 | 8 | 0 |
| 29 | Eduardo Sepulveda | 0 | 6 | 0 |
| 30 | Jesus Herrada | 0 | 3 | 0 |
Liège–Bastogne–Liège
Single Rider Fantasy League 2023
Results
Players
A total of 72 players entered:
| User | Pick | Base | Bonus | Score |
|---|---|---|---|---|
| ZBGT | Aurélien Paret-Peintre | 45 | 45 | 90 |
| aidikay | Ben Healy | 87.5 | 0 | 87.5 |
| baat | Ben Healy | 87.5 | 0 | 87.5 |
| nahgoe16 | Lorenzo Rota | 39 | 39 | 78 |
| Gta352 | Remco Evenepoel | 70 | 0 | 70 |
| iamczecksy | Remco Evenepoel | 70 | 0 | 70 |
| Kryziven | Remco Evenepoel | 70 | 0 | 70 |
| Stanyer | Remco Evenepoel | 70 | 0 | 70 |
| vrobrolf | Remco Evenepoel | 70 | 0 | 70 |
| Positive_Ad2228 | Halland Johannessen Tobias | 25 | 25 | 50 |
| BWallis17 | Giulio Ciccone | 35 | 0 | 35 |
| edlll91 | Giulio Ciccone | 35 | 0 | 35 |
| JDdieSonne | Mattias Skjelmose Jensen | 33.7 | 0 | 33.7 |
| Perlut | Mattias Skjelmose Jensen | 33.7 | 0 | 33.7 |
| spkr4thedead51 | Mattias Skjelmose Jensen | 33.7 | 0 | 33.7 |
| Goutye | Valentin Madouas | 31.6 | 0 | 31.6 |
| HalfRust | Valentin Madouas | 31.6 | 0 | 31.6 |
| Miserable_Hour | Valentin Madouas | 31.6 | 0 | 31.6 |
| moipaslui | Valentin Madouas | 31.6 | 0 | 31.6 |
| paaulo | Valentin Madouas | 31.6 | 0 | 31.6 |
| BSantos57 | Tiesj Benoot | 25.2 | 0 | 25.2 |
| MacJokic | Tiesj Benoot | 25.2 | 0 | 25.2 |
| MrR2D | Tiesj Benoot | 25.2 | 0 | 25.2 |
| RaylanGivens8 | Tiesj Benoot | 25.2 | 0 | 25.2 |
| SoniMax | Tiesj Benoot | 25.2 | 0 | 25.2 |
| MadnessBeliever | Maxim Van Gils | 16.8 | 0 | 16.8 |
| Seabhac7 | Maxim Van Gils | 16.8 | 0 | 16.8 |
| the_ginger27 | Maxim Van Gils | 16.8 | 0 | 16.8 |
| Tuttle_not_Buttle | Maxim Van Gils | 16.8 | 0 | 16.8 |
| Zeckesan | Maxim Van Gils | 16.8 | 0 | 16.8 |
| burden321 | Romain Bardet | 14 | 0 | 14 |
| paulindy2000 | Romain Bardet | 14 | 0 | 14 |
| Sappert | Romain Bardet | 14 | 0 | 14 |
| vbarrielle | Romain Bardet | 14 | 0 | 14 |
| andytheciderman | Attila Valter | 9 | 0 | 9 |
| Mjkittens | Attila Valter | 9 | 0 | 9 |
| AwakenTheBacon_ | Aleksandr Vlasov | 0 | 0 | 0 |
| DorHarris | Aleksandr Vlasov | 0 | 0 | 0 |
| KhaledHisham_22 | Aleksandr Vlasov | 0 | 0 | 0 |
| kjjjz | Alexey Lutsenko | 0 | 0 | 0 |
| f1phoenix | Andrea Bagioli | 0 | 0 | 0 |
| Judas_Bishop | Andrea Bagioli | 0 | 0 | 0 |
| Norskov | Andreas Kron | 0 | 0 | 0 |
| yellow52 | Andreas Kron | 0 | 0 | 0 |
| bassmanyoowan | Benoît Cosnefroy | 0 | 0 | 0 |
| copycatrfl | Benoît Cosnefroy | 0 | 0 | 0 |
| Mattxps | Kevin Geniets | 0 | 0 | 0 |
| detestrian | Matej Mohoric | 0 | 0 | 0 |
| bdrammel | Mikel Landa | 0 | 0 | 0 |
| CudoLanda | Mikel Landa | 0 | 0 | 0 |
| Salty-Level | Mikel Landa | 0 | 0 | 0 |
| alpal2214 | Neilson Powless | 0 | 0 | 0 |
| Eyeconoclastic | Neilson Powless | 0 | 0 | 0 |
| GmckAgar | Neilson Powless | 0 | 0 | 0 |
| juraj_is_better | Neilson Powless | 0 | 0 | 0 |
| Mattho | Neilson Powless | 0 | 0 | 0 |
| ser-seaworth | Neilson Powless | 0 | 0 | 0 |
| Xcpa9 | Neilson Powless | 0 | 0 | 0 |
| mcrorigan | Omar Fraile | 0 | 0 | 0 |
| Divergee5 | Quinten Hermans | 0 | 0 | 0 |
| arne-b | Roger Adriá | 0 | 0 | 0 |
| Solesticio | Rui Costa | 0 | 0 | 0 |
| TwistedWitch | Sjoerd Bax | 0 | 0 | 0 |
| CO2generator | Tadej Pogacar | 0 | 0 | 0 |
| fewfiet | Tadej Pogacar | 0 | 0 | 0 |
| Joder-tio | Tadej Pogacar | 0 | 0 | 0 |
| narlano | Tadej Pogacar | 0 | 0 | 0 |
| Nussig | Tadej Pogacar | 0 | 0 | 0 |
| rjbman | Tadej Pogacar | 0 | 0 | 0 |
| ssfoxx27 | Tadej Pogacar | 0 | 0 | 0 |
| VeggieLegs21 | Tadej Pogacar | 0 | 0 | 0 |
| hossman3000 | Victor Lafay | 0 | 0 | 0 |
Riders
The Top 30 finishers were:
| Rank | Rider | Picks | Base | Bonus |
|---|---|---|---|---|
| 1 | Remco Evenepoel | 5 | 350 | 0 |
| 2 | Tom Pidcock | 0 | 280 | 0 |
| 3 | Santiago Buitrago | 0 | 210 | 0 |
| 4 | Ben Healy | 2 | 175 | 0 |
| 5 | Valentin Madouas | 5 | 158 | 0 |
| 6 | Guillaume Martin | 0 | 140 | 0 |
| 7 | Tiesj Benoot | 5 | 126 | 0 |
| 8 | Patrick Konrad | 0 | 112 | 0 |
| 9 | Mattias Skjelmose Jensen | 3 | 101 | 0 |
| 10 | Marc Hirschi | 0 | 91 | 0 |
| 11 | Maxim Van Gils | 5 | 84 | 0 |
| 12 | Michael Woods | 0 | 78 | 0 |
| 13 | Giulio Ciccone | 2 | 70 | 0 |
| 14 | Pavel Sivakov | 0 | 62 | 0 |
| 15 | Romain Bardet | 4 | 56 | 0 |
| 16 | Ion Izagirre | 0 | 52 | 0 |
| 17 | Laurens De Plus | 0 | 48 | 0 |
| 18 | Aurélien Paret-Peintre | 1 | 45 | 45 |
| 19 | Simone Velasco | 0 | 42 | 0 |
| 20 | Lorenzo Rota | 1 | 39 | 39 |
| 21 | Matteo Sobrero | 0 | 35 | 0 |
| 22 | Ilan Van Wilder | 0 | 32 | 0 |
| 23 | Ruben Guerreiro | 0 | 28 | 0 |
| 24 | Halland Johannessen Tobias | 1 | 25 | 25 |
| 25 | Jan Tratnik | 0 | 21 | 0 |
| 26 | Attila Valter | 2 | 18 | 0 |
| 27 | Kobe Goossens | 0 | 14 | 0 |
| 28 | Alessandro De Marchi | 0 | 10 | 0 |
| 29 | Bauke Mollema | 0 | 8 | 0 |
| 30 | Steff Cras | 0 | 4 | 0 |
La Flèche Wallonne
Single Rider Fantasy League 2023
Results
Players
A total of 63 players entered:
| User | Pick | Base | Bonus | Score |
|---|---|---|---|---|
| Robbenklopper | Mikel Landa | 108 | 42 | 150 |
| MrR2D | Attila Valter | 43 | 30 | 73 |
| JDdieSonne | Mattias Skjelmose Jensen | 72 | 0 | 72 |
| Norskov | Mattias Skjelmose Jensen | 72 | 0 | 72 |
| Gta352 | Alex Aranburu | 36 | 27 | 63 |
| AwakenTheBacon_ | Ilan Van Wilder | 32 | 26 | 58 |
| CO2generator | Tadej Pogacar | 45 | 0 | 45 |
| fewfiet | Tadej Pogacar | 45 | 0 | 45 |
| Nussig | Tadej Pogacar | 45 | 0 | 45 |
| yellow52 | Tadej Pogacar | 45 | 0 | 45 |
| ZBGT | Tom Pidcock | 23 | 20 | 43 |
| the_ginger27 | Quinten Hermans | 22 | 18 | 40 |
| aidikay | Maxim Van Gils | 29 | 0 | 29 |
| YourBeneluxOverlords | Maxim Van Gils | 29 | 0 | 29 |
| BSantos57 | Giulio Ciccone | 27 | 0 | 27 |
| CudoLanda | Giulio Ciccone | 27 | 0 | 27 |
| ser-seaworth | Giulio Ciccone | 27 | 0 | 27 |
| Sappert | Romain Bardet | 26 | 0 | 26 |
| vbarrielle | Romain Bardet | 26 | 0 | 26 |
| nahgoe16 | Kobe Goossens | 11 | 9 | 20 |
| bassmanyoowan | Michael Woods | 15 | 0 | 15 |
| burden321 | Michael Woods | 15 | 0 | 15 |
| BWallis17 | Michael Woods | 15 | 0 | 15 |
| DerpTrain | Michael Woods | 15 | 0 | 15 |
| Joder-tio | Michael Woods | 15 | 0 | 15 |
| Zeckesan | Michael Woods | 15 | 0 | 15 |
| GmckAgar | Victor Lafay | 14.4 | 0 | 14.4 |
| Goutye | Victor Lafay | 14.4 | 0 | 14.4 |
| hossman3000 | Victor Lafay | 14.4 | 0 | 14.4 |
| paaulo | Victor Lafay | 14.4 | 0 | 14.4 |
| Seabhac7 | Victor Lafay | 14.4 | 0 | 14.4 |
| Miserable_Hour | Ion Izagirre | 7 | 6 | 13 |
| andytheciderman | Warren Barguil | 7.8 | 0 | 7.8 |
| arne-b | Warren Barguil | 7.8 | 0 | 7.8 |
| DorHarris | Warren Barguil | 7.8 | 0 | 7.8 |
| KhaledHisham_22 | Warren Barguil | 7.8 | 0 | 7.8 |
| mcrorigan | Warren Barguil | 7.8 | 0 | 7.8 |
| VeggieLegs21 | Warren Barguil | 7.8 | 0 | 7.8 |
| MacJokic | Enric Mas | 6.3 | 0 | 6.3 |
| MadnessBeliever | Enric Mas | 6.3 | 0 | 6.3 |
| Perlut | Enric Mas | 6.3 | 0 | 6.3 |
| Xcpa9 | Enric Mas | 6.3 | 0 | 6.3 |
| Solesticio | Ruben Guerreiro | 2 | 2 | 4 |
| edlll91 | Alexey Lutsenko | 0 | 0 | 0 |
| Positive_Ad2228 | Alexey Lutsenko | 0 | 0 | 0 |
| Salty-Level | Andreas Kron | 0 | 0 | 0 |
| ssfoxx27 | Andreas Kron | 0 | 0 | 0 |
| Tuttle_not_Buttle | Bauke Mollema | 0 | 0 | 0 |
| Divergee5 | Ben Healy | 0 | 0 | 0 |
| paulindy2000 | David Gaudu | 0 | 0 | 0 |
| f1phoenix | Guillaume Martin | 0 | 0 | 0 |
| bdrammel | Jai Hindley | 0 | 0 | 0 |
| frozahh | Jai Hindley | 0 | 0 | 0 |
| RaylanGivens8 | Jai Hindley | 0 | 0 | 0 |
| Judas_Bishop | Jesus Herrada | 0 | 0 | 0 |
| TwistedWitch | Marco Tizza | 0 | 0 | 0 |
| rjbman | Neilson Powless | 0 | 0 | 0 |
| spkr4thedead51 | Neilson Powless | 0 | 0 | 0 |
| Eyeconoclastic | Omar Fraile | 0 | 0 | 0 |
| Mattxps | Rudy Molard | 0 | 0 | 0 |
| juraj_is_better | Sergio Higuita | 0 | 0 | 0 |
| Kryziven | Sergio Higuita | 0 | 0 | 0 |
| Thomas1VL | Sergio Higuita | 0 | 0 | 0 |
Riders
The Top 30 finishers were:
| Rank | Rider | Picks | Base | Bonus |
|---|---|---|---|---|
| 1 | Tadej Pogacar | 4 | 180 | 0 |
| 2 | Mattias Skjelmose Jensen | 2 | 144 | 0 |
| 3 | Mikel Landa | 1 | 108 | 42 |
| 4 | Michael Woods | 6 | 90 | 0 |
| 5 | Giulio Ciccone | 3 | 81 | 0 |
| 6 | Victor Lafay | 5 | 72 | 0 |
| 7 | Tiesj Benoot | 0 | 65 | 0 |
| 8 | Maxim Van Gils | 2 | 58 | 0 |
| 9 | Romain Bardet | 2 | 52 | 0 |
| 10 | Warren Barguil | 6 | 47 | 0 |
| 11 | Attila Valter | 1 | 43 | 30 |
| 12 | Roger Adriá | 0 | 40 | 0 |
| 13 | Alex Aranburu | 1 | 36 | 27 |
| 14 | Ilan Van Wilder | 1 | 32 | 26 |
| 15 | Halland Johannessen Tobias | 0 | 29 | 0 |
| 16 | Mauro Schmid | 0 | 27 | 0 |
| 17 | Enric Mas | 4 | 25 | 0 |
| 18 | Tom Pidcock | 1 | 23 | 20 |
| 19 | Quinten Hermans | 1 | 22 | 18 |
| 20 | Esteban Chaves | 0 | 20 | 0 |
| 21 | Matteo Sobrero | 0 | 18 | 0 |
| 22 | Lennert Van Eetvelt | 0 | 16 | 0 |
| 23 | Matej Mohoric | 0 | 14 | 0 |
| 24 | Valentin Madouas | 0 | 13 | 0 |
| 25 | Kobe Goossens | 1 | 11 | 9 |
| 26 | Robert Stannard | 0 | 9 | 0 |
| 27 | Ion Izagirre | 1 | 7 | 6 |
| 28 | Mathieu Burgaudeau | 0 | 5 | 0 |
| 29 | Alex Baudin | 0 | 3 | 0 |
| 30 | Ruben Guerreiro | 1 | 2 | 2 |
Amstel Gold Race
Single Rider Fantasy League 2023
Results
Players
A total of 77 players entered:
| User | Pick | Base | Bonus | Score |
|---|---|---|---|---|
| Seabhac7 | Ben Healy | 144 | 44 | 188 |
| MrR2D | Andrea Bagioli | 72 | 38 | 110 |
| Zeckesan | Alexander Kamp | 52 | 33 | 85 |
| f1phoenix | Gianni Vermeersch | 32 | 26 | 58 |
| DorHarris | Tom Pidcock | 36 | 0 | 36 |
| Mattho | Tom Pidcock | 36 | 0 | 36 |
| Thomas1VL | Tom Pidcock | 36 | 0 | 36 |
| Miserable_Hour | Maxim Van Gils | 32.5 | 0 | 32.5 |
| Robbenklopper | Maxim Van Gils | 32.5 | 0 | 32.5 |
| aidikay | Tadej Pogacar | 25.7 | 0 | 25.7 |
| fewfiet | Tadej Pogacar | 25.7 | 0 | 25.7 |
| iamczecksy | Tadej Pogacar | 25.7 | 0 | 25.7 |
| juraj_is_better | Tadej Pogacar | 25.7 | 0 | 25.7 |
| ssfoxx27 | Tadej Pogacar | 25.7 | 0 | 25.7 |
| syn69 | Tadej Pogacar | 25.7 | 0 | 25.7 |
| Tuttle_not_Buttle | Tadej Pogacar | 25.7 | 0 | 25.7 |
| mussekuuper | Axel Zingle | 23.5 | 0 | 23.5 |
| vrobrolf | Axel Zingle | 23.5 | 0 | 23.5 |
| moipaslui | Valentin Madouas | 21.5 | 0 | 21.5 |
| Salty-Level | Valentin Madouas | 21.5 | 0 | 21.5 |
| Norskov | Mattias Skjelmose Jensen | 19.3 | 0 | 19.3 |
| PolarJace | Mattias Skjelmose Jensen | 19.3 | 0 | 19.3 |
| VeggieLegs21 | Mattias Skjelmose Jensen | 19.3 | 0 | 19.3 |
| BWallis17 | Alexey Lutsenko | 16.2 | 0 | 16.2 |
| edlll91 | Alexey Lutsenko | 16.2 | 0 | 16.2 |
| frozahh | Alexey Lutsenko | 16.2 | 0 | 16.2 |
| kjjjz | Alexey Lutsenko | 16.2 | 0 | 16.2 |
| yellow52 | Alexey Lutsenko | 16.2 | 0 | 16.2 |
| AwakenTheBacon_ | Toms Skujins | 5 | 5 | 10 |
| JDdieSonne | Tiesj Benoot | 7.3 | 0 | 7.3 |
| Nussig | Tiesj Benoot | 7.3 | 0 | 7.3 |
| spkr4thedead51 | Tiesj Benoot | 7.3 | 0 | 7.3 |
| YourBeneluxOverlords | Tiesj Benoot | 7.3 | 0 | 7.3 |
| alpal2214 | Remi Cavagna | 4.7 | 0 | 4.7 |
| burden321 | Remi Cavagna | 4.7 | 0 | 4.7 |
| Eyeconoclastic | Remi Cavagna | 4.7 | 0 | 4.7 |
| andytheciderman | Benoît Cosnefroy | 3 | 0 | 3 |
| arne-b | Benoît Cosnefroy | 3 | 0 | 3 |
| copycatrfl | Benoît Cosnefroy | 3 | 0 | 3 |
| Divergee5 | Benoît Cosnefroy | 3 | 0 | 3 |
| paulindy2000 | Benoît Cosnefroy | 3 | 0 | 3 |
| vbarrielle | Benoît Cosnefroy | 3 | 0 | 3 |
| CO2generator | Attila Valter | 0.3 | 0 | 0.3 |
| D4RK_3LF | Attila Valter | 0.3 | 0 | 0.3 |
| MacJokic | Attila Valter | 0.3 | 0 | 0.3 |
| narlano | Attila Valter | 0.3 | 0 | 0.3 |
| RaylanGivens8 | Attila Valter | 0.3 | 0 | 0.3 |
| the_ginger27 | Attila Valter | 0.3 | 0 | 0.3 |
| TwistedWitch | Attila Valter | 0.3 | 0 | 0.3 |
| KhaledHisham_22 | Alex Aranburu | 0 | 0 | 0 |
| CudoLanda | David Gaudu | 0 | 0 | 0 |
| Judas_Bishop | Ide Schelling | 0 | 0 | 0 |
| nahgoe16 | Lilian Calmejane | 0 | 0 | 0 |
| Sappert | Magnus Sheffield | 0 | 0 | 0 |
| baat | Matej Mohoric | 0 | 0 | 0 |
| Positive_Ad2228 | Matej Mohoric | 0 | 0 | 0 |
| HalfRust | Matteo Jorgenson | 0 | 0 | 0 |
| K2daL | Matteo Jorgenson | 0 | 0 | 0 |
| BSantos57 | Mauro Schmid | 0 | 0 | 0 |
| Perlut | Mauro Schmid | 0 | 0 | 0 |
| ZBGT | Mauro Schmid | 0 | 0 | 0 |
| Joder-tio | Michael Woods | 0 | 0 | 0 |
| GmckAgar | Mikkel Honore | 0 | 0 | 0 |
| bassmanyoowan | Neilson Powless | 0 | 0 | 0 |
| DerpTrain | Neilson Powless | 0 | 0 | 0 |
| Gta352 | Neilson Powless | 0 | 0 | 0 |
| rjbman | Neilson Powless | 0 | 0 | 0 |
| Xcpa9 | Neilson Powless | 0 | 0 | 0 |
| markp88 | Nikias Arndt | 0 | 0 | 0 |
| hossman3000 | Quinn Simmons | 0 | 0 | 0 |
| Goutye | Romain Grégoire | 0 | 0 | 0 |
| paaulo | Ruben Guerreiro | 0 | 0 | 0 |
| Stanyer | Sean Quinn | 0 | 0 | 0 |
| BaconEggNCheeses | Sergio Higuita | 0 | 0 | 0 |
| MadnessBeliever | Sergio Higuita | 0 | 0 | 0 |
| Mjkittens | Sergio Higuita | 0 | 0 | 0 |
| Mattxps | Warren Barguil | 0 | 0 | 0 |
Riders
The Top 30 finishers were:
| Rank | Rider | Picks | Base | Bonus |
|---|---|---|---|---|
| 1 | Tadej Pogacar | 7 | 180 | 0 |
| 2 | Ben Healy | 1 | 144 | 44 |
| 3 | Tom Pidcock | 3 | 108 | 0 |
| 4 | Andreas Kron | 0 | 90 | 0 |
| 5 | Alexey Lutsenko | 5 | 81 | 0 |
| 6 | Andrea Bagioli | 1 | 72 | 38 |
| 7 | Maxim Van Gils | 2 | 65 | 0 |
| 8 | Mattias Skjelmose Jensen | 3 | 58 | 0 |
| 9 | Alexander Kamp | 1 | 52 | 33 |
| 10 | Axel Zingle | 2 | 47 | 0 |
| 11 | Valentin Madouas | 2 | 43 | 0 |
| 12 | Jai Hindley | 0 | 40 | 0 |
| 13 | Valentin Ferron | 0 | 36 | 0 |
| 14 | Gianni Vermeersch | 1 | 32 | 26 |
| 15 | Tiesj Benoot | 4 | 29 | 0 |
| 16 | Kevin Geniets | 0 | 27 | 0 |
| 17 | Simone Velasco | 0 | 25 | 0 |
| 18 | Pascal Eenkhoorn | 0 | 23 | 0 |
| 19 | Mathieu Burgaudeau | 0 | 22 | 0 |
| 20 | Simon Clarke | 0 | 20 | 0 |
| 21 | Benoît Cosnefroy | 6 | 18 | 0 |
| 22 | Wout Poels | 0 | 16 | 0 |
| 23 | Remi Cavagna | 3 | 14 | 0 |
| 24 | Sandy Dujardin | 0 | 13 | 0 |
| 25 | Stan Van Tricht | 0 | 11 | 0 |
| 26 | Greg Van Avermaet | 0 | 9 | 0 |
| 27 | Matthew Dinham | 0 | 7 | 0 |
| 28 | Toms Skujins | 1 | 5 | 5 |
| 29 | Bauke Mollema | 0 | 3 | 0 |
| 30 | Attila Valter | 7 | 2 | 0 |
Paris–Roubaix
Single Rider Fantasy League 2023
Results
Players
A total of 76 players entered:
| User | Pick | Base | Bonus | Score |
|---|---|---|---|---|
| Divergee5 | Christophe Laporte | 91 | 84 | 175 |
| alpal2214 | Jasper Philipsen | 140 | 0 | 140 |
| Sappert | Jasper Philipsen | 140 | 0 | 140 |
| f1phoenix | Jasper Stuyven | 39 | 39 | 78 |
| iamczecksy | Wout van Aert | 70 | 0 | 70 |
| Joder-tio | Wout van Aert | 70 | 0 | 70 |
| YourBeneluxOverlords | Wout van Aert | 70 | 0 | 70 |
| HalfRust | Søren Wærenskjold | 32 | 32 | 64 |
| Robbenklopper | Max Walscheid | 56 | 0 | 56 |
| ser-seaworth | Max Walscheid | 56 | 0 | 56 |
| CudoLanda | Stefan Küng | 52.7 | 0 | 52.7 |
| Goutye | Stefan Küng | 52.7 | 0 | 52.7 |
| vbarrielle | Stefan Küng | 52.7 | 0 | 52.7 |
| aidikay | Mathieu van der Poel | 50 | 0 | 50 |
| baat | Mathieu van der Poel | 50 | 0 | 50 |
| fewfiet | Mathieu van der Poel | 50 | 0 | 50 |
| Mattho | Mathieu van der Poel | 50 | 0 | 50 |
| Nussig | Mathieu van der Poel | 50 | 0 | 50 |
| vrobrolf | Mathieu van der Poel | 50 | 0 | 50 |
| Xcpa9 | Mathieu van der Poel | 50 | 0 | 50 |
| BaconEggNCheeses | Mads Pedersen | 43.8 | 0 | 43.8 |
| bassmanyoowan | Mads Pedersen | 43.8 | 0 | 43.8 |
| Salty-Level | Mads Pedersen | 43.8 | 0 | 43.8 |
| Zeckesan | Mads Pedersen | 43.8 | 0 | 43.8 |
| Mjkittens | Filippo Ganna | 23.3 | 0 | 23.3 |
| Perlut | Filippo Ganna | 23.3 | 0 | 23.3 |
| Solesticio | Filippo Ganna | 23.3 | 0 | 23.3 |
| ssfoxx27 | Filippo Ganna | 23.3 | 0 | 23.3 |
| Stanyer | Filippo Ganna | 23.3 | 0 | 23.3 |
| yellow52 | Filippo Ganna | 23.3 | 0 | 23.3 |
| AwakenTheBacon_ | John Degenkolb | 21 | 0 | 21 |
| D4RK_3LF | John Degenkolb | 21 | 0 | 21 |
| GmckAgar | John Degenkolb | 21 | 0 | 21 |
| Judas_Bishop | John Degenkolb | 21 | 0 | 21 |
| narlano | John Degenkolb | 21 | 0 | 21 |
| paaulo | John Degenkolb | 21 | 0 | 21 |
| copycatrfl | Florian Vermeersch | 19.5 | 0 | 19.5 |
| deferential | Florian Vermeersch | 19.5 | 0 | 19.5 |
| MadnessBeliever | Florian Vermeersch | 19.5 | 0 | 19.5 |
| RaylanGivens8 | Florian Vermeersch | 19.5 | 0 | 19.5 |
| arne-b | Matteo Trentin | 10.5 | 0 | 10.5 |
| burden321 | Matteo Trentin | 10.5 | 0 | 10.5 |
| MacJokic | Matteo Trentin | 10.5 | 0 | 10.5 |
| Thomas1VL | Matteo Trentin | 10.5 | 0 | 10.5 |
| detestrian | Yves Lampaert | 4.2 | 0 | 4.2 |
| DorHarris | Yves Lampaert | 4.2 | 0 | 4.2 |
| Eyeconoclastic | Yves Lampaert | 4.2 | 0 | 4.2 |
| Kryziven | Yves Lampaert | 4.2 | 0 | 4.2 |
| mcrorigan | Yves Lampaert | 4.2 | 0 | 4.2 |
| MrR2D | Yves Lampaert | 4.2 | 0 | 4.2 |
| KhaledHisham_22 | Matej Mohoric | 4 | 0 | 4 |
| SoniMax | Matej Mohoric | 4 | 0 | 4 |
| BSantos57 | Anthony Turgis | 0 | 0 | 0 |
| CO2generator | Arnaud De Lie | 0 | 0 | 0 |
| edlll91 | Arnaud De Lie | 0 | 0 | 0 |
| Gta352 | Arnaud De Lie | 0 | 0 | 0 |
| Miserable_Hour | Arnaud De Lie | 0 | 0 | 0 |
| juraj_is_better | Dylan van Baarle | 0 | 0 | 0 |
| paulindy2000 | Florian Sénéchal | 0 | 0 | 0 |
| andytheciderman | Fred Wright | 0 | 0 | 0 |
| markp88 | Fred Wright | 0 | 0 | 0 |
| Mattxps | Fred Wright | 0 | 0 | 0 |
| Pure_Necessary_1372 | Fred Wright | 0 | 0 | 0 |
| the_ginger27 | Frederik Frison | 0 | 0 | 0 |
| Positive_Ad2228 | Iván García Cortina | 0 | 0 | 0 |
| VeggieLegs21 | Jonas Rutsch | 0 | 0 | 0 |
| nahgoe16 | Jonathan Milan | 0 | 0 | 0 |
| kjjjz | Kasper Asgreen | 0 | 0 | 0 |
| spkr4thedead51 | Kasper Asgreen | 0 | 0 | 0 |
| K2daL | Mathias Norsgaard | 0 | 0 | 0 |
| ZBGT | Matis Louvel | 0 | 0 | 0 |
| Norskov | Mikkel Bjerg | 0 | 0 | 0 |
| BWallis17 | Nils Politt | 0 | 0 | 0 |
| JDdieSonne | Nils Politt | 0 | 0 | 0 |
| Tuttle_not_Buttle | Nils Politt | 0 | 0 | 0 |
| Seabhac7 | Oier Lazkano | 0 | 0 | 0 |
Riders
The Top 30 finishers were:
| Rank | Rider | Picks | Base | Bonus |
|---|---|---|---|---|
| 1 | Mathieu van der Poel | 7 | 350 | 0 |
| 2 | Jasper Philipsen | 2 | 280 | 0 |
| 3 | Wout van Aert | 3 | 210 | 0 |
| 4 | Mads Pedersen | 4 | 175 | 0 |
| 5 | Stefan Küng | 3 | 158 | 0 |
| 6 | Filippo Ganna | 6 | 140 | 0 |
| 7 | John Degenkolb | 6 | 126 | 0 |
| 8 | Max Walscheid | 2 | 112 | 0 |
| 9 | Laurenz Rex | 0 | 101 | 0 |
| 10 | Christophe Laporte | 1 | 91 | 84 |
| 11 | Gianni Vermeersch | 0 | 84 | 0 |
| 12 | Florian Vermeersch | 4 | 78 | 0 |
| 13 | Sjoerd Bax | 0 | 70 | 0 |
| 14 | Nathan Van Hooydonck | 0 | 62 | 0 |
| 15 | Alexander Kristoff | 0 | 56 | 0 |
| 16 | Sep Vanmarcke | 0 | 52 | 0 |
| 17 | Mike Teunissen | 0 | 48 | 0 |
| 18 | Dries van Gestel | 0 | 45 | 0 |
| 19 | Matteo Trentin | 4 | 42 | 0 |
| 20 | Jasper Stuyven | 1 | 39 | 39 |
| 21 | Luca Mozzato | 0 | 35 | 0 |
| 22 | Søren Wærenskjold | 1 | 32 | 32 |
| 23 | Tim Merlier | 0 | 28 | 0 |
| 24 | Yves Lampaert | 6 | 25 | 0 |
| 25 | Lewis Askey | 0 | 21 | 0 |
| 26 | Yevgeniy Fedorov | 0 | 18 | 0 |
| 27 | Cédric Beullens | 0 | 14 | 0 |
| 28 | Alexis Renard | 0 | 10 | 0 |
| 29 | Matej Mohoric | 2 | 8 | 0 |
| 30 | Tom Van Asbroeck | 0 | 4 | 0 |
Itzulia Basque Country
Single Rider Fantasy League 2023
Entries
Players
A total of 66 players entered:
| User | Pick | Base | Bonus | Score |
|---|---|---|---|---|
| alpal2214 | Mikel Landa | 80 | 0 | 80 |
| ser-seaworth | Mikel Landa | 80 | 0 | 80 |
| aidikay | Jonas Vingegaard | 50 | 0 | 50 |
| fewfiet | Jonas Vingegaard | 50 | 0 | 50 |
| Joder-tio | Jonas Vingegaard | 50 | 0 | 50 |
| juraj_is_better | Jonas Vingegaard | 50 | 0 | 50 |
| HalfRust | Emanuel Buchmann | 24 | 24 | 48 |
| f1phoenix | Brandon McNulty | 36 | 0 | 36 |
| GmckAgar | Brandon McNulty | 36 | 0 | 36 |
| Kryziven | Enric Mas | 30 | 0 | 30 |
| Nussig | Enric Mas | 30 | 0 | 30 |
| SoniMax | Enric Mas | 30 | 0 | 30 |
| mcrorigan | Pedro Lopez Juan | 14 | 14 | 28 |
| DerpTrain | Sergio Higuita | 26.7 | 0 | 26.7 |
| kjjjz | Sergio Higuita | 26.7 | 0 | 26.7 |
| narlano | Sergio Higuita | 26.7 | 0 | 26.7 |
| Mattxps | Felix Gall | 26 | 0 | 26 |
| MrR2D | Felix Gall | 26 | 0 | 26 |
| MadnessBeliever | David Gaudu | 25 | 0 | 25 |
| Miserable_Hour | David Gaudu | 25 | 0 | 25 |
| paulindy2000 | David Gaudu | 25 | 0 | 25 |
| vbarrielle | David Gaudu | 25 | 0 | 25 |
| CO2generator | Mauro Schmid | 24 | 0 | 24 |
| yellow52 | Mauro Schmid | 24 | 0 | 24 |
| PolarJace | Esteban Chaves | 22 | 0 | 22 |
| Robbenklopper | Esteban Chaves | 22 | 0 | 22 |
| burden321 | Ion Izagirre | 17.1 | 0 | 17.1 |
| BWallis17 | Ion Izagirre | 17.1 | 0 | 17.1 |
| Divergee5 | Ion Izagirre | 17.1 | 0 | 17.1 |
| MacJokic | Ion Izagirre | 17.1 | 0 | 17.1 |
| Positive_Ad2228 | Ion Izagirre | 17.1 | 0 | 17.1 |
| Tuttle_not_Buttle | Ion Izagirre | 17.1 | 0 | 17.1 |
| Zeckesan | Ion Izagirre | 17.1 | 0 | 17.1 |
| AwakenTheBacon_ | Rigoberto Uran | 13 | 0 | 13 |
| VeggieLegs21 | Rigoberto Uran | 13 | 0 | 13 |
| BSantos57 | Simon Yates | 11.6 | 0 | 11.6 |
| Gta352 | Simon Yates | 11.6 | 0 | 11.6 |
| JDdieSonne | Simon Yates | 11.6 | 0 | 11.6 |
| KhaledHisham_22 | Simon Yates | 11.6 | 0 | 11.6 |
| RaylanGivens8 | Simon Yates | 11.6 | 0 | 11.6 |
| andytheciderman | Mattias Skjelmose Jensen | 9.3 | 0 | 9.3 |
| Norskov | Mattias Skjelmose Jensen | 9.3 | 0 | 9.3 |
| Seabhac7 | Mattias Skjelmose Jensen | 9.3 | 0 | 9.3 |
| arne-b | Ruben Guerreiro | 5.3 | 0 | 5.3 |
| hossman3000 | Ruben Guerreiro | 5.3 | 0 | 5.3 |
| paaulo | Ruben Guerreiro | 5.3 | 0 | 5.3 |
| TwistedWitch | Andrey Amador | 0 | 0 | 0 |
| Eyeconoclastic | Daniel Martinez | 0 | 0 | 0 |
| Judas_Bishop | Daniel Martinez | 0 | 0 | 0 |
| markp88 | Daniel Martinez | 0 | 0 | 0 |
| Sappert | Daniel Martinez | 0 | 0 | 0 |
| ZBGT | Harm Vanhoucke | 0 | 0 | 0 |
| DorHarris | Juan Ayuso | 0 | 0 | 0 |
| Goutye | Lucas Plapp | 0 | 0 | 0 |
| Mattho | Lucas Plapp | 0 | 0 | 0 |
| CudoLanda | Marc Soler | 0 | 0 | 0 |
| Perlut | Marc Soler | 0 | 0 | 0 |
| Salty-Level | Mauri Vansevenant | 0 | 0 | 0 |
| iamczecksy | Pello Bilbao | 0 | 0 | 0 |
| spkr4thedead51 | Pello Bilbao | 0 | 0 | 0 |
| vrobrolf | Pello Bilbao | 0 | 0 | 0 |
| moipaslui | Pierre Latour | 0 | 0 | 0 |
| nahgoe16 | Pierre Latour | 0 | 0 | 0 |
| Stanyer | Richard Carapaz | 0 | 0 | 0 |
| copycatrfl | Rui Costa | 0 | 0 | 0 |
| ssfoxx27 | Rui Costa | 0 | 0 | 0 |
Riders
The Top 30 finishers were:
| Rank | Rider | Picks | Base | Bonus |
|---|---|---|---|---|
| 1 | Jonas Vingegaard | 4 | 200 | 0 |
| 2 | Mikel Landa | 2 | 160 | 0 |
| 3 | Ion Izagirre | 7 | 120 | 0 |
| 4 | David Gaudu | 4 | 100 | 0 |
| 5 | Enric Mas | 3 | 90 | 0 |
| 6 | Sergio Higuita | 3 | 80 | 0 |
| 7 | Brandon McNulty | 2 | 72 | 0 |
| 8 | James Knox | 0 | 64 | 0 |
| 9 | Simon Yates | 5 | 58 | 0 |
| 10 | Felix Gall | 2 | 52 | 0 |
| 11 | Mauro Schmid | 2 | 48 | 0 |
| 12 | Esteban Chaves | 2 | 44 | 0 |
| 13 | Attila Valter | 0 | 40 | 0 |
| 14 | Cristian Rodriguez | 0 | 36 | 0 |
| 15 | Rein Taaramäe | 0 | 32 | 0 |
| 16 | Matteo Sobrero | 0 | 30 | 0 |
| 17 | Mattias Skjelmose Jensen | 3 | 28 | 0 |
| 18 | Rigoberto Uran | 2 | 26 | 0 |
| 19 | Emanuel Buchmann | 1 | 24 | 24 |
| 20 | Victor De La Parte | 0 | 22 | 0 |
| 21 | Mikel Bizkarra | 0 | 20 | 0 |
| 22 | León Sánchez Luis | 0 | 18 | 0 |
| 23 | Ruben Guerreiro | 3 | 16 | 0 |
| 24 | Pedro Lopez Juan | 1 | 14 | 14 |
| 25 | Mattia Cattaneo | 0 | 12 | 0 |
| 26 | Andreas Leknessund | 0 | 10 | 0 |
| 27 | Igor Arrieta | 0 | 8 | 0 |
| 28 | Hermann Pernsteiner | 0 | 6 | 0 |
| 29 | Sam Oomen | 0 | 4 | 0 |
| 30 | Simon Guglielmi | 0 | 2 | 0 |
Ronde van Vlaanderen
Single Rider Fantasy League 2023
Results
Players
A total of 78 players entered:
| User | Pick | Base | Bonus | Score |
|---|---|---|---|---|
| GmckAgar | Kasper Asgreen | 126 | 96 | 222 |
| BSantos57 | Mads Pedersen | 105 | 0 | 105 |
| Zeckesan | Mads Pedersen | 105 | 0 | 105 |
| TuttlenotButtle | Anthony Turgis | 48 | 48 | 96 |
| MacJokic | Alexander Kristoff | 45 | 45 | 90 |
| Eyeconoclastic | Stefan Küng | 70 | 0 | 70 |
| Goutye | Stefan Küng | 70 | 0 | 70 |
| BaconEggNCheeses | Tadej Pogacar | 58.3 | 0 | 58.3 |
| DorHarris | Tadej Pogacar | 58.3 | 0 | 58.3 |
| Mattxps | Tadej Pogacar | 58.3 | 0 | 58.3 |
| Miserable_Hour | Tadej Pogacar | 58.3 | 0 | 58.3 |
| Mjkittens | Tadej Pogacar | 58.3 | 0 | 58.3 |
| Stanyer | Tadej Pogacar | 58.3 | 0 | 58.3 |
| baat | Jasper Stuyven | 18 | 18 | 36 |
| AwakenTheBacon_ | Tiesj Benoot | 35 | 0 | 35 |
| kjjjz | Tiesj Benoot | 35 | 0 | 35 |
| fewfiet | Mathieu van der Poel | 31.1 | 0 | 31.1 |
| Kryziven | Mathieu van der Poel | 31.1 | 0 | 31.1 |
| Mattho | Mathieu van der Poel | 31.1 | 0 | 31.1 |
| mussekuuper | Mathieu van der Poel | 31.1 | 0 | 31.1 |
| narlano | Mathieu van der Poel | 31.1 | 0 | 31.1 |
| Nussig | Mathieu van der Poel | 31.1 | 0 | 31.1 |
| VeggieLegs21 | Mathieu van der Poel | 31.1 | 0 | 31.1 |
| vrobrolf | Mathieu van der Poel | 31.1 | 0 | 31.1 |
| yellow52 | Mathieu van der Poel | 31.1 | 0 | 31.1 |
| andytheciderman | Christophe Laporte | 31 | 0 | 31 |
| Salty-Level | Christophe Laporte | 31 | 0 | 31 |
| ZBGT | Matis Louvel | 14 | 14 | 28 |
| Divergee5 | Neilson Powless | 26.3 | 0 | 26.3 |
| f1phoenix | Neilson Powless | 26.3 | 0 | 26.3 |
| MrR2D | Neilson Powless | 26.3 | 0 | 26.3 |
| PolarJace | Neilson Powless | 26.3 | 0 | 26.3 |
| rjbman | Neilson Powless | 26.3 | 0 | 26.3 |
| Xcpa9 | Neilson Powless | 26.3 | 0 | 26.3 |
| aidikay | Wout van Aert | 25 | 0 | 25 |
| Gta352 | Wout van Aert | 25 | 0 | 25 |
| HalfRust | Wout van Aert | 25 | 0 | 25 |
| hossman3000 | Wout van Aert | 25 | 0 | 25 |
| iamczecksy | Wout van Aert | 25 | 0 | 25 |
| markp88 | Wout van Aert | 25 | 0 | 25 |
| YourBeneluxOverlords | Wout van Aert | 25 | 0 | 25 |
| BWallis17 | Matteo Jorgenson | 20.2 | 0 | 20.2 |
| K2daL | Matteo Jorgenson | 20.2 | 0 | 20.2 |
| Positive_Ad2228 | Matteo Jorgenson | 20.2 | 0 | 20.2 |
| spkr4thedead51 | Matteo Jorgenson | 20.2 | 0 | 20.2 |
| ssfoxx27 | Matteo Jorgenson | 20.2 | 0 | 20.2 |
| nahgoe16 | Magnus Sheffield | 10 | 10 | 20 |
| arne-b | Iván García Cortina | 17.5 | 0 | 17.5 |
| Seabhac7 | Iván García Cortina | 17.5 | 0 | 17.5 |
| burden321 | Jhonnatan Narvaez | 10.5 | 0 | 10.5 |
| paaulo | Jhonnatan Narvaez | 10.5 | 0 | 10.5 |
| bdrammel | Sep Vanmarcke | 8.3 | 0 | 8.3 |
| copycatrfl | Sep Vanmarcke | 8.3 | 0 | 8.3 |
| Judas_Bishop | Sep Vanmarcke | 8.3 | 0 | 8.3 |
| alpal2214 | Biniam Girmay | 0 | 0 | 0 |
| Solesticio | Biniam Girmay | 0 | 0 | 0 |
| CO2generator | Danny van Poppel | 0 | 0 | 0 |
| detestrian | Dylan van Baarle | 0 | 0 | 0 |
| MadnessBeliever | Frederik Frison | 0 | 0 | 0 |
| jurajisbetter | Julian Alaphilippe | 0 | 0 | 0 |
| mcrorigan | Julian Alaphilippe | 0 | 0 | 0 |
| Sappert | Kragh Andersen Søren | 0 | 0 | 0 |
| DerpTrain | Matej Mohoric | 0 | 0 | 0 |
| Joder-tio | Matej Mohoric | 0 | 0 | 0 |
| KhaledHisham_22 | Michael Matthews | 0 | 0 | 0 |
| RaylanGivens8 | Michael Matthews | 0 | 0 | 0 |
| Norskov | Mikkel Honore | 0 | 0 | 0 |
| Robbenklopper | Olivier Le Gac | 0 | 0 | 0 |
| ser-seaworth | Stan Dewulf | 0 | 0 | 0 |
| TwistedWitch | Tim Declercq | 0 | 0 | 0 |
| PureNecessary1372 | Tom Pidcock | 0 | 0 | 0 |
| Thomas1VL | Tom Pidcock | 0 | 0 | 0 |
| CudoLanda | Valentin Madouas | 0 | 0 | 0 |
| JDdieSonne | Valentin Madouas | 0 | 0 | 0 |
| moipaslui | Valentin Madouas | 0 | 0 | 0 |
| paulindy2000 | Valentin Madouas | 0 | 0 | 0 |
| Perlut | Valentin Madouas | 0 | 0 | 0 |
| vbarrielle | Valentin Madouas | 0 | 0 | 0 |
Riders
The Top 30 finishers were:
| Rank | Rider | Picks | Base | Bonus |
|---|---|---|---|---|
| 1 | Tadej Pogacar | 6 | 350 | 0 |
| 2 | Mathieu van der Poel | 9 | 280 | 0 |
| 3 | Mads Pedersen | 2 | 210 | 0 |
| 4 | Wout van Aert | 7 | 175 | 0 |
| 5 | Neilson Powless | 6 | 158 | 0 |
| 6 | Stefan Küng | 2 | 140 | 0 |
| 7 | Kasper Asgreen | 1 | 126 | 96 |
| 8 | Fred Wright | 0 | 112 | 0 |
| 9 | Matteo Jorgenson | 5 | 101 | 0 |
| 10 | Matteo Trentin | 0 | 91 | 0 |
| 11 | Nathan Van Hooydonck | 0 | 84 | 0 |
| 12 | Florian Vermeersch | 0 | 78 | 0 |
| 13 | Tiesj Benoot | 2 | 70 | 0 |
| 14 | Christophe Laporte | 2 | 62 | 0 |
| 15 | Mikkel Bjerg | 0 | 56 | 0 |
| 16 | Benoît Cosnefroy | 0 | 52 | 0 |
| 17 | Anthony Turgis | 1 | 48 | 48 |
| 18 | Alexander Kristoff | 1 | 45 | 45 |
| 19 | John Degenkolb | 0 | 42 | 0 |
| 20 | Nils Politt | 0 | 39 | 0 |
| 21 | Iván García Cortina | 2 | 35 | 0 |
| 22 | Dries van Gestel | 0 | 32 | 0 |
| 23 | Tom Van Asbroeck | 0 | 28 | 0 |
| 24 | Sep Vanmarcke | 3 | 25 | 0 |
| 25 | Jhonnatan Narvaez | 2 | 21 | 0 |
| 26 | Jasper Stuyven | 1 | 18 | 18 |
| 27 | Matis Louvel | 1 | 14 | 14 |
| 28 | Magnus Sheffield | 1 | 10 | 10 |
| 29 | Jonas Rutsch | 0 | 8 | 0 |
| 30 | Gianni Vermeersch | 0 | 4 | 0 |
Dwars door Vlaanderen
Single Rider Fantasy League 2023
Results
Players
A total of 67 players entered:
| User | Pick | Base | Bonus | Score |
|---|---|---|---|---|
| Xcpa9 | Neilson Powless | 75 | 28 | 103 |
| CO2generator | Arnaud De Lie | 54 | 25 | 79 |
| AwakenTheBacon_ | Davide Ballerini | 48 | 24 | 72 |
| nahgoe16 | Dries van Gestel | 21 | 15 | 36 |
| YourBeneluxOverlords | Jasper Philipsen | 34 | 0 | 34 |
| Zeckesan | Jasper Philipsen | 34 | 0 | 34 |
| mcrorigan | Matteo Trentin | 19 | 14 | 33 |
| hossman3000 | Fred Wright | 15 | 12 | 27 |
| Mattxps | Krists Neilands | 11 | 10 | 21 |
| BWallis17 | Mads Pedersen | 12 | 0 | 12 |
| f1phoenix | Mads Pedersen | 12 | 0 | 12 |
| fewfiet | Mads Pedersen | 12 | 0 | 12 |
| Kryziven | Mads Pedersen | 12 | 0 | 12 |
| MacJokic | Mads Pedersen | 12 | 0 | 12 |
| Joder-tio | Nils Politt | 9 | 0 | 9 |
| KhaledHisham_22 | Nils Politt | 9 | 0 | 9 |
| paaulo | Nils Politt | 9 | 0 | 9 |
| Positive_Ad2228 | Nils Politt | 9 | 0 | 9 |
| baat | Tom Pidcock | 8.3 | 0 | 8.3 |
| bdrammel | Tom Pidcock | 8.3 | 0 | 8.3 |
| Divergee5 | Tom Pidcock | 8.3 | 0 | 8.3 |
| MrR2D | Tom Pidcock | 8.3 | 0 | 8.3 |
| jurajisbetter | Alexander Kristoff | 4 | 4 | 8 |
| JDdieSonne | Tiesj Benoot | 2.5 | 0 | 2.5 |
| narlano | Tiesj Benoot | 2.5 | 0 | 2.5 |
| arne-b | Matis Louvel | 2 | 0 | 2 |
| BSantos57 | Matis Louvel | 2 | 0 | 2 |
| ZBGT | Matis Louvel | 2 | 0 | 2 |
| HalfRust | Quinten Hermans | 1 | 1 | 2 |
| andytheciderman | Stefan Küng | 2 | 0 | 2 |
| CudoLanda | Stefan Küng | 2 | 0 | 2 |
| Nussig | Stefan Küng | 2 | 0 | 2 |
| PolarJace | Stefan Küng | 2 | 0 | 2 |
| edlll91 | Julian Alaphilippe | 0.7 | 0 | 0.7 |
| kjjjz | Julian Alaphilippe | 0.7 | 0 | 0.7 |
| Salty-Level | Julian Alaphilippe | 0.7 | 0 | 0.7 |
| Mjkittens | Valentin Madouas | 0.4 | 0 | 0.4 |
| moipaslui | Valentin Madouas | 0.4 | 0 | 0.4 |
| paulindy2000 | Valentin Madouas | 0.4 | 0 | 0.4 |
| Perlut | Valentin Madouas | 0.4 | 0 | 0.4 |
| RaylanGivens8 | Valentin Madouas | 0.4 | 0 | 0.4 |
| spkr4thedead51 | Valentin Madouas | 0.4 | 0 | 0.4 |
| vbarrielle | Valentin Madouas | 0.4 | 0 | 0.4 |
| Goutye | Alexis Renard | 0 | 0 | 0 |
| Gta352 | Anthony Turgis | 0 | 0 | 0 |
| Seabhac7 | Ben Turner | 0 | 0 | 0 |
| GmckAgar | Dries De Bondt | 0 | 0 | 0 |
| markp88 | Edward Theuns | 0 | 0 | 0 |
| iamczecksy | Filippo Ganna | 0 | 0 | 0 |
| MadnessBeliever | Filippo Ganna | 0 | 0 | 0 |
| ssfoxx27 | Frederik Frison | 0 | 0 | 0 |
| the_ginger27 | Frederik Frison | 0 | 0 | 0 |
| vrobrolf | Frederik Frison | 0 | 0 | 0 |
| Sappert | Jhonnatan Narvaez | 0 | 0 | 0 |
| VeggieLegs21 | Kevin Geniets | 0 | 0 | 0 |
| burden321 | Mikkel Bjerg | 0 | 0 | 0 |
| Norskov | Mikkel Bjerg | 0 | 0 | 0 |
| alpal2214 | Sep Vanmarcke | 0 | 0 | 0 |
| DorHarris | Sep Vanmarcke | 0 | 0 | 0 |
| Judas_Bishop | Sep Vanmarcke | 0 | 0 | 0 |
| Thomas1VL | Sep Vanmarcke | 0 | 0 | 0 |
| TuttlenotButtle | Sep Vanmarcke | 0 | 0 | 0 |
| TwistedWitch | Stan Van Tricht | 0 | 0 | 0 |
| rjbman | Tadej Pogacar | 0 | 0 | 0 |
| Miserable_Hour | Tim Merlier | 0 | 0 | 0 |
| Eyeconoclastic | Tim Wellens | 0 | 0 | 0 |
| yellow52 | Tim Wellens | 0 | 0 | 0 |
Riders
The Top 30 finishers were:
| Rank | Rider | Picks | Base | Bonus |
|---|---|---|---|---|
| 1 | Christophe Laporte | 0 | 120 | 0 |
| 2 | Oier Lazkano | 0 | 90 | 0 |
| 3 | Neilson Powless | 1 | 75 | 28 |
| 4 | Jasper Philipsen | 2 | 68 | 0 |
| 5 | Mads Pedersen | 5 | 60 | 0 |
| 6 | Arnaud De Lie | 1 | 54 | 25 |
| 7 | Davide Ballerini | 1 | 48 | 24 |
| 8 | Andrea Pasqualon | 0 | 44 | 0 |
| 9 | Guillaume Boivin | 0 | 39 | 0 |
| 10 | Nils Politt | 4 | 36 | 0 |
| 11 | Tom Pidcock | 4 | 33 | 0 |
| 12 | Axel Zingle | 0 | 30 | 0 |
| 13 | Stan Dewulf | 0 | 27 | 0 |
| 14 | Søren Wærenskjold | 0 | 25 | 0 |
| 15 | John Degenkolb | 0 | 23 | 0 |
| 16 | Dries van Gestel | 1 | 21 | 15 |
| 17 | Matteo Trentin | 1 | 19 | 14 |
| 18 | Danny van Poppel | 0 | 17 | 0 |
| 19 | Fred Wright | 1 | 15 | 12 |
| 20 | Michael Matthews | 0 | 13 | 0 |
| 21 | Krists Neilands | 1 | 11 | 10 |
| 22 | Mikkel Honore | 0 | 9 | 0 |
| 23 | Stefan Küng | 4 | 8 | 0 |
| 24 | Olivier Le Gac | 0 | 7 | 0 |
| 25 | Matis Louvel | 3 | 6 | 0 |
| 26 | Tiesj Benoot | 2 | 5 | 0 |
| 27 | Alexander Kristoff | 1 | 4 | 4 |
| 28 | Valentin Madouas | 7 | 3 | 0 |
| 29 | Julian Alaphilippe | 3 | 2 | 0 |
| 30 | Quinten Hermans | 1 | 1 | 1 |
Gent–Wevelgem
Single Rider Fantasy League 2023
Results
Players
A total of 72 players entered:
| User | Pick | Base | Bonus | Score |
|---|---|---|---|---|
| Positive_Ad2228 | Olav Kooij | 58 | 35 | 93 |
| mcbirk | Pascal Ackermann | 43 | 30 | 73 |
| Joder-tio | Sep Vanmarcke | 54 | 0 | 54 |
| Judas_Bishop | Sep Vanmarcke | 54 | 0 | 54 |
| the_ginger27 | Nathan Van Hooydonck | 27 | 23 | 50 |
| spkr4thedead51 | Oliver Naesen | 23 | 20 | 43 |
| andytheciderman | Christophe Laporte | 30 | 0 | 30 |
| BaconEggNCheeses | Christophe Laporte | 30 | 0 | 30 |
| MrR2D | Christophe Laporte | 30 | 0 | 30 |
| narlano | Christophe Laporte | 30 | 0 | 30 |
| paaulo | Christophe Laporte | 30 | 0 | 30 |
| paulindy2000 | Christophe Laporte | 30 | 0 | 30 |
| arne-b | Wout van Aert | 20.6 | 0 | 20.6 |
| Checktaschu | Wout van Aert | 20.6 | 0 | 20.6 |
| fewfiet | Wout van Aert | 20.6 | 0 | 20.6 |
| markp88 | Wout van Aert | 20.6 | 0 | 20.6 |
| Mattho | Wout van Aert | 20.6 | 0 | 20.6 |
| Sappert | Wout van Aert | 20.6 | 0 | 20.6 |
| Thomas1VL | Wout van Aert | 20.6 | 0 | 20.6 |
| baat | Mads Pedersen | 20.3 | 0 | 20.3 |
| CO2generator | Mads Pedersen | 20.3 | 0 | 20.3 |
| HalfRust | Mads Pedersen | 20.3 | 0 | 20.3 |
| masterpierround | Mads Pedersen | 20.3 | 0 | 20.3 |
| DorHarris | Tim Merlier | 16 | 0 | 16 |
| kjjjz | Tim Merlier | 16 | 0 | 16 |
| KhaledHisham_22 | Florian Sénéchal | 7 | 6 | 13 |
| RaylanGivens8 | Alberto Bettiol | 0 | 0 | 0 |
| ser-seaworth | Alberto Bettiol | 0 | 0 | 0 |
| Kryziven | Alexander Kristoff | 0 | 0 | 0 |
| TuttlenotButtle | Alexander Kristoff | 0 | 0 | 0 |
| VeggieLegs21 | Alexander Kristoff | 0 | 0 | 0 |
| hossman3000 | Arnaud De Lie | 0 | 0 | 0 |
| MadnessBeliever | Arnaud De Lie | 0 | 0 | 0 |
| Salty-Level | Arnaud De Lie | 0 | 0 | 0 |
| Robbenklopper | Arnaud Démare | 0 | 0 | 0 |
| TwistedWitch | Arnaud Démare | 0 | 0 | 0 |
| vbarrielle | Arnaud Démare | 0 | 0 | 0 |
| edlll91 | Biniam Girmay | 0 | 0 | 0 |
| JDdieSonne | Biniam Girmay | 0 | 0 | 0 |
| alpal2214 | Caleb Ewan | 0 | 0 | 0 |
| nahgoe16 | Dries van Gestel | 0 | 0 | 0 |
| rjbman | Dylan Groenewegen | 0 | 0 | 0 |
| moipaslui | Hugo Page | 0 | 0 | 0 |
| aidikay | Iván García Cortina | 0 | 0 | 0 |
| copycatrfl | Iván García Cortina | 0 | 0 | 0 |
| Miserable_Hour | Iván García Cortina | 0 | 0 | 0 |
| bassmanyoowan | Jasper Philipsen | 0 | 0 | 0 |
| bdrammel | Jasper Philipsen | 0 | 0 | 0 |
| BWallis17 | Jasper Philipsen | 0 | 0 | 0 |
| detestrian | Jasper Philipsen | 0 | 0 | 0 |
| MacJokic | Jasper Philipsen | 0 | 0 | 0 |
| Mjkittens | Jasper Philipsen | 0 | 0 | 0 |
| vrobrolf | Jasper Philipsen | 0 | 0 | 0 |
| yellow52 | Jasper Philipsen | 0 | 0 | 0 |
| YourBeneluxOverlords | Jasper Philipsen | 0 | 0 | 0 |
| Zeckesan | Jasper Philipsen | 0 | 0 | 0 |
| Eyeconoclastic | Jasper Stuyven | 0 | 0 | 0 |
| BSantos57 | Kragh Andersen Søren | 0 | 0 | 0 |
| CudoLanda | Kragh Andersen Søren | 0 | 0 | 0 |
| Norskov | Kragh Andersen Søren | 0 | 0 | 0 |
| ZBGT | Magnus Sheffield | 0 | 0 | 0 |
| AwakenTheBacon_ | Marco Haller | 0 | 0 | 0 |
| iamczecksy | Marijn van den Berg | 0 | 0 | 0 |
| f1phoenix | Matej Mohoric | 0 | 0 | 0 |
| SoniMax | Matej Mohoric | 0 | 0 | 0 |
| Gta352 | Peter Sagan | 0 | 0 | 0 |
| Seabhac7 | Sam Bennett | 0 | 0 | 0 |
| Divergee5 | Stefan Küng | 0 | 0 | 0 |
| Goutye | Stefan Küng | 0 | 0 | 0 |
| jurajisbetter | Stefan Küng | 0 | 0 | 0 |
| Nussig | Stefan Küng | 0 | 0 | 0 |
| ssfoxx27 | Yves Lampaert | 0 | 0 | 0 |
Riders
The Top 30 finishers were:
| Rank | Rider | Picks | Base | Bonus |
|---|---|---|---|---|
| 1 | Christophe Laporte | 6 | 180 | 0 |
| 2 | Wout van Aert | 7 | 144 | 0 |
| 3 | Sep Vanmarcke | 2 | 108 | 0 |
| 4 | Frederik Frison | 0 | 90 | 0 |
| 5 | Mads Pedersen | 4 | 81 | 0 |
| 6 | Mikkel Bjerg | 0 | 72 | 0 |
| 7 | Alexis Renard | 0 | 65 | 0 |
| 8 | Olav Kooij | 1 | 58 | 35 |
| 9 | Danny van Poppel | 0 | 52 | 0 |
| 10 | Daniel McLay | 0 | 47 | 0 |
| 11 | Pascal Ackermann | 1 | 43 | 30 |
| 12 | John Degenkolb | 0 | 40 | 0 |
| 13 | Jhonnatan Narvaez | 0 | 36 | 0 |
| 14 | Tim Merlier | 2 | 32 | 0 |
| 15 | Rasmus Tiller | 0 | 29 | 0 |
| 16 | Nathan Van Hooydonck | 1 | 27 | 23 |
| 17 | Florian Vermeersch | 0 | 25 | 0 |
| 18 | Oliver Naesen | 1 | 23 | 20 |
| 19 | Nikias Arndt | 0 | 22 | 0 |
| 20 | Nils Politt | 0 | 20 | 0 |
| 21 | Matteo Trentin | 0 | 18 | 0 |
| 22 | Brent Van Moer | 0 | 16 | 0 |
| 23 | Fred Wright | 0 | 14 | 0 |
| 24 | Gianni Vermeersch | 0 | 13 | 0 |
| 25 | Søren Wærenskjold | 0 | 11 | 0 |
| 26 | Alex Kirsch | 0 | 9 | 0 |
| 27 | Florian Sénéchal | 1 | 7 | 6 |
| 28 | Bert Van Lerberghe | 0 | 5 | 0 |
| 29 | Luca Mozzato | 0 | 3 | 0 |
| 30 | Jonas Rutsch | 0 | 2 | 0 |
E3 Harelbeke
Single Rider Fantasy League 2023
Results
Players
A total of 72 players entered:
| User | Pick | Base | Bonus | Score |
|---|---|---|---|---|
| arne-b | Iván García Cortina | 81 | 39 | 120 |
| Goutye | Stefan Küng | 72 | 38 | 110 |
| TuttlenotButtle | Nathan Van Hooydonck | 43 | 30 | 73 |
| MacJokic | Yves Lampaert | 27 | 23 | 50 |
| Judas_Bishop | Sep Vanmarcke | 25 | 21 | 46 |
| ZBGT | Matis Louvel | 18 | 15 | 33 |
| baat | Mathieu van der Poel | 28.8 | 0 | 28.8 |
| Checktaschu | Mathieu van der Poel | 28.8 | 0 | 28.8 |
| K2daL | Mathieu van der Poel | 28.8 | 0 | 28.8 |
| Mjkittens | Mathieu van der Poel | 28.8 | 0 | 28.8 |
| rjbman | Mathieu van der Poel | 28.8 | 0 | 28.8 |
| CudoLanda | Tadej Pogacar | 27 | 0 | 27 |
| kjjjz | Tadej Pogacar | 27 | 0 | 27 |
| mussekuuper | Tadej Pogacar | 27 | 0 | 27 |
| Zeckesan | Tadej Pogacar | 27 | 0 | 27 |
| jurajisbetter | Filippo Ganna | 23.5 | 0 | 23.5 |
| Nussig | Filippo Ganna | 23.5 | 0 | 23.5 |
| bassmanyoowan | Wout van Aert | 20 | 0 | 20 |
| BWallis17 | Wout van Aert | 20 | 0 | 20 |
| DorHarris | Wout van Aert | 20 | 0 | 20 |
| fewfiet | Wout van Aert | 20 | 0 | 20 |
| iamczecksy | Wout van Aert | 20 | 0 | 20 |
| Mattho | Wout van Aert | 20 | 0 | 20 |
| mcrorigan | Wout van Aert | 20 | 0 | 20 |
| Thomas1VL | Wout van Aert | 20 | 0 | 20 |
| vrobrolf | Wout van Aert | 20 | 0 | 20 |
| andytheciderman | Matej Mohoric | 16.3 | 0 | 16.3 |
| DerpTrain | Matej Mohoric | 16.3 | 0 | 16.3 |
| edlll91 | Matej Mohoric | 16.3 | 0 | 16.3 |
| spkr4thedead51 | Matej Mohoric | 16.3 | 0 | 16.3 |
| BaconEggNCheeses | Nils Politt | 12 | 0 | 12 |
| RaylanGivens8 | Nils Politt | 12 | 0 | 12 |
| ser-seaworth | Nils Politt | 12 | 0 | 12 |
| Divergee5 | Mads Pedersen | 10.7 | 0 | 10.7 |
| masterpierround | Mads Pedersen | 10.7 | 0 | 10.7 |
| Perlut | Mads Pedersen | 10.7 | 0 | 10.7 |
| aidikay | Valentin Madouas | 6.4 | 0 | 6.4 |
| f1phoenix | Valentin Madouas | 6.4 | 0 | 6.4 |
| Mattxps | Valentin Madouas | 6.4 | 0 | 6.4 |
| moipaslui | Valentin Madouas | 6.4 | 0 | 6.4 |
| paaulo | Valentin Madouas | 6.4 | 0 | 6.4 |
| paulindy2000 | Valentin Madouas | 6.4 | 0 | 6.4 |
| Salty-Level | Valentin Madouas | 6.4 | 0 | 6.4 |
| vbarrielle | Valentin Madouas | 6.4 | 0 | 6.4 |
| VeggieLegs21 | Valentin Madouas | 6.4 | 0 | 6.4 |
| Kryziven | Christophe Laporte | 4.7 | 0 | 4.7 |
| narlano | Christophe Laporte | 4.7 | 0 | 4.7 |
| Xcpa9 | Christophe Laporte | 4.7 | 0 | 4.7 |
| KhaledHisham_22 | Alexander Kristoff | 0 | 0 | 0 |
| ssfoxx27 | Alexander Kristoff | 0 | 0 | 0 |
| bdrammel | Anthony Turgis | 0 | 0 | 0 |
| copycatrfl | Anthony Turgis | 0 | 0 | 0 |
| Sappert | Anthony Turgis | 0 | 0 | 0 |
| TwistedWitch | Axel Zingle | 0 | 0 | 0 |
| detestrian | Biniam Girmay | 0 | 0 | 0 |
| JDdieSonne | Biniam Girmay | 0 | 0 | 0 |
| Gta352 | Dylan van Baarle | 0 | 0 | 0 |
| hossman3000 | Dylan van Baarle | 0 | 0 | 0 |
| markp88 | Dylan van Baarle | 0 | 0 | 0 |
| MrR2D | Dylan van Baarle | 0 | 0 | 0 |
| YourBeneluxOverlords | Dylan van Baarle | 0 | 0 | 0 |
| Seabhac7 | Fred Wright | 0 | 0 | 0 |
| BSantos57 | Jhonnatan Narvaez | 0 | 0 | 0 |
| HalfRust | Julian Alaphilippe | 0 | 0 | 0 |
| burden321 | Kasper Asgreen | 0 | 0 | 0 |
| Norskov | Kasper Asgreen | 0 | 0 | 0 |
| AwakenTheBacon_ | Marco Haller | 0 | 0 | 0 |
| nahgoe16 | Marco Haller | 0 | 0 | 0 |
| GmckAgar | Rasmus Tiller | 0 | 0 | 0 |
| Positive_Ad2228 | Rasmus Tiller | 0 | 0 | 0 |
| Eyeconoclastic | Tiesj Benoot | 0 | 0 | 0 |
| SoniMax | Tim Wellens | 0 | 0 | 0 |
Riders
The Top 30 finishers were:
| Rank | Rider | Picks | Base | Bonus |
|---|---|---|---|---|
| 1 | Wout van Aert | 9 | 180 | 0 |
| 2 | Mathieu van der Poel | 5 | 144 | 0 |
| 3 | Tadej Pogacar | 4 | 108 | 0 |
| 4 | Matteo Jorgenson | 0 | 90 | 0 |
| 5 | Iván García Cortina | 1 | 81 | 39 |
| 6 | Stefan Küng | 1 | 72 | 38 |
| 7 | Matej Mohoric | 4 | 65 | 0 |
| 8 | Valentin Madouas | 9 | 58 | 0 |
| 9 | Kragh Andersen Søren | 0 | 52 | 0 |
| 10 | Filippo Ganna | 2 | 47 | 0 |
| 11 | Nathan Van Hooydonck | 1 | 43 | 30 |
| 12 | Krists Neilands | 0 | 40 | 0 |
| 13 | Nils Politt | 3 | 36 | 0 |
| 14 | Mads Pedersen | 3 | 32 | 0 |
| 15 | Alberto Bettiol | 0 | 29 | 0 |
| 16 | Yves Lampaert | 1 | 27 | 23 |
| 17 | Sep Vanmarcke | 1 | 25 | 21 |
| 18 | Stan Dewulf | 0 | 23 | 0 |
| 19 | Luca Mozzato | 0 | 22 | 0 |
| 20 | Stefan Bissegger | 0 | 20 | 0 |
| 21 | Matis Louvel | 1 | 18 | 15 |
| 22 | Rui Oliveira | 0 | 16 | 0 |
| 23 | Christophe Laporte | 3 | 14 | 0 |
| 24 | Pascal Eenkhoorn | 0 | 13 | 0 |
| 25 | Kevin Geniets | 0 | 11 | 0 |
| 26 | Jonas Rutsch | 0 | 9 | 0 |
| 27 | Luke Durbridge | 0 | 7 | 0 |
| 28 | Davide Ballerini | 0 | 5 | 0 |
| 29 | Nikias Arndt | 0 | 3 | 0 |
| 30 | Laurenz Rex | 0 | 2 | 0 |
Brugge-De Panne
Single Rider Fantasy League 2023
Results
Players
A total of 67 players entered:
| User | Pick | Base | Bonus | Score |
|---|---|---|---|---|
| nahgoe16 | Bert Van Lerberghe | 30 | 19 | 49 |
| Mattho | Dylan Groenewegen | 27 | 18 | 45 |
| Norskov | Sam Welsford | 17 | 13 | 30 |
| Checktaschu | Fabio Jakobsen | 20 | 0 | 20 |
| Nussig | Fabio Jakobsen | 20 | 0 | 20 |
| YourBeneluxOverlords | Fabio Jakobsen | 20 | 0 | 20 |
| Goutye | Paul Penhoët | 7 | 7 | 14 |
| edlll91 | Edward Theuns | 11.5 | 0 | 11.5 |
| Judas_Bishop | Edward Theuns | 11.5 | 0 | 11.5 |
| BWallis17 | Jasper Philipsen | 10 | 0 | 10 |
| Divergee5 | Jasper Philipsen | 10 | 0 | 10 |
| fewfiet | Jasper Philipsen | 10 | 0 | 10 |
| K2daL | Jasper Philipsen | 10 | 0 | 10 |
| markp88 | Jasper Philipsen | 10 | 0 | 10 |
| masterpierround | Jasper Philipsen | 10 | 0 | 10 |
| paaulo | Jasper Philipsen | 10 | 0 | 10 |
| Salty-Level | Jasper Philipsen | 10 | 0 | 10 |
| Thomas1VL | Jasper Philipsen | 10 | 0 | 10 |
| TuttlenotButtle | Jasper Philipsen | 10 | 0 | 10 |
| Xcpa9 | Jasper Philipsen | 10 | 0 | 10 |
| yellow52 | Jasper Philipsen | 10 | 0 | 10 |
| alpal2214 | Olav Kooij | 10 | 0 | 10 |
| andytheciderman | Olav Kooij | 10 | 0 | 10 |
| iamczecksy | Olav Kooij | 10 | 0 | 10 |
| jurajisbetter | Olav Kooij | 10 | 0 | 10 |
| PolarJace | Olav Kooij | 10 | 0 | 10 |
| Sappert | Olav Kooij | 10 | 0 | 10 |
| SoniMax | Olav Kooij | 10 | 0 | 10 |
| vrobrolf | Olav Kooij | 10 | 0 | 10 |
| ZBGT | Olav Kooij | 10 | 0 | 10 |
| AwakenTheBacon_ | Sebastian Molano | 9.8 | 0 | 9.8 |
| bdrammel | Sebastian Molano | 9.8 | 0 | 9.8 |
| DorHarris | Sebastian Molano | 9.8 | 0 | 9.8 |
| Eyeconoclastic | Sebastian Molano | 9.8 | 0 | 9.8 |
| MrR2D | Gerben Thijssen | 4 | 4 | 8 |
| KhaledHisham_22 | Arnaud Démare | 6.3 | 0 | 6.3 |
| paulindy2000 | Arnaud Démare | 6.3 | 0 | 6.3 |
| vbarrielle | Arnaud Démare | 6.3 | 0 | 6.3 |
| VeggieLegs21 | Arnaud Démare | 6.3 | 0 | 6.3 |
| GmckAgar | Danny van Poppel | 2.5 | 0 | 2.5 |
| rjbman | Danny van Poppel | 2.5 | 0 | 2.5 |
| copycatrfl | Alberto Dainese | 0 | 0 | 0 |
| HalfRust | Alberto Dainese | 0 | 0 | 0 |
| MacJokic | Alberto Dainese | 0 | 0 | 0 |
| mcrorigan | Caleb Ewan | 0 | 0 | 0 |
| Mjkittens | Caleb Ewan | 0 | 0 | 0 |
| Zeckesan | Caleb Ewan | 0 | 0 | 0 |
| ssfoxx27 | Fernando Gaviria | 0 | 0 | 0 |
| TwistedWitch | Fernando Gaviria | 0 | 0 | 0 |
| moipaslui | Jason Tesson | 0 | 0 | 0 |
| CudoLanda | Jordi Meeus | 0 | 0 | 0 |
| narlano | Marius Mayrhofer | 0 | 0 | 0 |
| kjjjz | Mark Cavendish | 0 | 0 | 0 |
| Joder-tio | Matteo Malucelli | 0 | 0 | 0 |
| BSantos57 | Phil Bauhaus | 0 | 0 | 0 |
| burden321 | Phil Bauhaus | 0 | 0 | 0 |
| f1phoenix | Phil Bauhaus | 0 | 0 | 0 |
| Gta352 | Phil Bauhaus | 0 | 0 | 0 |
| spkr4thedead51 | Phil Bauhaus | 0 | 0 | 0 |
| arne-b | Sam Bennett | 0 | 0 | 0 |
| Seabhac7 | Sam Bennett | 0 | 0 | 0 |
| ser-seaworth | Sam Bennett | 0 | 0 | 0 |
| hossman3000 | Simone Consonni | 0 | 0 | 0 |
| RaylanGivens8 | Simone Consonni | 0 | 0 | 0 |
| Miserable_Hour | Søren Wærenskjold | 0 | 0 | 0 |
| Positive_Ad2228 | Søren Wærenskjold | 0 | 0 | 0 |
| JDdieSonne | Tim Declercq | 0 | 0 | 0 |
Riders
The Top 30 finishers were:
| Rank | Rider | Picks | Base | Bonus |
|---|---|---|---|---|
| 1 | Jasper Philipsen | 12 | 120 | 0 |
| 2 | Olav Kooij | 9 | 90 | 0 |
| 3 | Yves Lampaert | 0 | 75 | 0 |
| 4 | Frederik Frison | 0 | 68 | 0 |
| 5 | Fabio Jakobsen | 3 | 60 | 0 |
| 6 | Jonas Rickaert | 0 | 54 | 0 |
| 7 | Cédric Beullens | 0 | 48 | 0 |
| 8 | Stian Fredheim | 0 | 44 | 0 |
| 9 | Sebastian Molano | 4 | 39 | 0 |
| 10 | Marijn van den Berg | 0 | 36 | 0 |
| 11 | Davide Ballerini | 0 | 33 | 0 |
| 12 | Bert Van Lerberghe | 1 | 30 | 19 |
| 13 | Dylan Groenewegen | 1 | 27 | 18 |
| 14 | Arnaud Démare | 4 | 25 | 0 |
| 15 | Edward Theuns | 2 | 23 | 0 |
| 16 | Jonas Koch | 0 | 21 | 0 |
| 17 | Pascal Ackermann | 0 | 19 | 0 |
| 18 | Sam Welsford | 1 | 17 | 13 |
| 19 | Mathias Norsgaard | 0 | 15 | 0 |
| 20 | Jarrad Drizners | 0 | 13 | 0 |
| 21 | Edward Planckaert | 0 | 11 | 0 |
| 22 | Tim van Dijke | 0 | 9 | 0 |
| 23 | Johan Jacobs | 0 | 8 | 0 |
| 24 | Paul Penhoët | 1 | 7 | 7 |
| 25 | Lionel Taminiaux | 0 | 6 | 0 |
| 26 | Danny van Poppel | 2 | 5 | 0 |
| 27 | Gerben Thijssen | 1 | 4 | 4 |
| 28 | Rick Zabel | 0 | 3 | 0 |
| 29 | Tord Gudmestad | 0 | 2 | 0 |
| 30 | Tom Van Asbroeck | 0 | 1 | 0 |
Volta Catalunya
Single Rider Fantasy League 2023
Results
Players
A total of 71 players entered:
| User | Pick | Base | Bonus | Score |
|---|---|---|---|---|
| SoniMax | Ben O'Connor | 36 | 34 | 70 |
| copycatrfl | Sepp Kuss | 24 | 24 | 48 |
| andytheciderman | Mikel Landa | 45 | 0 | 45 |
| BWallis17 | Mikel Landa | 45 | 0 | 45 |
| Divergee5 | Joao Almeida | 40 | 0 | 40 |
| Solesticio | Joao Almeida | 40 | 0 | 40 |
| spkr4thedead51 | Joao Almeida | 40 | 0 | 40 |
| mcrorigan | Pedro Lopez Juan | 16 | 16 | 32 |
| iamczecksy | Remco Evenepoel | 32 | 0 | 32 |
| Kryziven | Remco Evenepoel | 32 | 0 | 32 |
| paaulo | Remco Evenepoel | 32 | 0 | 32 |
| vrobrolf | Remco Evenepoel | 32 | 0 | 32 |
| YourBeneluxOverlords | Remco Evenepoel | 32 | 0 | 32 |
| DorHarris | Primoz Roglic | 25 | 0 | 25 |
| fewfiet | Primoz Roglic | 25 | 0 | 25 |
| hossman3000 | Primoz Roglic | 25 | 0 | 25 |
| Nussig | Primoz Roglic | 25 | 0 | 25 |
| Positive_Ad2228 | Primoz Roglic | 25 | 0 | 25 |
| Seabhac7 | Primoz Roglic | 25 | 0 | 25 |
| Thomas1VL | Primoz Roglic | 25 | 0 | 25 |
| TuttlenotButtle | Primoz Roglic | 25 | 0 | 25 |
| Robbenklopper | Clement Berthet | 10 | 10 | 20 |
| Goutye | Lenny Martinez | 14.7 | 0 | 14.7 |
| HalfRust | Lenny Martinez | 14.7 | 0 | 14.7 |
| VeggieLegs21 | Lenny Martinez | 14.7 | 0 | 14.7 |
| bdrammel | Giulio Ciccone | 12 | 0 | 12 |
| burden321 | Giulio Ciccone | 12 | 0 | 12 |
| Eyeconoclastic | Giulio Ciccone | 12 | 0 | 12 |
| KhaledHisham_22 | Giulio Ciccone | 12 | 0 | 12 |
| MadnessBeliever | Giulio Ciccone | 12 | 0 | 12 |
| Miserable_Hour | Giulio Ciccone | 12 | 0 | 12 |
| CudoLanda | Geoffrey Bouchard | 2 | 2 | 4 |
| moipaslui | Guillaume Martin | 4 | 0 | 4 |
| ser-seaworth | Guillaume Martin | 4 | 0 | 4 |
| jurajisbetter | Adam Yates | 1.2 | 0 | 1.2 |
| Mattxps | Adam Yates | 1.2 | 0 | 1.2 |
| RaylanGivens8 | Adam Yates | 1.2 | 0 | 1.2 |
| Sappert | Adam Yates | 1.2 | 0 | 1.2 |
| yellow52 | Adam Yates | 1.2 | 0 | 1.2 |
| arne-b | David De La Cruz | 0 | 0 | 0 |
| PolarJace | Ethan Hayter | 0 | 0 | 0 |
| DerpTrain | Felix Gall | 0 | 0 | 0 |
| ZBGT | Geraint Thomas | 0 | 0 | 0 |
| aidikay | Gino Mäder | 0 | 0 | 0 |
| alpal2214 | Gino Mäder | 0 | 0 | 0 |
| mussekuuper | Gino Mäder | 0 | 0 | 0 |
| Perlut | Gino Mäder | 0 | 0 | 0 |
| narlano | Halland Johannessen Tobias | 0 | 0 | 0 |
| GmckAgar | Harold Tejada | 0 | 0 | 0 |
| f1phoenix | Jack Haig | 0 | 0 | 0 |
| JDdieSonne | Jack Haig | 0 | 0 | 0 |
| nahgoe16 | Jack Haig | 0 | 0 | 0 |
| rjbman | Louis Meintjes | 0 | 0 | 0 |
| Gta352 | Matteo Fabbro | 0 | 0 | 0 |
| markp88 | Nans Peters | 0 | 0 | 0 |
| BSantos57 | Richard Carapaz | 0 | 0 | 0 |
| Judas_Bishop | Richard Carapaz | 0 | 0 | 0 |
| masterpierround | Richard Carapaz | 0 | 0 | 0 |
| Mjkittens | Richard Carapaz | 0 | 0 | 0 |
| ssfoxx27 | Richard Carapaz | 0 | 0 | 0 |
| Stanyer | Richard Carapaz | 0 | 0 | 0 |
| AwakenTheBacon_ | Romain Bardet | 0 | 0 | 0 |
| kjjjz | Romain Bardet | 0 | 0 | 0 |
| Mattho | Romain Bardet | 0 | 0 | 0 |
| MrR2D | Romain Bardet | 0 | 0 | 0 |
| paulindy2000 | Romain Bardet | 0 | 0 | 0 |
| TwistedWitch | Romain Bardet | 0 | 0 | 0 |
| vbarrielle | Romain Bardet | 0 | 0 | 0 |
| Zeckesan | Romain Bardet | 0 | 0 | 0 |
| Checktaschu | Steven Kruijswijk | 0 | 0 | 0 |
| Norskov | Torstein Træen | 0 | 0 | 0 |
Riders
The Top 30 finishers were:
| Rank | Rider | Picks | Base | Bonus |
|---|---|---|---|---|
| 1 | Primoz Roglic | 8 | 200 | 0 |
| 2 | Remco Evenepoel | 5 | 160 | 0 |
| 3 | Joao Almeida | 3 | 120 | 0 |
| 4 | Marc Soler | 0 | 100 | 0 |
| 5 | Mikel Landa | 2 | 90 | 0 |
| 6 | Michael Woods | 0 | 80 | 0 |
| 7 | Giulio Ciccone | 6 | 72 | 0 |
| 8 | Jai Hindley | 0 | 64 | 0 |
| 9 | Cian Uijtdebroeks | 0 | 58 | 0 |
| 10 | Rigoberto Uran | 0 | 52 | 0 |
| 11 | Esteban Chaves | 0 | 48 | 0 |
| 12 | Lenny Martinez | 3 | 44 | 0 |
| 13 | Einer Rubio | 0 | 40 | 0 |
| 14 | Ben O'Connor | 1 | 36 | 34 |
| 15 | Lennert Van Eetvelt | 0 | 32 | 0 |
| 16 | Jonathan Castroviejo | 0 | 30 | 0 |
| 17 | Jesus Herrada | 0 | 28 | 0 |
| 18 | Manuel Diaz Jose | 0 | 26 | 0 |
| 19 | Sepp Kuss | 1 | 24 | 24 |
| 20 | Ivan Sosa | 0 | 22 | 0 |
| 21 | Carlos Verona | 0 | 20 | 0 |
| 22 | Elie Gesbert | 0 | 18 | 0 |
| 23 | Pedro Lopez Juan | 1 | 16 | 16 |
| 24 | Mikel Bizkarra | 0 | 14 | 0 |
| 25 | Alexander Cepeda | 0 | 12 | 0 |
| 26 | Clement Berthet | 1 | 10 | 10 |
| 27 | Guillaume Martin | 2 | 8 | 0 |
| 28 | Adam Yates | 5 | 6 | 0 |
| 29 | Wout Poels | 0 | 4 | 0 |
| 30 | Geoffrey Bouchard | 1 | 2 | 2 |
Milano–Sanremo
Single Rider Fantasy League 2023
Results
Players
A total of 78 players entered:
| User | Pick | Base | Bonus | Score |
|---|---|---|---|---|
| bdrammel | Mathieu Van Der Poel | 350 | 120 | 470 |
| spkr4thedead51 | Anthony Turgis | 101 | 88 | 189 |
| bassmanyoowan | Filippo Ganna | 140 | 0 | 140 |
| Perlut | Filippo Ganna | 140 | 0 | 140 |
| arne-b | Kragh Andersen Søren | 79 | 0 | 79 |
| SoniMax | Kragh Andersen Søren | 79 | 0 | 79 |
| alpal2214 | Neilson Powless | 42 | 0 | 42 |
| burden321 | Neilson Powless | 42 | 0 | 42 |
| Positive_Ad2228 | Neilson Powless | 42 | 0 | 42 |
| aidikay | Wout van Aert | 35 | 0 | 35 |
| edlll91 | Wout van Aert | 35 | 0 | 35 |
| fewfiet | Wout van Aert | 35 | 0 | 35 |
| hossman3000 | Wout van Aert | 35 | 0 | 35 |
| MacJokic | Wout Van Aert | 35 | 0 | 35 |
| Salty-Level | Wout Van Aert | 35 | 0 | 35 |
| baat | Tadej Pogacar | 29.2 | 0 | 29.2 |
| Nussig | Tadej Pogacar | 29.2 | 0 | 29.2 |
| paaulo | Tadej Pogacar | 29.2 | 0 | 29.2 |
| ssfoxx27 | Tadej Pogacar | 29.2 | 0 | 29.2 |
| vrobrolf | Tadej Pogacar | 29.2 | 0 | 29.2 |
| yellow52 | Tadej Pogacar | 29.2 | 0 | 29.2 |
| andytheciderman | Mads Pedersen | 28 | 0 | 28 |
| CudoLanda | Mads Pedersen | 28 | 0 | 28 |
| Joder-tio | Mads Pedersen | 28 | 0 | 28 |
| Norskov | Mads Pedersen | 28 | 0 | 28 |
| Sappert | Mads Pedersen | 28 | 0 | 28 |
| iamczecksy | Christophe Laporte | 17.5 | 0 | 17.5 |
| MadnessBeliever | Christophe Laporte | 17.5 | 0 | 17.5 |
| paulindy2000 | Christophe Laporte | 17.5 | 0 | 17.5 |
| PureNecessary1372 | Christophe Laporte | 17.5 | 0 | 17.5 |
| JDdieSonne | Caleb Ewan | 17.3 | 0 | 17.3 |
| jurajisbetter | Caleb Ewan | 17.3 | 0 | 17.3 |
| VeggieLegs21 | Caleb Ewan | 17.3 | 0 | 17.3 |
| kjjjz | Benoît Cosnefroy | 16 | 0 | 16 |
| Solesticio | Benoît Cosnefroy | 16 | 0 | 16 |
| Kryziven | Magnus Cort | 12.4 | 0 | 12.4 |
| masterpierround | Magnus Cort | 12.4 | 0 | 12.4 |
| mcbirk | Magnus Cort | 12.4 | 0 | 12.4 |
| Stanyer | Magnus Cort | 12.4 | 0 | 12.4 |
| TuttlenotButtle | Magnus Cort | 12.4 | 0 | 12.4 |
| Divergee5 | Jasper Philipsen | 11.2 | 0 | 11.2 |
| KhaledHisham_22 | Jasper Philipsen | 11.2 | 0 | 11.2 |
| Mjkittens | Jasper Philipsen | 11.2 | 0 | 11.2 |
| the_ginger27 | Jasper Philipsen | 11.2 | 0 | 11.2 |
| Zeckesan | Jasper Philipsen | 11.2 | 0 | 11.2 |
| f1phoenix | Biniam Girmay | 5 | 0 | 5 |
| Xcpa9 | Biniam Girmay | 5 | 0 | 5 |
| BSantos57 | Alex Aranburu | 3.6 | 0 | 3.6 |
| BWallis17 | Alex Aranburu | 3.6 | 0 | 3.6 |
| K2daL | Alex Aranburu | 3.6 | 0 | 3.6 |
| markp88 | Alex Aranburu | 3.6 | 0 | 3.6 |
| MrR2D | Alex Aranburu | 3.6 | 0 | 3.6 |
| ser-seaworth | Andrea Vendrame | 0 | 0 | 0 |
| Miserable_Hour | Arnaud De Lie | 0 | 0 | 0 |
| Seabhac7 | Arnaud De Lie | 0 | 0 | 0 |
| detestrian | Arnaud Démare | 0 | 0 | 0 |
| Eyeconoclastic | Arnaud Démare | 0 | 0 | 0 |
| Goutye | Arnaud Démare | 0 | 0 | 0 |
| Gta352 | Arnaud Démare | 0 | 0 | 0 |
| vbarrielle | Arnaud Démare | 0 | 0 | 0 |
| AwakenTheBacon_ | Bryan Coquard | 0 | 0 | 0 |
| DerpTrain | Corbin Strong | 0 | 0 | 0 |
| Judas_Bishop | Corbin Strong | 0 | 0 | 0 |
| mussekuuper | Corbin Strong | 0 | 0 | 0 |
| narlano | Fred Wright | 0 | 0 | 0 |
| rjbman | Fred Wright | 0 | 0 | 0 |
| HalfRust | Jake Stewart | 0 | 0 | 0 |
| TwistedWitch | Jake Stewart | 0 | 0 | 0 |
| nahgoe16 | Kevin Vermaerke | 0 | 0 | 0 |
| Robbenklopper | Lorenzo Rota | 0 | 0 | 0 |
| moipaslui | Matis Louvel | 0 | 0 | 0 |
| ZBGT | Matis Louvel | 0 | 0 | 0 |
| GmckAgar | Michal Kwiatkowski | 0 | 0 | 0 |
| RaylanGivens8 | Michal Kwiatkowski | 0 | 0 | 0 |
| copycatrfl | Pello Bilbao | 0 | 0 | 0 |
| Mattxps | Pello Bilbao | 0 | 0 | 0 |
| mcrorigan | Pello Bilbao | 0 | 0 | 0 |
| Mattho | Peter Sagan | 0 | 0 | 0 |
Riders
The Top 30 finishers were:
| Rank | Rider | Picks | Base | Bonus |
|---|---|---|---|---|
| 1 | Mathieu van der Poel | 1 | 350 | 120 |
| 2 | Filippo Ganna | 2 | 280 | 0 |
| 3 | Wout van Aert | 6 | 210 | 0 |
| 4 | Tadej Pogacar | 6 | 175 | 0 |
| 5 | Kragh Andersen Søren | 2 | 158 | 0 |
| 6 | Mads Pedersen | 5 | 140 | 0 |
| 7 | Neilson Powless | 3 | 126 | 0 |
| 8 | Matej Mohoric | 0 | 112 | 0 |
| 9 | Anthony Turgis | 1 | 101 | 88 |
| 10 | Jasper Stuyven | 0 | 91 | 0 |
| 11 | Julian Alaphilippe | 0 | 84 | 0 |
| 12 | Davide Ballerini | 0 | 78 | 0 |
| 13 | Christophe Laporte | 4 | 70 | 0 |
| 14 | Magnus Cort | 5 | 62 | 0 |
| 15 | Jasper Philipsen | 5 | 56 | 0 |
| 16 | Caleb Ewan | 3 | 52 | 0 |
| 17 | Marco Haller | 0 | 48 | 0 |
| 18 | Nikias Arndt | 0 | 45 | 0 |
| 19 | Matteo Trentin | 0 | 42 | 0 |
| 20 | Yves Lampaert | 0 | 39 | 0 |
| 21 | Nils Politt | 0 | 35 | 0 |
| 22 | Benoît Cosnefroy | 2 | 32 | 0 |
| 23 | Luka Mezgec | 0 | 28 | 0 |
| 24 | Magnus Sheffield | 0 | 25 | 0 |
| 25 | Gonzalo Serrano | 0 | 21 | 0 |
| 26 | Alex Aranburu | 5 | 18 | 0 |
| 27 | Krists Neilands | 0 | 14 | 0 |
| 28 | Biniam Girmay | 2 | 10 | 0 |
| 29 | Kevin Geniets | 0 | 8 | 0 |
| 30 | Rudy Molard | 0 | 4 | 0 |
Tirreno–Adriatico
Single Rider Fantasy League 2023
Results
Players
A total of 75 players entered:
| User | Pick | Base | Bonus | Score |
|---|---|---|---|---|
| f1phoenix | Damiano Caruso | 50 | 50 | 100 |
| aidikay | Primoz Roglic | 93.3 | 0 | 93.3 |
| Kryziven | Primoz Roglic | 93.3 | 0 | 93.3 |
| MadnessBeliever | Primoz Roglic | 93.3 | 0 | 93.3 |
| alpal2214 | Lennard Kämna | 70 | 0 | 70 |
| nahgoe16 | Lennard Kämna | 70 | 0 | 70 |
| Mattxps | Harm Vanhoucke | 34 | 34 | 68 |
| baat | Joao Almeida | 44.8 | 0 | 44.8 |
| DorHarris | Joao Almeida | 44.8 | 0 | 44.8 |
| Eyeconoclastic | Joao Almeida | 44.8 | 0 | 44.8 |
| Gta352 | Joao Almeida | 44.8 | 0 | 44.8 |
| rjbman | Joao Almeida | 44.8 | 0 | 44.8 |
| HalfRust | Giulio Ciccone | 42 | 0 | 42 |
| MrR2D | Giulio Ciccone | 42 | 0 | 42 |
| spkr4thedead51 | Giulio Ciccone | 42 | 0 | 42 |
| AwakenTheBacon_ | Tao Geoghegan Hart | 42 | 0 | 42 |
| copycatrfl | Tao Geoghegan Hart | 42 | 0 | 42 |
| CudoLanda | Tao Geoghegan Hart | 42 | 0 | 42 |
| edlll91 | Tao Geoghegan Hart | 42 | 0 | 42 |
| moipaslui | Warren Barguil | 20 | 20 | 40 |
| paulindy2000 | Thibaut Pinot | 36.5 | 0 | 36.5 |
| vbarrielle | Thibaut Pinot | 36.5 | 0 | 36.5 |
| Divergee5 | Mikel Landa | 33.7 | 0 | 33.7 |
| paaulo | Mikel Landa | 33.7 | 0 | 33.7 |
| Sappert | Mikel Landa | 33.7 | 0 | 33.7 |
| BWallis17 | Adam Yates | 22.3 | 0 | 22.3 |
| KhaledHisham_22 | Adam Yates | 22.3 | 0 | 22.3 |
| mcrorigan | Adam Yates | 22.3 | 0 | 22.3 |
| BSantos57 | Aleksandr Vlasov | 20.3 | 0 | 20.3 |
| CO2generator | Aleksandr Vlasov | 20.3 | 0 | 20.3 |
| RaylanGivens8 | Aleksandr Vlasov | 20.3 | 0 | 20.3 |
| ZBGT | Aleksandr Vlasov | 20.3 | 0 | 20.3 |
| masterpierround | Enric Mas | 14 | 0 | 14 |
| Nussig | Enric Mas | 14 | 0 | 14 |
| Positive_Ad2228 | Enric Mas | 14 | 0 | 14 |
| ssfoxx27 | Enric Mas | 14 | 0 | 14 |
| Thomas1VL | Enric Mas | 14 | 0 | 14 |
| vrobrolf | Enric Mas | 14 | 0 | 14 |
| Xcpa9 | Enric Mas | 14 | 0 | 14 |
| Zeckesan | Enric Mas | 14 | 0 | 14 |
| PolarJace | Guillaume Martin | 14 | 0 | 14 |
| ser-seaworth | Guillaume Martin | 14 | 0 | 14 |
| Robbenklopper | Carlos Verona | 6 | 6 | 12 |
| kjjjz | Jai Hindley | 11.3 | 0 | 11.3 |
| Mjkittens | Jai Hindley | 11.3 | 0 | 11.3 |
| Salty-Level | Jai Hindley | 11.3 | 0 | 11.3 |
| yellow52 | Jai Hindley | 11.3 | 0 | 11.3 |
| DerpTrain | Valentin Madouas | 7.3 | 0 | 7.3 |
| Gmck | Valentin Madouas | 7.3 | 0 | 7.3 |
| Miserable_Hour | Valentin Madouas | 7.3 | 0 | 7.3 |
| Joder-tio | Thymen Arensman | 5 | 0 | 5 |
| Mattho | Thymen Arensman | 5 | 0 | 5 |
| Perlut | Thymen Arensman | 5 | 0 | 5 |
| VeggieLegs21 | Thymen Arensman | 5 | 0 | 5 |
| YourBeneluxOverlords | Thymen Arensman | 5 | 0 | 5 |
| detestrian | Alexey Lutsenko | 0 | 0 | 0 |
| markp88 | Alexey Lutsenko | 0 | 0 | 0 |
| TuttlenotButtle | Alexey Lutsenko | 0 | 0 | 0 |
| TwistedWitch | Attila Valter | 0 | 0 | 0 |
| chunt75 | Mathieu Van Der Poel | 0 | 0 | 0 |
| Norskov | Quinn Simmons | 0 | 0 | 0 |
| Goutye | Santiago Buitrago | 0 | 0 | 0 |
| andytheciderman | Tom Pidcock | 0 | 0 | 0 |
| bdrammel | Tom Pidcock | 0 | 0 | 0 |
| burden321 | Tom Pidcock | 0 | 0 | 0 |
| JDdieSonne | Tom Pidcock | 0 | 0 | 0 |
| arne-b | Victor Lafay | 0 | 0 | 0 |
| Judas_Bishop | Victor Lafay | 0 | 0 | 0 |
| hossman3000 | Wilco Kelderman | 0 | 0 | 0 |
| jurajisbetter | Wilco Kelderman | 0 | 0 | 0 |
| MacJokic | Wilco Kelderman | 0 | 0 | 0 |
| iamczecksy | Wout van Aert | 0 | 0 | 0 |
| narlano | Wout van Aert | 0 | 0 | 0 |
| oxnar | Wout Van Aert | 0 | 0 | 0 |
| the_ginger27 | Wout Van Aert | 0 | 0 | 0 |
Riders
The Top 30 finishers were:
| Rank | Rider | Picks | Base | Bonus |
|---|---|---|---|---|
| 1 | Primoz Roglic | 3 | 280 | 0 |
| 2 | Joao Almeida | 5 | 224 | 0 |
| 3 | Tao Geoghegan Hart | 4 | 168 | 0 |
| 4 | Lennard Kämna | 2 | 140 | 0 |
| 5 | Giulio Ciccone | 3 | 126 | 0 |
| 6 | Enric Mas | 8 | 112 | 0 |
| 7 | Mikel Landa | 3 | 101 | 0 |
| 8 | Hugh Carthy | 0 | 90 | 0 |
| 9 | Aleksandr Vlasov | 4 | 81 | 0 |
| 10 | Thibaut Pinot | 2 | 73 | 0 |
| 11 | Adam Yates | 3 | 67 | 0 |
| 12 | Brandon McNulty | 0 | 62 | 0 |
| 13 | Ben O'Connor | 0 | 56 | 0 |
| 14 | Damiano Caruso | 1 | 50 | 50 |
| 15 | Jai Hindley | 4 | 45 | 0 |
| 16 | Felix Gall | 0 | 42 | 0 |
| 17 | Damien Howson | 0 | 39 | 0 |
| 18 | Andreas Leknessund | 0 | 36 | 0 |
| 19 | Harm Vanhoucke | 1 | 34 | 34 |
| 20 | Michael Woods | 0 | 31 | 0 |
| 21 | Guillaume Martin | 2 | 28 | 0 |
| 22 | Thymen Arensman | 5 | 25 | 0 |
| 23 | Valentin Madouas | 3 | 22 | 0 |
| 24 | Warren Barguil | 1 | 20 | 20 |
| 25 | Lorenzo Rota | 0 | 17 | 0 |
| 26 | Lorenzo Fortunato | 0 | 14 | 0 |
| 27 | Simon Guglielmi | 0 | 11 | 0 |
| 28 | Magnus Sheffield | 0 | 8 | 0 |
| 29 | Carlos Verona | 1 | 6 | 6 |
| 30 | Julian Alaphilippe | 0 | 3 | 0 |
Paris–Nice
Single Rider Fantasy League 2023
results
Players
In total 78 players entered:
| User | Pick | Base | Bonus | Score |
|---|---|---|---|---|
| JDdieSonne | Jack Haig | 73 | 63 | 136 |
| DerpTrain | Aurélien Paret-Peintre | 67 | 60 | 127 |
| ser-seaworth | Rudy Molard | 39 | 39 | 78 |
| VeggieLegs21 | Kévin Vauquelin | 36 | 36 | 72 |
| BSantos57 | David Gaudu | 56 | 0 | 56 |
| HalfRust | David Gaudu | 56 | 0 | 56 |
| paulindy2000 | David Gaudu | 56 | 0 | 56 |
| vbarrielle | David Gaudu | 56 | 0 | 56 |
| Gmck | Lucas Hamilton | 25 | 25 | 50 |
| edlll91 | Tobias Foss | 22 | 22 | 44 |
| CudoLanda | Simon Yates | 35 | 0 | 35 |
| Joder-tio | Simon Yates | 35 | 0 | 35 |
| mcrorigan | Simon Yates | 35 | 0 | 35 |
| Salty-Level | Simon Yates | 35 | 0 | 35 |
| kjjjz | Romain Bardet | 33.7 | 0 | 33.7 |
| MrR2D | Romain Bardet | 33.7 | 0 | 33.7 |
| Zeckesan | Romain Bardet | 33.7 | 0 | 33.7 |
| alpal2214 | Neilson Powless | 22.4 | 0 | 22.4 |
| jurajisbetter | Neilson Powless | 22.4 | 0 | 22.4 |
| rjbman | Neilson Powless | 22.4 | 0 | 22.4 |
| Xcpa9 | Neilson Powless | 22.4 | 0 | 22.4 |
| yellow52 | Neilson Powless | 22.4 | 0 | 22.4 |
| AwakenTheBacon_ | Pavel Sivakov | 20.3 | 0 | 20.3 |
| DorHarris | Pavel Sivakov | 20.3 | 0 | 20.3 |
| moipaslui | Pavel Sivakov | 20.3 | 0 | 20.3 |
| RaylanGivens8 | Pavel Sivakov | 20.3 | 0 | 20.3 |
| aidikay | Tadej Pogacar | 20 | 0 | 20 |
| BerryFabulous | Tadej Pogacar | 20 | 0 | 20 |
| detestrian | Tadej Pogacar | 20 | 0 | 20 |
| fewfiet | Tadej Pogacar | 20 | 0 | 20 |
| Gta352 | Tadej Pogacar | 20 | 0 | 20 |
| iamczecksy | Tadej Pogacar | 20 | 0 | 20 |
| KhaledHisham_22 | Tadej Pogacar | 20 | 0 | 20 |
| masterpierround | Tadej Pogacar | 20 | 0 | 20 |
| Mjkittens | Tadej Pogacar | 20 | 0 | 20 |
| oxnar | Tadej Pogacar | 20 | 0 | 20 |
| PolarJace | Tadej Pogacar | 20 | 0 | 20 |
| ssfoxx27 | Tadej Pogacar | 20 | 0 | 20 |
| TuttlenotButtle | Tadej Pogacar | 20 | 0 | 20 |
| vrobrolf | Tadej Pogacar | 20 | 0 | 20 |
| andytheciderman | Jonas Vingegaard | 18.7 | 0 | 18.7 |
| BWallis17 | Jonas Vingegaard | 18.7 | 0 | 18.7 |
| Divergee5 | Jonas Vingegaard | 18.7 | 0 | 18.7 |
| Kryziven | Jonas Vingegaard | 18.7 | 0 | 18.7 |
| Miserable_Hour | Jonas Vingegaard | 18.7 | 0 | 18.7 |
| narlano | Jonas Vingegaard | 18.7 | 0 | 18.7 |
| paaulo | Jonas Vingegaard | 18.7 | 0 | 18.7 |
| Sappert | Jonas Vingegaard | 18.7 | 0 | 18.7 |
| Thomas1VL | Jonas Vingegaard | 18.7 | 0 | 18.7 |
| bdrammel | Matteo Jorgenson | 18 | 0 | 18 |
| burden321 | Matteo Jorgenson | 18 | 0 | 18 |
| Goutye | Matteo Jorgenson | 18 | 0 | 18 |
| Positive_Ad2228 | Matteo Jorgenson | 18 | 0 | 18 |
| unicornsandkittens | Matteo Jorgenson | 18 | 0 | 18 |
| Eyeconoclastic | Ion Izagirre | 9.3 | 0 | 9.3 |
| MacJokic | Ion Izagirre | 9.3 | 0 | 9.3 |
| Mattxps | Ion Izagirre | 9.3 | 0 | 9.3 |
| copycatrfl | Wout Poels | 5.5 | 0 | 5.5 |
| YourBeneluxOverlords | Wout Poels | 5.5 | 0 | 5.5 |
| baat | Daniel Martinez | 4.3 | 0 | 4.3 |
| MadnessBeliever | Daniel Martinez | 4.3 | 0 | 4.3 |
| Nussig | Daniel Martinez | 4.3 | 0 | 4.3 |
| spkr4thedead51 | Daniel Martinez | 4.3 | 0 | 4.3 |
| ZBGT | Clément Champoussin | 0 | 0 | 0 |
| chunt75 | Magnus Cort | 0 | 0 | 0 |
| arne-b | Mattias Skjelmose Jensen | 0 | 0 | 0 |
| f1phoenix | Mattias Skjelmose Jensen | 0 | 0 | 0 |
| hossman3000 | Mattias Skjelmose Jensen | 0 | 0 | 0 |
| Mattho | Mattias Skjelmose Jensen | 0 | 0 | 0 |
| mussekuuper | Mattias Skjelmose Jensen | 0 | 0 | 0 |
| Norskov | Mattias Skjelmose Jensen | 0 | 0 | 0 |
| Perlut | Mattias Skjelmose Jensen | 0 | 0 | 0 |
| CO2generator | Mauro Schmid | 0 | 0 | 0 |
| Judas_Bishop | Nick Schultz | 0 | 0 | 0 |
| nahgoe16 | Nick Schultz | 0 | 0 | 0 |
| Robbenklopper | Rafał Majka | 0 | 0 | 0 |
| the_ginger27 | Rémi Cavagna | 0 | 0 | 0 |
| TwistedWitch | Stefan Küng | 0 | 0 | 0 |
Riders
The Top 30 finishers were:
| Rank | Rider | Picks | Base | Bonus |
|---|---|---|---|---|
| 1 | Tadej Pogacar | 14 | 280 | 0 |
| 2 | David Gaudu | 4 | 224 | 0 |
| 3 | Jonas Vingegaard | 9 | 168 | 0 |
| 4 | Simon Yates | 4 | 140 | 0 |
| 5 | Gino Mäder | 0 | 126 | 0 |
| 6 | Neilson Powless | 5 | 112 | 0 |
| 7 | Romain Bardet | 3 | 101 | 0 |
| 8 | Matteo Jorgenson | 5 | 90 | 0 |
| 9 | Pavel Sivakov | 4 | 81 | 0 |
| 10 | Jack Haig | 1 | 73 | 63 |
| 11 | Aurélien Paret-Peintre | 1 | 67 | 60 |
| 12 | David De La Cruz | 0 | 62 | 0 |
| 13 | Kobe Goossens | 0 | 56 | 0 |
| 14 | Pierre Latour | 0 | 50 | 0 |
| 15 | Clement Berthet | 0 | 45 | 0 |
| 16 | Lilian Calmejane | 0 | 42 | 0 |
| 17 | Rudy Molard | 1 | 39 | 39 |
| 18 | Kévin Vauquelin | 1 | 36 | 36 |
| 19 | Bob Jungels | 0 | 34 | 0 |
| 20 | Chris Harper | 0 | 31 | 0 |
| 21 | Ion Izagirre | 3 | 28 | 0 |
| 22 | Lucas Hamilton | 1 | 25 | 25 |
| 23 | Tobias Foss | 1 | 22 | 22 |
| 24 | León Sánchez Luis | 0 | 20 | 0 |
| 25 | Daniel Martinez | 4 | 17 | 0 |
| 26 | Kevin Geniets | 0 | 14 | 0 |
| 27 | Wout Poels | 2 | 11 | 0 |
| 28 | Pascal Eenkhoorn | 0 | 8 | 0 |
| 29 | Matteo Sobrero | 0 | 6 | 0 |
| 30 | Hugo Houle | 0 | 3 | 0 |
Strade Bianche
Single Rider Fantasy League 2023
Results
Players
A total of 82 players entered:
| User | Pick | Base | Bonus | Score |
|---|---|---|---|---|
| vbarrielle | Romain Grégoire | 58 | 35 | 93 |
| Thomas1VL | Tom Pidcock | 90 | 0 | 90 |
| yellow52 | Tom Pidcock | 90 | 0 | 90 |
| Eyeconoclastic | Tiesj Benoot | 54 | 0 | 54 |
| RaylanGivens8 | Tiesj Benoot | 54 | 0 | 54 |
| ser-seaworth | Alex Aranburu | 27 | 23 | 50 |
| Positive_Ad2228 | Michal Kwiatkowski | 23 | 20 | 43 |
| Judas_Bishop | Warren Barguil | 20 | 17 | 37 |
| kjjjz | Rui Costa | 30 | 0 | 30 |
| paaulo | Rui Costa | 30 | 0 | 30 |
| ssfoxx27 | Rui Costa | 30 | 0 | 30 |
| MacJokic | Matej Mohoric | 24 | 0 | 24 |
| mcbirk | Matej Mohoric | 24 | 0 | 24 |
| MrR2D | Matej Mohoric | 24 | 0 | 24 |
| bassmanyoowan | Pello Bilbao | 21.7 | 0 | 21.7 |
| Kryziven | Pello Bilbao | 21.7 | 0 | 21.7 |
| Seabhac7 | Pello Bilbao | 21.7 | 0 | 21.7 |
| aidikay | Attila Valter | 16.2 | 0 | 16.2 |
| Gta352 | Attila Valter | 16.2 | 0 | 16.2 |
| Joder-tio | Attila Valter | 16.2 | 0 | 16.2 |
| Smukstra | Attila Valter | 16.2 | 0 | 16.2 |
| SoniMax | Attila Valter | 16.2 | 0 | 16.2 |
| BSantos57 | Valentin Madouas | 16 | 0 | 16 |
| CudoLanda | Valentin Madouas | 16 | 0 | 16 |
| Goutye | Valentin Madouas | 16 | 0 | 16 |
| HalfRust | Valentin Madouas | 16 | 0 | 16 |
| markp88 | Valentin Madouas | 16 | 0 | 16 |
| Mattxps | Valentin Madouas | 16 | 0 | 16 |
| moipaslui | Valentin Madouas | 16 | 0 | 16 |
| Perlut | Valentin Madouas | 16 | 0 | 16 |
| TwistedWitch | Valentin Madouas | 16 | 0 | 16 |
| jakethebrick111 | Quinn Simmons | 10 | 0 | 10 |
| Nussig | Quinn Simmons | 10 | 0 | 10 |
| PolarJace | Quinn Simmons | 10 | 0 | 10 |
| Sappert | Quinn Simmons | 10 | 0 | 10 |
| iamczecksy | Lennard Kämna | 3 | 3 | 6 |
| VeggieLegs21 | Andrea Bagioli | 2 | 2 | 4 |
| BWallis17 | Tim Wellens | 4 | 0 | 4 |
| Divergee5 | Tim Wellens | 4 | 0 | 4 |
| jurajisbetter | Tim Wellens | 4 | 0 | 4 |
| Miserable_Hour | Tim Wellens | 4 | 0 | 4 |
| mussekuuper | Tim Wellens | 4 | 0 | 4 |
| spkr4thedead51 | Tim Wellens | 4 | 0 | 4 |
| the_ginger27 | Tim Wellens | 4 | 0 | 4 |
| TuttlenotButtle | Tim Wellens | 4 | 0 | 4 |
| Xcpa9 | Tim Wellens | 4 | 0 | 4 |
| andytheciderman | Mathieu van der Poel | 3.6 | 0 | 3.6 |
| BerryFabulous | Mathieu van der Poel | 3.6 | 0 | 3.6 |
| masterpierround | Mathieu van der Poel | 3.6 | 0 | 3.6 |
| Mattho | Mathieu van der Poel | 3.6 | 0 | 3.6 |
| oxnar | Mathieu van der Poel | 3.6 | 0 | 3.6 |
| rjbman | Mathieu van der Poel | 3.6 | 0 | 3.6 |
| unicornsandkittens | Mathieu van der Poel | 3.6 | 0 | 3.6 |
| YourBeneluxOverlords | Mathieu van der Poel | 3.6 | 0 | 3.6 |
| chunt75 | Aleksandr Vlasov | 2.3 | 0 | 2.3 |
| f1phoenix | Aleksandr Vlasov | 2.3 | 0 | 2.3 |
| nahgoe16 | Aleksandr Vlasov | 2.3 | 0 | 2.3 |
| narlano | Aleksandr Vlasov | 2.3 | 0 | 2.3 |
| AwakenTheBacon_ | Simon Clarke | 1.7 | 0 | 1.7 |
| DorHarris | Simon Clarke | 1.7 | 0 | 1.7 |
| Zeckesan | Simon Clarke | 1.7 | 0 | 1.7 |
| baat | Alberto Bettiol | 0 | 0 | 0 |
| arne-b | Andrea Vendrame | 0 | 0 | 0 |
| DerpTrain | Andrea Vendrame | 0 | 0 | 0 |
| CO2generator | Brandon McNulty | 0 | 0 | 0 |
| burden321 | Carlos Rodriguez | 0 | 0 | 0 |
| Robbenklopper | Georg Zimmermann | 0 | 0 | 0 |
| Salty-Level | Jake Stewart | 0 | 0 | 0 |
| KhaledHisham_22 | Julian Alaphilippe | 0 | 0 | 0 |
| mcrorigan | Julian Alaphilippe | 0 | 0 | 0 |
| paulindy2000 | Julian Alaphilippe | 0 | 0 | 0 |
| bdrammel | Lorenzo Rota | 0 | 0 | 0 |
| alpal2214 | Magnus Sheffield | 0 | 0 | 0 |
| Stanyer | Magnus Sheffield | 0 | 0 | 0 |
| Norskov | Mikkel Honore | 0 | 0 | 0 |
| ZBGT | Mikkel Honore | 0 | 0 | 0 |
| detestrian | Nans Peters | 0 | 0 | 0 |
| JDdieSonne | Nans Peters | 0 | 0 | 0 |
| copycatrfl | Sergio Higuita | 0 | 0 | 0 |
| MadnessBeliever | Sergio Higuita | 0 | 0 | 0 |
| Mjkittens | Sergio Higuita | 0 | 0 | 0 |
| vrobrolf | Walter Calzoni | 0 | 0 | 0 |
Riders
The Top 30 finishers were:
| Rank | Rider | Picks | Base | Bonus |
|---|---|---|---|---|
| 1 | Tom Pidcock | 2 | 180 | 0 |
| 2 | Valentin Madouas | 9 | 144 | 0 |
| 3 | Tiesj Benoot | 2 | 108 | 0 |
| 4 | Rui Costa | 3 | 90 | 0 |
| 5 | Attila Valter | 5 | 81 | 0 |
| 6 | Matej Mohoric | 3 | 72 | 0 |
| 7 | Pello Bilbao | 3 | 65 | 0 |
| 8 | Romain Grégoire | 1 | 58 | 35 |
| 9 | Davide Formolo | 0 | 52 | 0 |
| 10 | Andreas Kron | 0 | 47 | 0 |
| 11 | Alexey Lutsenko | 0 | 43 | 0 |
| 12 | Quinn Simmons | 4 | 40 | 0 |
| 13 | Tim Wellens | 9 | 36 | 0 |
| 14 | Diego Ulissi | 0 | 32 | 0 |
| 15 | Mathieu van der Poel | 8 | 29 | 0 |
| 16 | Alex Aranburu | 1 | 27 | 23 |
| 17 | Toms Skujins | 0 | 25 | 0 |
| 18 | Michal Kwiatkowski | 1 | 23 | 20 |
| 19 | Thibaut Pinot | 0 | 22 | 0 |
| 20 | Warren Barguil | 1 | 20 | 17 |
| 21 | Filippo Zana | 0 | 18 | 0 |
| 22 | Gianni Vermeersch | 0 | 16 | 0 |
| 23 | Maxim Van Gils | 0 | 14 | 0 |
| 24 | Patrick Konrad | 0 | 13 | 0 |
| 25 | Laurens De Plus | 0 | 11 | 0 |
| 26 | Aleksandr Vlasov | 4 | 9 | 0 |
| 27 | James Shaw | 0 | 7 | 0 |
| 28 | Simon Clarke | 3 | 5 | 0 |
| 29 | Lennard Kämna | 1 | 3 | 3 |
| 30 | Andrea Bagioli | 1 | 2 | 2 |
Omloop Het Nieuwsblad
Single Rider Fantasy League 2023
Results
Players
A total of 80 players entered:
| User | Pick | Base | Bonus | Score |
|---|---|---|---|---|
| AwakenTheBacon_ | Nils Politt | 65 | 36 | 101 |
| BSantos57 | Matis Louvel | 36 | 27 | 63 |
| Eyeconoclastic | Dylan van Baarle | 60 | 0 | 60 |
| rjbman | Dylan van Baarle | 60 | 0 | 60 |
| spkr4thedead51 | Dylan van Baarle | 60 | 0 | 60 |
| Judas_Bishop | Jake Stewart | 25 | 21 | 46 |
| unicornsandkittens | Matteo Jorgenson | 23 | 20 | 43 |
| DorHarris | Oliver Naesen | 22 | 18 | 40 |
| aidikay | Christophe Laporte | 9.8 | 0 | 9.8 |
| fewfiet | Christophe Laporte | 9.8 | 0 | 9.8 |
| Kryziven | Christophe Laporte | 9.8 | 0 | 9.8 |
| masterpierround | Christophe Laporte | 9.8 | 0 | 9.8 |
| Mattxps | Christophe Laporte | 9.8 | 0 | 9.8 |
| oxnar | Christophe Laporte | 9.8 | 0 | 9.8 |
| paulindy2000 | Christophe Laporte | 9.8 | 0 | 9.8 |
| RaylanGivens8 | Christophe Laporte | 9.8 | 0 | 9.8 |
| Sappert | Christophe Laporte | 9.8 | 0 | 9.8 |
| VeggieLegs21 | Christophe Laporte | 9.8 | 0 | 9.8 |
| Xcpa9 | Christophe Laporte | 9.8 | 0 | 9.8 |
| copycatrfl | Tiesj Benoot | 9.7 | 0 | 9.7 |
| the_ginger27 | Tiesj Benoot | 9.7 | 0 | 9.7 |
| yellow52 | Tiesj Benoot | 9.7 | 0 | 9.7 |
| BWallis17 | Tom Pidcock | 8.1 | 0 | 8.1 |
| Divergee5 | Tom Pidcock | 8.1 | 0 | 8.1 |
| epi_counts | Tom Pidcock | 8.1 | 0 | 8.1 |
| Jharms17 | Tom Pidcock | 8.1 | 0 | 8.1 |
| KhaledHisham_22 | Tom Pidcock | 8.1 | 0 | 8.1 |
| Mattho | Tom Pidcock | 8.1 | 0 | 8.1 |
| mussekuuper | Tom Pidcock | 8.1 | 0 | 8.1 |
| Nussig | Tom Pidcock | 8.1 | 0 | 8.1 |
| Salty-Level | Tom Pidcock | 8.1 | 0 | 8.1 |
| Thomas1VL | Tom Pidcock | 8.1 | 0 | 8.1 |
| alpal2214 | Matej Mohoric | 6 | 0 | 6 |
| K2daL | Matej Mohoric | 6 | 0 | 6 |
| mcbirk | Matej Mohoric | 6 | 0 | 6 |
| Goutye | Stefan Küng | 3.7 | 0 | 3.7 |
| Mjkittens | Stefan Küng | 3.7 | 0 | 3.7 |
| vbarrielle | Stefan Küng | 3.7 | 0 | 3.7 |
| MadnessBeliever | Tim Wellens | 3 | 0 | 3 |
| MrR2D | Tim Wellens | 3 | 0 | 3 |
| ssfoxx27 | Tim Wellens | 3 | 0 | 3 |
| JDdieSonne | Arne Marit | 0 | 0 | 0 |
| CudoLanda | Ben Turner | 0 | 0 | 0 |
| moipaslui | Benoît Cosnefroy | 0 | 0 | 0 |
| arne-b | Casper Pedersen | 0 | 0 | 0 |
| bdrammel | Casper Pedersen | 0 | 0 | 0 |
| burden321 | Casper Pedersen | 0 | 0 | 0 |
| mcrorigan | Casper Pedersen | 0 | 0 | 0 |
| kioescport | Dries van Gestel | 0 | 0 | 0 |
| detestrian | Fred Wright | 0 | 0 | 0 |
| Perlut | Fred Wright | 0 | 0 | 0 |
| Robbenklopper | Fred Wright | 0 | 0 | 0 |
| Seabhac7 | Fred Wright | 0 | 0 | 0 |
| ser-seaworth | Fred Wright | 0 | 0 | 0 |
| nahgoe16 | Gleb Syritsa | 0 | 0 | 0 |
| DerpTrain | Hugo Page | 0 | 0 | 0 |
| f1phoenix | Hugo Page | 0 | 0 | 0 |
| Zeckesan | Hugo Page | 0 | 0 | 0 |
| hossman3000 | Iván García Cortina | 0 | 0 | 0 |
| SoniMax | Jan Tratnik | 0 | 0 | 0 |
| paaulo | Jasper Philipsen | 0 | 0 | 0 |
| YourBeneluxOverlords | Jasper Philipsen | 0 | 0 | 0 |
| PolarJace | Jasper Stuyven | 0 | 0 | 0 |
| ZBGT | Jenthe Biermans | 0 | 0 | 0 |
| andytheciderman | Jonathan Milan | 0 | 0 | 0 |
| iamczecksy | Jonathan Milan | 0 | 0 | 0 |
| TuttlenotButtle | Jonathan Milan | 0 | 0 | 0 |
| MacJokic | Kragh Andersen Søren | 0 | 0 | 0 |
| Norskov | Kragh Andersen Søren | 0 | 0 | 0 |
| jurajisbetter | Matteo Trentin | 0 | 0 | 0 |
| Gta352 | Peter Sagan | 0 | 0 | 0 |
| kjjjz | Peter Sagan | 0 | 0 | 0 |
| vrobrolf | Pier-André Côté | 0 | 0 | 0 |
| Positive_Ad2228 | Rasmus Tiller | 0 | 0 | 0 |
| Miserable_Hour | Rune Herregodts | 0 | 0 | 0 |
| HalfRust | Sam Watson | 0 | 0 | 0 |
| CO2generator | Victor Campenaerts | 0 | 0 | 0 |
| onrust | Victor Campenaerts | 0 | 0 | 0 |
| TwistedWitch | Yevgeniy Gidich | 0 | 0 | 0 |
| maurob1 | Yves Lampaert | 0 | 0 | 0 |
Riders
The Top 30 finishers were:
| Rank | Rider | Picks | Base | Bonus |
|---|---|---|---|---|
| 1 | Dylan van Baarle | 3 | 180 | 0 |
| 2 | Arnaud De Lie | 0 | 144 | 0 |
| 3 | Christophe Laporte | 11 | 108 | 0 |
| 4 | Alexander Kristoff | 0 | 90 | 0 |
| 5 | Tom Pidcock | 10 | 81 | 0 |
| 6 | Davide Ballerini | 0 | 72 | 0 |
| 7 | Nils Politt | 1 | 65 | 36 |
| 8 | Andrea Pasqualon | 0 | 58 | 0 |
| 9 | Rui Oliveira | 0 | 52 | 0 |
| 10 | Sep Vanmarcke | 0 | 47 | 0 |
| 11 | Mike Teunissen | 0 | 43 | 0 |
| 12 | Piet Allegaert | 0 | 40 | 0 |
| 13 | Matis Louvel | 1 | 36 | 27 |
| 14 | Ide Schelling | 0 | 32 | 0 |
| 15 | Tiesj Benoot | 3 | 29 | 0 |
| 16 | Owain Doull | 0 | 27 | 0 |
| 17 | Jake Stewart | 1 | 25 | 21 |
| 18 | Matteo Jorgenson | 1 | 23 | 20 |
| 19 | Oliver Naesen | 1 | 22 | 18 |
| 20 | Stefan Bissegger | 0 | 20 | 0 |
| 21 | Matej Mohoric | 3 | 18 | 0 |
| 22 | Magnus Sheffield | 0 | 16 | 0 |
| 23 | Mathis Le Berre | 0 | 14 | 0 |
| 24 | Jonas Rutsch | 0 | 13 | 0 |
| 25 | Stefan Küng | 3 | 11 | 0 |
| 26 | Tim Wellens | 3 | 9 | 0 |
| 27 | Kevin Geniets | 0 | 7 | 0 |
| 28 | Jonas Koch | 0 | 5 | 0 |
| 29 | Julius van den Berg | 0 | 3 | 0 |
| 30 | Nathan Van Hooydonck | 0 | 2 | 0 |
UAE Tour
Single Rider Fantasy League 2023
Results
Players
A total of 58 players entered:
| User | Pick | Base | Bonus | Score |
|---|---|---|---|---|
| ZBGT | Harm Vanhoucke | 52 | 42 | 94 |
| BSantos57 | Lucas Plapp | 80 | 0 | 80 |
| rjbman | Lucas Plapp | 80 | 0 | 80 |
| DorHarris | Sepp Kuss | 45 | 0 | 45 |
| Mattho | Sepp Kuss | 45 | 0 | 45 |
| Sappert | Emanuel Buchmann | 29 | 0 | 29 |
| Zeckesan | Emanuel Buchmann | 29 | 0 | 29 |
| bdrammel | Remco Evenepoel | 28.6 | 0 | 28.6 |
| fewfiet | Remco Evenepoel | 28.6 | 0 | 28.6 |
| iamczecksy | Remco Evenepoel | 28.6 | 0 | 28.6 |
| KhaledHisham_22 | Remco Evenepoel | 28.6 | 0 | 28.6 |
| oxnar | Remco Evenepoel | 28.6 | 0 | 28.6 |
| VeggieLegs21 | Remco Evenepoel | 28.6 | 0 | 28.6 |
| YourBeneluxOverlords | Remco Evenepoel | 28.6 | 0 | 28.6 |
| f1phoenix | Louis Meintjes | 12 | 12 | 24 |
| Goutye | Michael Storer | 22 | 0 | 22 |
| nahgoe16 | Michael Storer | 22 | 0 | 22 |
| Eyeconoclastic | Adam Yates | 20 | 0 | 20 |
| JDdieSonne | Adam Yates | 20 | 0 | 20 |
| jurajisbetter | Adam Yates | 20 | 0 | 20 |
| mcrorigan | Adam Yates | 20 | 0 | 20 |
| paaulo | Adam Yates | 20 | 0 | 20 |
| Thomas1VL | Adam Yates | 20 | 0 | 20 |
| K2daL | Einer Rubio | 20 | 0 | 20 |
| Seabhac7 | Einer Rubio | 20 | 0 | 20 |
| hossman3000 | Alexey Lutsenko | 6 | 6 | 12 |
| alpal2214 | Brandon McNulty | 12 | 0 | 12 |
| CudoLanda | Brandon McNulty | 12 | 0 | 12 |
| PolarJace | Brandon McNulty | 12 | 0 | 12 |
| andytheciderman | Pello Bilbao | 11.1 | 0 | 11.1 |
| arne-b | Pello Bilbao | 11.1 | 0 | 11.1 |
| Gta352 | Pello Bilbao | 11.1 | 0 | 11.1 |
| Perlut | Pello Bilbao | 11.1 | 0 | 11.1 |
| Positive_Ad2228 | Pello Bilbao | 11.1 | 0 | 11.1 |
| RaylanGivens8 | Pello Bilbao | 11.1 | 0 | 11.1 |
| ssfoxx27 | Pello Bilbao | 11.1 | 0 | 11.1 |
| TuttlenotButtle | Pello Bilbao | 11.1 | 0 | 11.1 |
| yellow52 | Pello Bilbao | 11.1 | 0 | 11.1 |
| AwakenTheBacon_ | Rein Taaramäe | 8 | 0 | 8 |
| Judas_Bishop | Rein Taaramäe | 8 | 0 | 8 |
| ser-seaworth | Rein Taaramäe | 8 | 0 | 8 |
| CO2generator | Andreas Leknessund | 7.3 | 0 | 7.3 |
| MacJokic | Andreas Leknessund | 7.3 | 0 | 7.3 |
| the_ginger27 | Andreas Leknessund | 7.3 | 0 | 7.3 |
| aidikay | Thomas Gloag | 4 | 0 | 4 |
| MrR2D | Thomas Gloag | 4 | 0 | 4 |
| detestrian | Geoffrey Bouchard | 3.5 | 0 | 3.5 |
| Izzon | Geoffrey Bouchard | 3.5 | 0 | 3.5 |
| paulindy2000 | Geoffrey Bouchard | 3.5 | 0 | 3.5 |
| vbarrielle | Geoffrey Bouchard | 3.5 | 0 | 3.5 |
| copycatrfl | Jakob Fuglsang | 0 | 0 | 0 |
| kjjjz | Jakob Fuglsang | 0 | 0 | 0 |
| markp88 | Jakob Fuglsang | 0 | 0 | 0 |
| BWallis17 | Jay Vine | 0 | 0 | 0 |
| MadnessBeliever | Jay Vine | 0 | 0 | 0 |
| Nussig | Jay Vine | 0 | 0 | 0 |
| vrobrolf | Jay Vine | 0 | 0 | 0 |
| Divergee5 | Sam Welsford | 0 | 0 | 0 |
Riders
The Top 30 finishers were:
| Rank | Rider | Picks | Base | Bonus |
|---|---|---|---|---|
| 1 | Remco Evenepoel | 7 | 200 | 0 |
| 2 | Lucas Plapp | 2 | 160 | 0 |
| 3 | Adam Yates | 6 | 120 | 0 |
| 4 | Pello Bilbao | 9 | 100 | 0 |
| 5 | Sepp Kuss | 2 | 90 | 0 |
| 6 | Wout Poels | 0 | 80 | 0 |
| 7 | Antonio Tiberi | 0 | 72 | 0 |
| 8 | Ben Zwiehoff | 0 | 64 | 0 |
| 9 | Emanuel Buchmann | 2 | 58 | 0 |
| 10 | Harm Vanhoucke | 1 | 52 | 42 |
| 11 | Stefan de Bod | 0 | 48 | 0 |
| 12 | Michael Storer | 2 | 44 | 0 |
| 13 | Einer Rubio | 2 | 40 | 0 |
| 14 | Brandon McNulty | 3 | 36 | 0 |
| 15 | Callum Scotson | 0 | 32 | 0 |
| 16 | Clement Berthet | 0 | 30 | 0 |
| 17 | Matthew Riccitello | 0 | 28 | 0 |
| 18 | Valentin Paret-Peintre | 0 | 26 | 0 |
| 19 | Rein Taaramäe | 3 | 24 | 0 |
| 20 | Andreas Leknessund | 3 | 22 | 0 |
| 21 | Yannis Voisard | 0 | 20 | 0 |
| 22 | Georg Steinhauser | 0 | 18 | 0 |
| 23 | Óscar Rodríguez | 0 | 16 | 0 |
| 24 | Geoffrey Bouchard | 4 | 14 | 0 |
| 25 | Louis Meintjes | 1 | 12 | 12 |
| 26 | Jason Osborne | 0 | 10 | 0 |
| 27 | Thomas Gloag | 2 | 8 | 0 |
| 28 | Alexey Lutsenko | 1 | 6 | 6 |
| 29 | Eduardo Sepulveda | 0 | 4 | 0 |
| 30 | Amanuel Gebreigzabhier | 0 | 2 | 0 |
Cadel Evans Road Race
Single Rider Fantasy League 2023
Results
Players
A total of 65 players entered:
| User | Pick | Base | Bonus | Score |
|---|---|---|---|---|
| ser-seaworth | Aaron Gate | 30 | 19 | 49 |
| ZBGT | Mikkel Honore | 19 | 14 | 33 |
| jurajisbetter | Caleb Ewan | 27 | 0 | 27 |
| paaulo | Caleb Ewan | 27 | 0 | 27 |
| baat | James Fouche | 13 | 11 | 24 |
| Divergee5 | Marc Hirschi | 22 | 0 | 22 |
| Mattho | Marc Hirschi | 22 | 0 | 22 |
| aidikay | Corbin Strong | 15 | 0 | 15 |
| AwakenTheBacon_ | Corbin Strong | 15 | 0 | 15 |
| DerpTrain | Corbin Strong | 15 | 0 | 15 |
| Zeckesan | Corbin Strong | 15 | 0 | 15 |
| Judas_Bishop | Natnael Tesfazion | 13.5 | 0 | 13.5 |
| Positive_Ad2228 | Natnael Tesfazion | 13.5 | 0 | 13.5 |
| arne-b | Hugo Page | 11.3 | 0 | 11.3 |
| f1phoenix | Hugo Page | 11.3 | 0 | 11.3 |
| JDdieSonne | Hugo Page | 11.3 | 0 | 11.3 |
| oxnar | Hugo Page | 11.3 | 0 | 11.3 |
| paulindy2000 | Hugo Page | 11.3 | 0 | 11.3 |
| Perlut | Hugo Page | 11.3 | 0 | 11.3 |
| vrobrolf | Hugo Page | 11.3 | 0 | 11.3 |
| Wateroski | Hugo Page | 11.3 | 0 | 11.3 |
| DorHarris | Daryl Impey | 5 | 5 | 10 |
| fewfiet | Michael Matthews | 8.5 | 0 | 8.5 |
| kjjjz | Michael Matthews | 8.5 | 0 | 8.5 |
| mussekuuper | Michael Matthews | 8.5 | 0 | 8.5 |
| Nussig | Michael Matthews | 8.5 | 0 | 8.5 |
| RaylanGivens8 | Michael Matthews | 8.5 | 0 | 8.5 |
| Sappert | Michael Matthews | 8.5 | 0 | 8.5 |
| sh545 | Michael Matthews | 8.5 | 0 | 8.5 |
| Xcpa9 | Michael Matthews | 8.5 | 0 | 8.5 |
| burden321 | Jay Vine | 3 | 3 | 6 |
| BSantos57 | Mauro Schmid | 5 | 0 | 5 |
| BWallis17 | Mauro Schmid | 5 | 0 | 5 |
| HalfRust | Mauro Schmid | 5 | 0 | 5 |
| mcrorigan | Mauro Schmid | 5 | 0 | 5 |
| nahgoe16 | Mauro Schmid | 5 | 0 | 5 |
| andytheciderman | Erik Bystrøm Sven | 1.8 | 0 | 1.8 |
| K2daL | Erik Bystrøm Sven | 1.8 | 0 | 1.8 |
| ssfoxx27 | Erik Bystrøm Sven | 1.8 | 0 | 1.8 |
| Thomas1VL | Erik Bystrøm Sven | 1.8 | 0 | 1.8 |
| bassmanyoowan | Alberto Bettiol | 0 | 0 | 0 |
| Goutye | Alberto Bettiol | 0 | 0 | 0 |
| PolarJace | Alberto Bettiol | 0 | 0 | 0 |
| rjbman | Alberto Bettiol | 0 | 0 | 0 |
| Salty-Level | Alberto Bettiol | 0 | 0 | 0 |
| yellow52 | Alberto Bettiol | 0 | 0 | 0 |
| bdrammel | Alessandro Covi | 0 | 0 | 0 |
| BEX_Fanboy | Alessandro Covi | 0 | 0 | 0 |
| MrR2D | Alessandro Covi | 0 | 0 | 0 |
| moipaslui | Dorian Godon | 0 | 0 | 0 |
| narlano | Dries Devenyns | 0 | 0 | 0 |
| YourBeneluxOverlords | Dries Devenyns | 0 | 0 | 0 |
| TuttlenotButtle | Emils Liepins | 0 | 0 | 0 |
| hossman3000 | Gerben Thijssen | 0 | 0 | 0 |
| MacJokic | Hugo Hofstetter | 0 | 0 | 0 |
| VeggieLegs21 | Jordi Meeus | 0 | 0 | 0 |
| alpal2214 | Magnus Sheffield | 0 | 0 | 0 |
| iamczecksy | Magnus Sheffield | 0 | 0 | 0 |
| spkr4thedead51 | Magnus Sheffield | 0 | 0 | 0 |
| copycatrfl | Patrick Bevin | 0 | 0 | 0 |
| Mattxps | Patrick Bevin | 0 | 0 | 0 |
| Seabhac7 | Patrick Bevin | 0 | 0 | 0 |
| vbarrielle | Patrick Bevin | 0 | 0 | 0 |
| Gta352 | Simon Yates | 0 | 0 | 0 |
| markp88 | Simon Yates | 0 | 0 | 0 |
Riders
The Top 30 finishers were:
| Rank | Rider | Picks | Base | Bonus |
|---|---|---|---|---|
| 1 | Marius Mayrhofer | 0 | 120 | 0 |
| 2 | Hugo Page | 8 | 90 | 0 |
| 3 | Simon Clarke | 0 | 75 | 0 |
| 4 | Michael Matthews | 8 | 68 | 0 |
| 5 | Corbin Strong | 4 | 60 | 0 |
| 6 | Caleb Ewan | 2 | 54 | 0 |
| 7 | Dion Smith | 0 | 48 | 0 |
| 8 | Marc Hirschi | 2 | 44 | 0 |
| 9 | George Bennett | 0 | 39 | 0 |
| 10 | Sean Quinn | 0 | 36 | 0 |
| 11 | Kevin Ledanois | 0 | 33 | 0 |
| 12 | Aaron Gate | 1 | 30 | 19 |
| 13 | Natnael Tesfazion | 2 | 27 | 0 |
| 14 | Mauro Schmid | 5 | 25 | 0 |
| 15 | Lucas Plapp | 0 | 23 | 0 |
| 16 | Antonio Tiberi | 0 | 21 | 0 |
| 17 | Mikkel Honore | 1 | 19 | 14 |
| 18 | Maximilian Schachmann | 0 | 17 | 0 |
| 19 | Tony Gallopin | 0 | 15 | 0 |
| 20 | James Fouche | 1 | 13 | 11 |
| 21 | Kelland O'Brien | 0 | 11 | 0 |
| 22 | Marco Haller | 0 | 9 | 0 |
| 23 | Elie Gesbert | 0 | 8 | 0 |
| 24 | Erik Bystrøm Sven | 4 | 7 | 0 |
| 25 | Damien Touzé | 0 | 6 | 0 |
| 26 | Daryl Impey | 1 | 5 | 5 |
| 27 | Paul Lapeira | 0 | 4 | 0 |
| 28 | Jay Vine | 1 | 3 | 3 |
| 29 | James Oram | 0 | 2 | 0 |
| 30 | Matthew Dinham | 0 | 1 | 0 |
Tour Down Under
Single Rider Fantasy League 2023
Results
Players
A total of 67 players entered:
| User | Pick | Base | Bonus | Score |
|---|---|---|---|---|
| paulindy2000 | Rudy Molard | 44 | 38 | 82 |
| Judas_Bishop | Natnael Tesfazion | 36 | 34 | 70 |
| alpal2214 | Jay Vine | 66.7 | 0 | 66.7 |
| Goutye | Jay Vine | 66.7 | 0 | 66.7 |
| Kryziven | Jay Vine | 66.7 | 0 | 66.7 |
| CudoLanda | George Bennett | 32 | 32 | 64 |
| bdrammel | Mauro Schmid | 45 | 0 | 45 |
| Robin30802 | Mauro Schmid | 45 | 0 | 45 |
| moipaslui | Elie Gesbert | 22 | 22 | 44 |
| hossman3000 | Ben O'Connor | 40 | 0 | 40 |
| Zeckesan | Ben O'Connor | 40 | 0 | 40 |
| bassmanyoowan | Pello Bilbao | 40 | 0 | 40 |
| f1phoenix | Pello Bilbao | 40 | 0 | 40 |
| Gta352 | Pello Bilbao | 40 | 0 | 40 |
| baat | Jai Hindley | 10 | 0 | 10 |
| jurajisbetter | Jai Hindley | 10 | 0 | 10 |
| KhaledHisham_22 | Jai Hindley | 10 | 0 | 10 |
| Perlut | Mattia Cattaneo | 9 | 0 | 9 |
| rjbman | Mattia Cattaneo | 9 | 0 | 9 |
| Divergee5 | Paul Penhoët | 4 | 4 | 8 |
| andytheciderman | Ethan Hayter | 3.7 | 0 | 3.7 |
| K2daL | Ethan Hayter | 3.7 | 0 | 3.7 |
| markp88 | Ethan Hayter | 3.7 | 0 | 3.7 |
| mcrorigan | Ethan Hayter | 3.7 | 0 | 3.7 |
| Miserable_Hour | Ethan Hayter | 3.7 | 0 | 3.7 |
| Nussig | Ethan Hayter | 3.7 | 0 | 3.7 |
| Positive_Ad2228 | Ethan Hayter | 3.7 | 0 | 3.7 |
| AwakenTheBacon_ | Corbin Strong | 2 | 0 | 2 |
| burden321 | Corbin Strong | 2 | 0 | 2 |
| TuttlenotButtle | Corbin Strong | 2 | 0 | 2 |
| mussekuuper | Alberto Bettiol | 0 | 0 | 0 |
| PolarJace | Alberto Bettiol | 0 | 0 | 0 |
| ser-seaworth | Alberto Bettiol | 0 | 0 | 0 |
| Xcpa9 | Alberto Bettiol | 0 | 0 | 0 |
| sluukkonen | Geraint Thomas | 0 | 0 | 0 |
| BSantos57 | Lucas Plapp | 0 | 0 | 0 |
| detestrian | Lucas Plapp | 0 | 0 | 0 |
| DorHarris | Lucas Plapp | 0 | 0 | 0 |
| Eyeconoclastic | Lucas Plapp | 0 | 0 | 0 |
| MadnessBeliever | Lucas Plapp | 0 | 0 | 0 |
| Salty-Level | Lucas Plapp | 0 | 0 | 0 |
| sh545 | Lucas Plapp | 0 | 0 | 0 |
| vrobrolf | Lucas Plapp | 0 | 0 | 0 |
| MrR2D | Maximilian Schachmann | 0 | 0 | 0 |
| RaylanGivens8 | Maximilian Schachmann | 0 | 0 | 0 |
| ZBGT | Maximilian Schachmann | 0 | 0 | 0 |
| benjylat | Michael Matthews | 0 | 0 | 0 |
| BWallis17 | Michael Matthews | 0 | 0 | 0 |
| Cletus_awreetus | Michael Matthews | 0 | 0 | 0 |
| fewfiet | Michael Matthews | 0 | 0 | 0 |
| iamczecksy | Michael Matthews | 0 | 0 | 0 |
| kjjjz | Michael Matthews | 0 | 0 | 0 |
| paaulo | Michael Matthews | 0 | 0 | 0 |
| Sappert | Michael Matthews | 0 | 0 | 0 |
| arne-b | Michael Storer | 0 | 0 | 0 |
| vbarrielle | Michael Storer | 0 | 0 | 0 |
| yellow52 | Michael Storer | 0 | 0 | 0 |
| JDdieSonne | Patrick Bevin | 0 | 0 | 0 |
| the_ginger27 | Robert Stannard | 0 | 0 | 0 |
| BEX_Fanboy | Rohan Dennis | 0 | 0 | 0 |
| HalfRust | Rohan Dennis | 0 | 0 | 0 |
| kioescport | Rohan Dennis | 0 | 0 | 0 |
| Thomas1VL | Rohan Dennis | 0 | 0 | 0 |
| Wateroski | Rohan Dennis | 0 | 0 | 0 |
| ssfoxx27 | Simon Clarke | 0 | 0 | 0 |
| TwistedWitch | Sjoerd Bax | 0 | 0 | 0 |
| Mattxps | Victor Lafay | 0 | 0 | 0 |
Riders
The Top 30 finishers were:
| Rank | Rider | Picks | Base | Bonus |
|---|---|---|---|---|
| 1 | Jay Vine | 3 | 200 | 0 |
| 2 | Simon Yates | 0 | 160 | 0 |
| 3 | Pello Bilbao | 3 | 120 | 0 |
| 4 | Magnus Sheffield | 0 | 100 | 0 |
| 5 | Mauro Schmid | 2 | 90 | 0 |
| 6 | Ben O'Connor | 2 | 80 | 0 |
| 7 | Erik Bystrøm Sven | 0 | 72 | 0 |
| 8 | Antonio Tiberi | 0 | 64 | 0 |
| 9 | Gorka Izagirre | 0 | 58 | 0 |
| 10 | Bryan Coquard | 0 | 52 | 0 |
| 11 | Marc Hirschi | 0 | 48 | 0 |
| 12 | Rudy Molard | 1 | 44 | 38 |
| 13 | Sebastian Berwick | 0 | 40 | 0 |
| 14 | Natnael Tesfazion | 1 | 36 | 34 |
| 15 | George Bennett | 1 | 32 | 32 |
| 16 | Jai Hindley | 3 | 30 | 0 |
| 17 | Giovanni Aleotti | 0 | 28 | 0 |
| 18 | Ethan Hayter | 7 | 26 | 0 |
| 19 | Hugo Page | 0 | 24 | 0 |
| 20 | Elie Gesbert | 1 | 22 | 22 |
| 21 | Marius Mayrhofer | 0 | 20 | 0 |
| 22 | Mattia Cattaneo | 2 | 18 | 0 |
| 23 | Reuben Thompson | 0 | 16 | 0 |
| 24 | Dorian Godon | 0 | 14 | 0 |
| 25 | Milan Vader | 0 | 12 | 0 |
| 26 | Alex Baudin | 0 | 10 | 0 |
| 27 | Nans Peters | 0 | 8 | 0 |
| 28 | Corbin Strong | 3 | 6 | 0 |
| 29 | Paul Penhoët | 1 | 4 | 4 |
| 30 | Kevin Ledanois | 0 | 2 | 0 |






